找回密码
 立即注册
搜索
查看: 1|回复: 0

(必修1)2.4 蛋白质是生命活动的主要承担者(课时2)(导学案)(原卷版)(导学案4

[复制链接]

2万

主题

224

回帖

14万

积分

管理员

积分
142923
发表于 4 小时前 | 显示全部楼层 |阅读模式
第4节 蛋白质是生命活动的主要承担者(第二课时)
学习目标
1.通过 组装胶原蛋白的活动,概述蛋白质的一级结构和空间结构,阐明蛋白质结构多样性的原因。
2.通过胶原蛋白和血红蛋白的结构和功能分析,阐明蛋白质的功能以其完整空间结构为基础,而空间结构与组成它的氨基酸序列密切相关,从分子水平感悟结构与功能的关系。
【课前学习】
1.蛋白质的形成
(1)由于氨基酸之间能够形成________等,从而使得肽链能够__________,形成具有一定空间结构的蛋白质分子。
(2)两条或多条肽链之间通过一定的化学键(如________)相互结合在一起,形成具有更为复杂的________的蛋白质。
2.蛋白质结构多样性的原因
(1)氨基酸方面:氨基酸的种类、数目、________不同。
(2)肽链方面:肽链的________及其形成的________千差万别。
【课上学习
任务一:组装胶原蛋白
1.按照脱水缩合的方式,将上节课剪下的氨基酸卡片用肽键连接,形成三肽,并将脱下的部分拼成水分子。
2.借助以上物理模型,概括肽链中氨基酸数、脱水数、肽键数间的关系。
3.总结肽链结构多样性形成的原因。
任务二:利用三肽模型,模拟蛋白质的水解过程。
【课后练习】
一、选
1.下列有关生物蛋白质的叙述,不正确的是(  )
A.蛋白质单体中至少有一个—NH2(氨基)和一个—COOH(羧基)连接在同一个碳原子上
B.蛋白质中结构最简单的氨基酸是甘氨酸,组氨酸是婴儿的必需氨基酸
C.载体蛋白、血红蛋白都具有运输功能,血红蛋白由C、H、O、N、Fe等元素组成
D.蛋白酶在强酸中变性的原因是该蛋白质的空间结构受到破坏,肽键被水解
2.下图为某多肽物质分解反应示意图,下列说法正确的是(    )

5141e69d52f117fced65894e180f87a0.png
A.该多肽物质是由 7 个氨基酸经过脱水缩合形成
B.图示反应前后游离的氨基和羧基数目不变
C.产物为三肽和二肽
D.反应物中有 8 个肽键
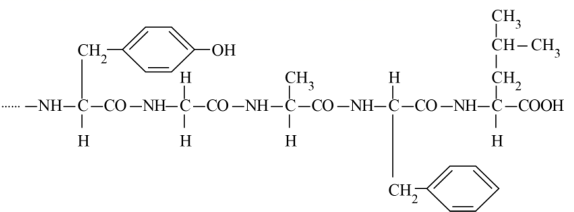
3.下图为脑啡肽的结构简式,据图分析下列叙述错误的是(  )

f13556e7ac4561f44c3a27362e1f07e7.png
A.脑啡肽是由5个氨基酸失去4分子的水形成的
B.该化合物中有1个羧基和1个氨基
C.脑啡肽分子是由4种氨基酸形成的
D.该化合物属于四肽,因为含有4个肽键
4.如图是由280个氨基酸组成的某蛋白质的结构图,对其叙述正确的是(  )

e825685f1de679263c0e0070513bfddc.png
A.该蛋白质至少有两个羧基        
B.该蛋白质完全水解需要277个水分子
C.该蛋白质的功能由氨基酸的数量、种类、排列顺序三方面决定        
D.该蛋白质至少含280个氨基
5.由n个肽键、2条多肽链组成的蛋白质。若氨基酸的平均相对分子质量为a,则该蛋白质的相对分子质量为( )
A.(a-18)n-2a        B.(a-18)n+2a        C.an-18(n-2)        D.an-18(n+2)
6.下列有关叙述,正确的是(    )
A.氨基酸脱水缩合形成的水中的氧一个来自氨基,一个来自羧基
B.蛋白质的合成过程中产生水,水解过程需要消耗水
C.高温、强酸、强碱都会破坏肽键从而破坏蛋白质的空间结构
D.血液中O2的运输不能体现蛋白质的功能
7.下图为某多肽分子,下列相关叙述中不正确的是(    )

fdb87503cc733db8b74bd83895028f5c.png
A.该多肽形成场所为核糖体,形成时失去4个水分子
B.该多肽分子中只有一个氨基和一个羧基
C.该多肽分子由4种氨基酸构成
D.该多肽不能与双缩脲试剂反应产生紫色
8.下列关于蛋白质的叙述正确的是(    )
A.人体不能合成的氨基酸称为非必需氨基酸,共有8种
B.细胞中氨基酸种类和数量相同的蛋白质是同一种蛋白质
C.血红蛋白中不同肽链之间通过肽键连接
D.各种氨基酸理化性质不同的原因在于R基不同
9.烫发时,先用还原剂使头发角蛋白的二硫键断裂,再用卷发器将头发固定形状,最后用氧化剂使角蛋白在新的位置形成二硫键。这一过程改变了角蛋白的(  )
A.空间结构        B.氨基酸种类
C.氨基酸        D.氨基酸排列顺序
10.人体每天的饮食必须要有充足的蛋白质,因为人体体内的蛋白质每天都有一定的代谢消耗,所以每天必须补充,下列关于其说法正确的是(    )
A.人体食用蛋白质食物之后通过消化吸收增加了人体内蛋白质的种类
B.人体蛋白质中的N主要存在于氨基中
C.蛋白质的多样性是因为组成蛋白质的氨基酸的种类、数目、排列顺序和空间结构不同
D.高温能使蛋白质变性,使蛋白质的结构伸展、松散,易于消化
11.困扰美洲及加勒比地区的寨卡(Zika)病毒,已在我国发现多例感染者。该病毒通过伊蚊叮咬进行传播,导致婴儿患上小头症,该病毒结构如图所示。下列叙述正确的是(    )

d5f507ee9881441f1b9b51183d6a95c3.png
A.图中 M 蛋白、E 蛋白二聚体经过酶解后的氨基酸种类和数量均不同
B.寨卡病毒的遗传物质彻底水解后得到尿嘧啶和核糖核苷酸等化合物
C.如图所示,寨卡病毒的遗传物质RNA,在HIV中也能找到这类物质
D.寨卡病毒体内,水是含量最多的化合物,其含量不断变化又相对稳定
12.下列广告语在科学性上没有错误的是(    )
A.来自深海生物的稀有蛋白质,满足您对特殊蛋白质的需求
B.××牌八宝粥由桂圆、红豆、糯米等精制而成,不含糖,适合糖尿病患者食用
C.这种口服液含有丰富的C、N、P、Zn等微量元素
D.服用鱼肝油(富含维生素D)有助于您的宝宝骨骼健康,促进骨骼发育
二、非选择题
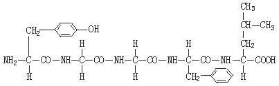
13.肉毒杆菌是一种致命病菌,在繁殖过程中分泌毒素。军事上常将这种毒素用于生化武器。人们食入和吸收这种毒素后,神经系统将遭到破坏。该毒素由两个亚单位(每个亚单位为一条链盘曲折叠而成)组成的一种生物大分子。

853a8aa1f5906b40f8d78bf05e476e9c.png
请回答问题:
(1)肉毒类毒素化学本质是______,可用___________检测,其组成单位的结构通式是________________。
(2)图中该片段由______种氨基酸组成,有_____个肽键。
(3)一分子肉毒类毒素至少含有______个氨基和______个羧基。,写出上图中最后一个氨基酸的R基________________。
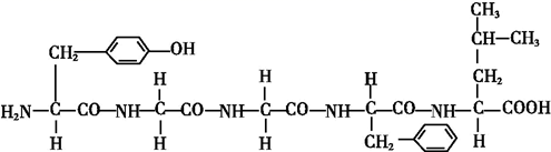
14.我国中科院上海生化所于1982年5月合成了一种具有镇痛作用而又不会像吗啡那样使病人上瘾的药物——脑啡肽,下面是它的结构简式。请根据此化合物的结构分析回答:

7f4883e0e5e374985b66333f5a91095d.png
(1)该化合物有________个氨基和________个羧基。
(2)该化合物是由________个氨基酸失去________分子水而形成的,这样的反应叫做________,该化合物叫________肽。在形成时,相对分子质量减少了________。
(3)脑啡肽水解后可产生________种氨基酸,造成氨基酸种类不同的原因是_______。
15.某细菌能产生一种链状毒性肽,其分子式是C55H70O19N10,将它彻底水解后只能得到下列四种氨基酸。

6abd04922ee98d7abbb45f6847d58d26.png
请完成下列小题
(1)每种蛋白质都一定含有元素的是____________。
(2)一个蛋白质中的氨基酸一般不会超过___________种。
(3)两个氨基酸分子相互作用的化学反应叫做_______,其产物是______。
(4)该多肽水解成不同的氨基酸,这些氨基酸在结构上的共同特点是____________。
(5)蛋白质分子结构复杂,经加热、X射线、强酸、强碱、重金属盐等的作用,引起蛋白质的变性,其原因主要是_________________。
(6)蛋白质分子结构多种多样,在细胞里的功能也是多种多样。写出蛋白质其中的两种功能____________。(只对一种不给分)
您需要登录后才可以回帖 登录 | 立即注册

本版积分规则

Archiver|手机版|小黑屋|5432教案网 ( 蜀ICP备2022024372号-1 |川公网安备51152402000101号 )|网站地图

GMT+8, 2026-4-11 20:40 , Processed in 0.780858 second(s), 32 queries .

Powered by Discuz! X3.5

© 2001-2026 Discuz! Team.

快速回复 返回顶部 返回列表