找回密码
 立即注册
搜索
查看: 112|回复: 0

[人教版] (必修2)2.1.2 减数分裂和受精作用(2)(导学案1)

[复制链接]

4万

主题

224

回帖

19万

积分

管理员

积分
199048
发表于 2026-4-12 04:18:24 | 显示全部楼层 |阅读模式
第2章 基因和染色体的关系
第1节 减数分裂和受精作用(导学案)

ebba3c46d7188b3adf0ec516673616b9.png
1.阐明卵细胞的形成过程,并和精子的形成过程进行比较;
2.阐明减数分裂和受精作用对于生物遗传和变异的重要性。

67036056b7aa1e20c8cc188a0d79edf2.png
1.人和其他哺乳动物的卵细胞是在____中形成的。卵巢位于腹腔内,内部有许多发育程度不同的____,在卵泡中央的一个细胞将会发育为____。
2.卵细胞的形成过程与精子的基本相同。首先,在减数分裂前的____,卵原细胞增大,染色体复制,卵原细胞成为________。然后,初级卵母细胞经过减数分裂Ⅰ和减数分裂Ⅱ,形成____。卵细胞与精子形成过程的主要区别是:初级卵母细胞经过减数分裂Ⅰ进行____分裂,形成大小不同的两个细胞,大的叫作______,小的叫作____。次级卵母细胞经过减数分裂Ⅱ也进行不均等分裂,形成一个大的_____和一个小的____。在减数分裂Ⅰ形成的极体又分裂为两个极体。这样,一个初级卵母细胞经过减数分裂,就形成了__个卵细胞和____个极体。
3.卵细胞和极体中都含有数目____的染色体。不久,三个极体都_______,结果是一个卵原细胞经过减数分裂,只形成___个卵细胞。与精子的形成不同,卵细胞的形成___变形。
4.总之,减数分裂是进行____的生物,在产生成熟生殖细胞时进行的________的细胞分裂。在减数分裂前,染色体复制___次,而细胞在减数分裂过程中连续分裂___次。减数分裂的结果是,成熟生殖细胞中的染色体数目比原始生殖细胞的_____。
5.经减数分裂形成的精子和卵细胞,要相互结合形成____,才能发育成新个体。受精作用是卵细胞和精子相互____、融合成为____的过程。在受精作用进行时,通常是精子的____进入卵细胞,____留在外面。与此同时,卵细胞的细胞膜会发生复杂的生理反应,以________。精子的头部进入卵细胞后不久,精子的细胞核就与卵细胞的细胞核____,使彼此的____会合在一起。这样,受精卵中的染色体数目又____到体细胞中的数目,保证了物种染色体数目的稳定,其中有一半的染色体来自____(父方),另一半来自____(母方)。
6.未受精时,卵细胞的细胞呼吸和物质合成进行得比较____。受精过程使卵细胞变得十分____。以后受精卵将迅速进行细胞分裂、分化,新生命由此开始了________相互作用的发育过程。
7._______保证了每种生物前后代染色体数目的恒定,维持了生物遗传的____性。此外,通过有性生殖,新一代继承了父母双方的______,而通过无性生殖只能继承____的遗传物质。在有性生殖过程中,减数分裂形成的配子,其染色体组合具有____,导致了不同配子遗传物质的差异,加上受精过程中卵细胞和精子结合的____,同一双亲的后代必然呈现多样性。这种多样性有利于生物适应____的自然环境,有利于生物在自然选择中____,体现了有性生殖的____。因此,减数分裂和受精作用对于生物的_______,都是十分重要的。

aa66ee625a1bef87bbb9ae6d83c38435.png
一、卵细胞的形成过程 
1.下图为卵细胞的形成过程,回答下列问题:
     
10b05ce1b85ad56d743cf8c29a7e6554.png
(1)该过程进行的场所是____。
(2)卵细胞形成时,细胞质发生了___次不均等分裂,分别是______、______。
(3)与精子的形成过程相同的细胞是____。
(4)卵细胞的形成与精子的形成,在数量上有何不同点?
2.下图是某种动物精子和卵细胞形成过程中的部分图像,请分析回答下列问题:
      
350a8074a4032bead535e767f0746bee.png
(1)一定属于卵细胞形成过程的图有____,细胞的名称分别是________。
(2)一定属于精子形成过程的图有___,细胞的名称分别是______。
(3)A图中发生的现象叫___,C处于______,细胞中___(填“有”或“无”)同源染色体。
(4)F细胞的具体名称是_________。
(5)胚胎发育早期分裂活动旺盛,却不从外界摄取营养物质。据此分析卵母细胞进行不均等分裂,最终只产生卵细胞的意义是什么?
【答案】1.(1)雌性动物的卵巢内  (2)2  初级卵母细胞在减数第一次分裂后期  次级卵母细胞在减数第二次分裂后期  (3)第一极体  (4)一个精原细胞经过减数分裂形成4个精子,一个卵原细胞经过减数分裂形成1个卵细胞。
2.(1)D、E  次级卵母细胞、初级卵母细胞  (2)B、G  初级精母细胞、精子  (3)联会 减数第二次分裂中期  无  (4)次级精母细胞或极体  (5)形成的卵细胞较大,便于储存丰富的营养物质
二、细胞分裂图像的识别
1.精子和卵细胞形成过程图像辨析

90b0705ebbd68785306d3d9ceddeeab9.png
(1)图中可能属于精子形成过程中的图像是_____。
(2)图中可能属于卵细胞形成过程中的图像是____。
(3)图A分裂后产生的子细胞是_____,图C分裂后产生的子细胞可能是____。
2.减数分裂和有丝分裂的比较
时期
有丝分裂
减数第一次分裂
减数第二次分裂
前期

14c659606fd53c7a7a835ced5ce79978.png

5fb227a7376ab17dfaf3b0c25c5e7411.png

c787b98b2c69af156dda15ccbafa7679.png
①与②中都有同源染色体,主要区别:②中同源染色体____;③中无同源染色体
中期

6015e12903957c559b3043a2699a4d33.png

462618004d67a96eccaf2fcbbb961ff2.png

eeabf73d927db2d0d7d73727eec4a34f.png
①与②的主要区别:①中染色体的着丝粒排列在赤道板上,②中染色体的着丝粒排列在赤道板的____;③中__同源染色体,染色体的着丝粒排列在赤道板上
后期

9f00b7c41e9eddc95024edff28cff746.png

652478bd8fa7b257d5fc62f8feadd549.png

1008add7d3efcb307088f8ac6c4b726e.png
①与②比较:①中染色单体分离,②中____分离;①与③比较:①中__同源染色体,③中__同源染色体;②与①③比较:②中__染色单体,①③中__染色单体
【答案】1.(1)B、C  (2)A、C、D  (3)卵细胞和极体  精细胞或极体  2.联会,形成四分体  两侧  无  同源染色体  有  无  有  无
三、配子中染色体组合的多样性与受精作用
1.减数分裂过程中非同源染色体的自由组合是导致配子中染色体组合多样性的原因之一,请填空:
(1)一个含n对同源染色体的精原细胞,经减数分裂产生的精子类型有________;
(2)一个含n对同源染色体的卵原细胞,经减数分裂产生的卵细胞类型有_______;
(3)一个含有n对同源染色体的一个生物体,经减数分裂产生的配子类型有_______。
2.下图是细胞减数分裂与受精作用过程中的DNA含量变化曲线,请分析回答:
           
316a07a9557172616990f19fde1ed8fb.png
(1)图中表示减数分裂过程的是_______段,表示受精作用的是_______段。
(2)DE段的含义是_____________________。
(3)mn、ik两段的DNA含量相等,染色体数目也相等吗?
【答案】1.(1)2种  (2)1种  (3)2n种  2.(1)AB  CD  (2)受精卵的有丝分裂  (3)ik段表示有丝分裂前期、中期和后期,mn段表示减数第一次分裂的前期、中期和后期,有丝分裂后期染色体数是mn段的2倍。

158541c629500e9a76c1b30735b46a3e.png
1.卵细胞形成特点不同于精子形成特点的是(    )
①卵细胞的形成过程中存在细胞质不均等分裂
②卵细胞形成过程中有联会现象
③一个初级卵母细胞只形成一个卵细胞
④卵细胞形成过程中不出现四分体
A.①②                        B.①④                                        C.①③                                        D.③④
2.哺乳动物的一个初级精母细胞和一个初级卵母细胞,经减数分裂产生的成熟生殖细胞数目分别是(  )
A.一个精子和一个卵细胞                                        B.四个精子和一个卵细胞
C.四个精子和四个卵细胞                                        D.一个精子和四个卵细胞
3.下列关于减数分裂和受精作用的叙述,错误的是(    )
A.减数分裂过程中DNA复制一次,细胞分裂两次
B.受精卵中的遗传物质一半来自父方、一半来自母方
C.受精作用使合子中的染色体数为精子和卵细胞中染色体数之和
D.减数分裂和受精作用过程对生物的遗传和变异具有重要的意义
4.某种植物进行减数分裂的过程中,下列叙述正确的是(    )
A.减I前期,细胞的同源染色体之间发生了联会
B.减I后期,移向细胞两极的染色体组成相同
C.减II后期,染色体的复制正在进行,着丝粒尚未分裂
D.减II中期,细胞的同源染色体分离,染色体数目减半
5.下列关于“观察细胞减数分裂实验”的叙述中,错误的是(  )
A.可用蝗虫精母细胞、蚕豆花粉母细胞的固定装片观察细胞的减数分裂
B.用桃花的雄蕊比用桃花的雌蕊制成的装片,更容易观察到减数分裂现象
C.能观察到减数分裂现象的装片中,有可能观察到同源染色体的联会现象
D.用洋葱根尖制成的装片,能观察到同源染色体的联会现象
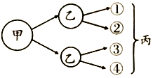
6.下图是某哺乳动物生殖细胞的形成过程,图中甲、乙、丙分别表示不同类型的细胞。下列相关叙述正确的是(    )
            
4868a2eaa015fa761819fcbc3518f9f8.png
A.乙细胞中染色体的数目与甲细胞相同
B.丙细胞受精后染色体数目是甲的一半
C.丙细胞中不可能存在同源染色体
D.分裂结束后形成的丙均是卵细胞
7.图所示为某动物卵原细胞中染色体组成情况,该卵原细胞经减分裂产生3个极体和1个卵细胞,产生的卵细胞的染色体组成是1、3,则3个极体中染色体组成是(    )
       
abe0cfd9206a9e4233c04162f4a6e03c.png
A.都是2、4
B.都是1、3
C.1个极体是1、3,另2个极体都是2、4
D.1个极体是2、4,另2个极体都是1、3
8.下列关于减数分裂的叙述,不正确的是(  )
A.能进行有性生殖的生物才能进行减数分裂
B.高等动物的减数分裂发生在睾丸(精巢)和卵巢中
C.减数分裂过程中染色体只复制一次,且发生在减数第一次分裂前的间期
D.玉米体细胞中有10对同源染色体,经减数分裂后,卵细胞中有5对同源染色体

551d5a000ff247a5523ef71fb2bc5bb9.png
1.精子和卵细胞形成过程的异同

d1e254e78f6aa6d7d99a2b1ca168a23f.png
2.明确受精作用的两个细胞学基础和一个误区
(1)两个细胞学基础:
①细胞膜信息交流功能——不同物种的精卵不识别,这也是生殖隔离形成的原因。
②细胞膜的结构特点——具有一定的流动性。精卵融合为一个受精卵,首先要发生细胞膜的融合。
(2)一个误区:受精卵中遗传物质并非一半来自父方,一半来自母方,原因是细胞质DNA几乎全部来自母方,这也是母系遗传的细胞学基础。
【答案】
1.C   2.B   3.B   4.A   5.D   6.C   7.C   8.D
您需要登录后才可以回帖 登录 | 立即注册

本版积分规则

Archiver|手机版|小黑屋|5432教案网 ( 蜀ICP备2022024372号-1 |川公网安备51152402000101号 )|网站地图

GMT+8, 2026-5-29 00:41 , Processed in 3.566378 second(s), 31 queries .

Powered by Discuz! X3.5

© 2001-2026 Discuz! Team.

快速回复 返回顶部 返回列表