找回密码
 立即注册
搜索
查看: 1|回复: 0

(必修1)第二章第4节2蛋白质是生命活动的主要承担者(导学案2)

[复制链接]

2万

主题

224

回帖

14万

积分

管理员

积分
142923
发表于 4 小时前 | 显示全部楼层 |阅读模式
第二章第4节蛋白质是生命活动的主要承担者(二)
班级:_____________   小组编号:__________    姓名:_______________
一、学习目标
1.蛋白质的结构及其多样性。(重、难点) 
二、预习导学(课前完成)
【知识一:氨基酸的脱水缩合】
1.一个氨基酸分子的___________和另一个氨基酸分子的__________相连接,同时脱去________________,这种结合方式叫做脱水缩合。连接两个氨基酸分子的化学键叫做_______,两个氨基酸缩合而成的化合物叫做_______。多个氨基酸脱水缩合而成的化合物叫_________。
2.氨基酸脱水缩合的过程:(在方框内填写相应内容,补全方程式)

32f9b53fea21c9bb052b9cec1eed549b.png
【知识二:氨基酸形成蛋白质的过程】
1.氨基酸之间通过__________形成肽链→氨基酸之间能够形成_______等,从而使肽链能_____________→形成具有一定___________________的蛋白质。
2.蛋白质通常是由__________________条肽链组成。
3.蛋白质种类繁多的原因:
(1)组成蛋白质的氨基酸的______________
(2)氨基酸形成肽链时,不同种类的氨基酸的______________________
(3)肽链的______________________________及其形成的_______________________
4.结构与功能相适应:蛋白质都有与它所承担功能相适应的独特________,如果_________________________或____________________________________,就可能会影响其功能。
评价:_______   
三、合作研学(当堂完成)
1.氨基酸的脱水缩合

04f8e73721ffabdce4c2338891fbda23.png
127e4511a545ddc9ae912b438a438897.jpg
923fbd666b03ef1ff3b0cca7e911bd8e.jpg
cdadb4f4474412ff72c46d3419543735.png
A               B                C                  D
(1)下图为ABCD四个氨基酸形成的化合物

9d70bc67a76aea81bc834d3df81a454e.png
①该化合物称为___________,含有_______个肽键,________个氨基和______羧基。
②氨基酸通过____________形成该化合物时,脱去_____个水。
(2)画出ABC三个氨基酸脱水缩合形成的化合物的结构
①形成该化合物时产生______个水,产生______个肽键,该化合物称为______肽,还含有_______个氨基和________羧基。
②若A氨基酸的相对分子质量为121,B氨基酸的相对分子质量为75,C氨基酸的相对分子质量为89,那么这三个氨基酸分子形成的多肽的相对分子质量为___________。(提示:水的相对分子质量为18)
2.氨基酸形成蛋白质过程的相关计算
(1)4个氨基酸形成的四肽,含有______ 个肽键,至少含有_____个氨基和_____个羧基。

7a0ba4002db8f29dff2ec5a4ec89b97f.png
(2)6个氨基酸形成的六肽,含有______ 个肽键,至少含有_____个氨基和_____个羧基。

a110e74dc10440a0f6249b35168f9382.png
(3)12个氨基酸形成2条肽链的多肽,含有______个肽键,至少含有____ 个氨基和_____个羧基。

a110e74dc10440a0f6249b35168f9382.png

178d24de4309fa3db03b0ae87c9ba49c.png
(4)若n个氨基酸形成m条肽链,含有______个肽键,至少含有____ 个氨基和_____个羧基。
(5)一条肽链组成的蛋白质中氨基数目为3个,那么一个氨基位于__________另外两个氨基位于_________。
四、课堂检测(当堂完成)
【选择题】
(  )1. 蛋白质的合成过程为氨基酸
7fe56d3684c918ad8598201d0217e2b0.jpg 多肽
cdc29f9b2f2f9f9dae00c88db1203d9a.jpg 蛋白质,过程分别形成的结构是        
A.肽键、氨基酸  B.肽键、肽键  C.肽键、特定的空间结构  D.空间结构、氨基酸
(  )2. 下列有关蛋白质结构与功能的叙述,正确的是
A.蛋白质的生物活性与蛋白质的空间结构无关
B.检测氨基酸的含量可用双缩脲试剂进行显色
C.氨基酸序列相同的多肽链也可折叠成不同的空间结构
D.将抗体溶于HCl溶液中不会造成其丧失生物活性
(  )3脑啡肽是一种具有镇痛作用的药物,它的基本组成单位是氨基酸。下面是脑啡肽的结构简式,形成这条肽链的氨基酸分子数以及缩合过程中生成的水分子数分别是        

d552ed17efdcb3d755f51269fd3a0709.jpg
A.32                        B.43                        C.54                D.65
(  ) 4. 科学家发现了生物体内的第21种氨基酸——硒半胱氨酸(R基为—CH2—SeH)。由两个硒半胱氨酸和三个谷氨酸[R基为—(CH2)2—COOH]所构成的含有一条肽链的化合物。其名称、游离羧基数目分别为(  )
A.四肽,5   B.四肽,3    C.五肽,4          D.五肽,3
(  ) 5. 两个氨基酸缩合形成二肽并生成水,这个水分子中的氧原子来自氨基酸的
A.氨基     B.羧基    C.R基   D.氨基和羧基
【非选择题】
6. 分析下列化合物,回答下面问题:        

529b28300c969967e768f6722eb6ea61.jpg
(1)图中的结构①④⑥的名称分别是___________________________;图中表示R基的序号是__________________
(2)该化合物由______个氨基酸构成,该化合物的名称是__________
(3)形成该化合物的化学反应叫做__________________
(4)组成这类化合物的基本单位的结构通式是____________________________
第二章第4节蛋白质是生命活动的主要承担者(二)  
(限时5分钟,共100分):
班级:___________  小组编号:___________姓名:___________得分:___________
一、填空题(每个4分,共40分)
1. 一个氨基酸分子的___________和另一个氨基酸分子的__________相连接,同时脱去________________,这种结合方式叫做脱水缩合。连接两个氨基酸分子的化学键叫做_______,两个氨基酸缩合而成的化合物叫做_______。多个氨基酸脱水缩合而成的化合物叫_________。
2. 氨基酸之间通过__________形成肽链→氨基酸之间能够形成_______等,从而使肽链能_____________→形成具有一定___________________的蛋白质。
二、选择题(每个15分,共30分)
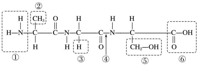
(  )3. 如图是某多肽化合物的示意图,下列有关该化合物的叙述不正确的是

b3304e4d51cd15c7f00f9ccdafe69c67.jpg
A.氨基酸的种类主要由②④⑥⑧决定   B.③⑤⑦的形成与R基无关
C.该多肽游离的羧基多于游离的氨基   D.该多肽在形成过程中,相对分子质量减少了36
(  )4. 一般来说,每100 g蛋白质平均含氮16 g,这些氮主要存在于蛋白质的
A.肽键     B.游离的氨基     C.游离的羧基      D.R基

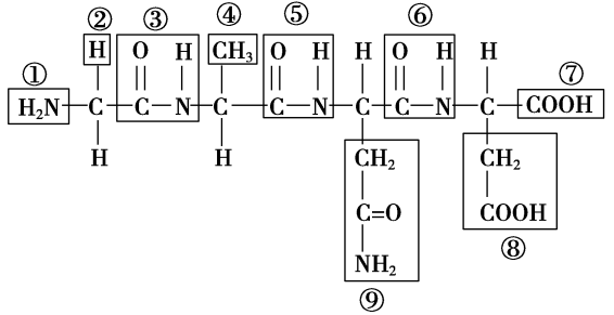
e071f942044c7e6477bb29b7dcc0a04a.png 三、非选择题(每个3分,共30分)
5. 根据下图化合物的结构分析回答下列问题:
(1)该化合物中,①表示______,⑦表示______。
(2)该化合物由________个氨基酸失去________个
水分子形成,这种反应叫作________。
(3)该化合物中的氨基酸种类不同,是由________决定的,
其编号是________。
(4)该化合物称为________,含________个肽键,编号是________。
课堂检测答案
CCCCD
6.(1)氨基;肽键;羧基(2)三个;四肽(3)脱水缩合(4)略
周周练参考答案
1.氨基;羧基;一分子水;肽键;二肽
2.脱水缩合;氢键;盘曲折叠;空间结构
3.D  4.A
5.(1)氨基;羧基(2)4;3;脱水缩合(3)R基;②④⑧⑨(4)四肽;3;③⑤⑥
您需要登录后才可以回帖 登录 | 立即注册

本版积分规则

Archiver|手机版|小黑屋|5432教案网 ( 蜀ICP备2022024372号-1 |川公网安备51152402000101号 )|网站地图

GMT+8, 2026-4-11 20:40 , Processed in 0.846741 second(s), 31 queries .

Powered by Discuz! X3.5

© 2001-2026 Discuz! Team.

快速回复 返回顶部 返回列表