找回密码
 立即注册
搜索
查看: 63|回复: 0

[人教版] (必修1)第五章第2节ATP(导学案2)

[复制链接]

4万

主题

224

回帖

19万

积分

管理员

积分
199048
发表于 2026-4-11 16:11:56 | 显示全部楼层 |阅读模式
第5章第2节 细胞的能量货币ATP
班级: 姓名:
【学习目标】
1.能运用结构与功能相适应的观点,分析ATP分子的化学组成及结构特点,解释ATP是驱动细胞生命活动的直接能源物质。(生命观念、科学思维)
2.通过模型建构分析ATP与ADP相互转化的机制。(科学探究、科学思维)
3.从物质和能量角度,举例说明ATP在生活中的应用。(科学思维、社会责任)
【重点】ATP分子的化学组特点及在能量代谢中的应用
【难点】ATP与ADP相互转化的机制
【课前预习案】
一、ATP是一种高能磷酸化合物
1.名称:___________。
2.结构简式:A-P~P~P。含义分别是:A代表,P代表,~代表        。
二、ATP与ADP可以相互转化
1.ATP和ADP的相互转化_________地发生,且处于__________之中。[来源:学#科#网Z#X#X#K]
2.ATP和ADP相互转化的能量供应机制,体现了生物界的_______。
3.ATP合成的能量来源:
(1)动物、人、真菌和大多数细菌:__________释放的能量。
(2)绿色植物:呼吸作用释放的能量和_____。
三、ATP的利用
1.细胞中绝大多数需要能量的生命活动都是由直接提供能量的。[来源:Zxxk.Com]
2.ATP是细胞内流通的能量货币
(1)吸能反应一般与ATP_____的反应相联系。
(2)放能反应一般与ATP的_____相联系。[来源:学科网]
(3)能量通过____在吸能反应和放能反应之间流通。
【课堂合作探究案】
探究一、ATP的结构
【自主独学】阅读课本86页ATP是一种高能磷酸化合物内容,分析问题1-3。
1.ATP的组成元素有哪些?
2.一个ATP分子有几种化学基团?含有几个磷酸基团?几个特殊的化学键?
3.ATP中的特殊化学键为什么不稳定?
【合作探究依据教材P86文字和相关信息内容,以小组为单位,尝试构建ATP的结构模型。
模型说明:灰色圆片代表磷酸;蓝色的五边形块代表核糖;红色代表腺嘌呤;
绿色彩泥代表普通磷酸键;黄色的彩泥代表特殊的化学键。
【学以致用】
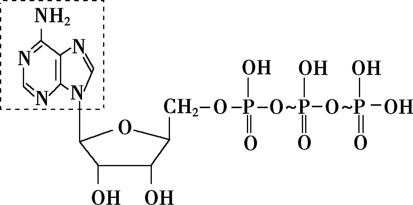
例1.下图为ATP分子的结构式,下列相关叙述错误的是(  )

1d3213e390a21af2697405dbb7a10296.png
A.图中五碳糖为核糖              B.图中虚线框中的基团是腺苷
C.该分子中有2个特殊的化学键    D.该分子由C,H,O,N,P五种元素组成
探究二、ATP和ADP的相互转化
自主探究阅读资料1和资料2,思考相关问题。
资料1、肌肉收缩的直接能源物质是ATP。人体在安静状态时,肌肉内ATP含量只能供肌肉收缩1~2s所需的能量。
资料2、一个人在剧烈运动状态下,每分钟约有0.5kg的ATP分解释放能量,供运动所需。一个成年人在安静的状态下,24h内竟有40kg的ATP被水解。
分析:人体在剧烈运动时需要的大量能量,是依赖ATP含量升高还是ATP和ADP的快速转化?
【合作探究
阅读课本P86-87文字和图5-4、图5-5利用所学知识和拼好的ATP的卡片,小组合作完成ATP与ADP相互转化的模型构建。
【问题思考】ATP和ADP的相互转化是化学上的可逆反应吗?尝试从反应条件,反应场所,能量,酶几个角度分析。
【学以致用】
例2.生物体内能量代谢中ATP的合成和利用过程如图所示。以下说法不正确的是(   )

9703ce3c4ad553b18fa80baf11e23980.png
A.动植物体内都有呼吸作用为ATP的合成提供能量
B.过程和过程的酶和场所不相同
C.c表示吸收的能量,d表示释放的能量,两者数值相等、形式相同
D.ATP在活细胞中的含量很少,但转化速度很快
探究三、ATP的利用
自主探究
阅读课本P89-90,分析ATP可以为哪些生命活动提供能量?

9589de6c7d53aaa5d364ece924615a9b.png
结合课本内容思考:ATP如何为主动运输提供能量?
Ca2主动运输的载体蛋白也是催化ATP水解的_______,膜内侧的Ca2+与其载体结合时就激活该酶,将ATP水解。[来源:学§§网Z§X§X§K]
ATP水解释放的磷酸基团与载体蛋白结合即______________的磷酸化。
载体蛋白磷酸化导致其______________发生变化。
例3.下列生理活动中不会导致细胞内ADP生成量增加的是(  )
A.小肠绒毛上皮细胞吸收葡萄糖       B.甲状腺细胞吸收碘[来源:Zxxk.Com]
C.根毛细胞吸收水分                 D.K进入小肠绒毛上皮细胞
【课堂小结】利用思维导图构建本节知识框架

686c97bc1ea69197f275cea9d7614f4b.jpg
【课后达标练习】
1.一个ATP分子中含有的腺苷、磷酸基团和高能磷酸键数目依次是(      )
A  1,2,2        B  1,2,3       C  1,3,2         D  2,3,1
2. ATP
cdcfb2c8b8c3470cbc545f1d316c1aca.png ADP+Pi+能量"的反应式中,下列说法正确的是(   )
A.物质和能量都是可逆的,酶相同
B.物质和能量都是不可逆的,酶不相同
C.物质是可逆的,能量是不可逆的,酶不相同
D.能量是可逆的,物质是不可逆的,酶相同
3."ATP
f3fc26a009d27760f2a8df0da5378a5a.png ADP+Pi+能量"中的能量不可能用于(  )
A.物质合成      B.肌肉收缩
C.水分的吸收    D.离子吸收和唾液的分泌
4.在活细胞中,如图所示的循环过程永不停息地进行着。请运用所学知识,分析回答ATPADP循环中的有关问题。

c36dc3822bc743483162de56b723aa1d.png
(1)ATP作为生物体生命活动的____________物质,在过程中,是由于_________________断裂而释放出能量。
(2)A1A2分别起什么作用? 二者相同吗? ___________________
(3)中动植物细胞中能量E1的来源有哪些?中能量E2的去向有哪些?_______________________________________________________________________________
5.经研究证实ATP是细胞的能量“货币”。请分析回答下列问题:
(1)ATP分子的结构简式是____________,中文名称:______________。研究发现,正常成年人安静状态下24 h 有40 kg ATP发生转化,而细胞内ADP、ATP的浓度仅为2~10 mmol/L,为满足能量需要,人体解决这一矛盾的合理途径是________________(写出方程式,标明条件)。
(2)ATP在有关酶的作用下,3个磷酸基团逐个脱离下来,最后剩下的是________。
第五章第2节
课前预习案
一、1.腺苷三磷酸
2.腺苷;磷酸;特殊化学键
二、1.时刻不停;动态平衡
2.统一性
3.(1)呼吸作用(2)光能
三、1.ATP
2.(1)水解;(2)合成 (3)ATP
课堂合作探究案
探究一、ATP的结构
1.CHONP
2.三;3;2
3.两个相邻的磷酸基团都带负电荷而相互排斥
例1:B
探究二、ATP和ADP的相互转化
依赖于ATP和ADP之间快速的转化
【问题思考】不是可逆反应,酶的种类、反应所学的能量、场所不相同
例2:C
探究三、ATP的利用
(1)水解;(2)载体蛋白(3)空间结构
例3:C
课后达标练习
CCC
4.(1)直接能源;特殊的化学键
(2)催化作用,不相同
(3)光能和化学能;各项生命活动
5.(1)A-P~P~P;腺苷三磷酸;略
(2)腺苷
您需要登录后才可以回帖 登录 | 立即注册

本版积分规则

Archiver|手机版|小黑屋|5432教案网 ( 蜀ICP备2022024372号-1 |川公网安备51152402000101号 )|网站地图

GMT+8, 2026-5-29 00:53 , Processed in 2.995772 second(s), 31 queries .

Powered by Discuz! X3.5

© 2001-2026 Discuz! Team.

快速回复 返回顶部 返回列表