找回密码
 立即注册
搜索
查看: 3|回复: 0

[人教版] (选必2)4.2 电磁场与电磁波(导学案2)

[复制链接]

2万

主题

224

回帖

14万

积分

管理员

积分
141623
发表于 10 小时前 | 显示全部楼层 |阅读模式
4.2电磁场与电磁波学案
一、自主预习
1. c为真空中速度,电磁波在真空中速度等于__________。
2.波速公式____________。
  • 课堂探究
情景设问

cf51a2a7e4fc8984dd12121448ddb575.png    电磁振荡电路中的能量有一部分要以电磁波的形式辐射到周围空间中去,那么,这些电磁波是怎样产生的?
新知探究
考点:电磁场 
1电磁场的理解
(1)电磁场的产生:振荡电场产生同频率的振荡磁场,振荡磁场产生同频率的振荡电场,周期性变化的电场、磁场相互激发,形成的电磁场一环套一环,如图所示.

38b16f70cfda3de7ddd43bf33347822c.png
(2)电磁场并非简单地将电场、磁场相加,而是相互联系、不可分割的统一整体.在电磁场示意图
2.麦克斯韦假设的两大观点:
    (1)变化的磁场产生电场 这是一个普遍规律,跟闭合电路是否存在无关。
(2)变化的电场产生磁场 电场就像运动的电荷,也会在空间产生磁场。

739f9f815e24b68839f6b6f8450acae9.png
e5114f1faeb0a703d2cbeb3efa94e91e.png
变化的磁场周围产生电场    变化的电场周围产生磁场
思考与讨论如右图,交流电产生了周期变化的磁场,上面的线圈中产生电流使灯泡发光

4ee7c40472ee023d4309cc32be36eef9.png
(1)如果用不导电的塑料线绕制线圈,线圈中还有电流电场吗?【有电场,无电流】
(2)线圈不存在时,线圈所处的空间还有电场吗?【有】
(3)若改成恒定的直流电,还有电场吗?【无】
3麦克斯韦认为在变化的磁场周围产生电场,是一种普遍存在的现象,跟闭合电路是否存在无关,导体环只是用来显示电流的存在。
说明:
(1)在变化的磁场中所产生的电场的电场线是闭合的  (涡旋电场)。
(2)变化的磁场产生电场”,这实际上是个假设。这个假设基于电磁感应现象,是很自然的。

ab0ff68d6c80e89366c7cd733e0a7d18.png
4、对麦克斯韦电磁场理论的理解:
恒定的电场不产生磁场
恒定的磁场不产生电场
均匀变化的电场在周围空间产生恒定的磁场
均匀变化的磁场在周围空间产生恒定的电场
不均匀变化的电场在周围空间产生变化的磁场
不均匀变化的磁场在周围空间产生变化的电场
振荡电场产生同频率的振荡磁场
振荡磁场产生同频率的振荡电场
说明:
(1)根据麦克斯韦理论,在给电容器充电的时候,不仅导体中的电流要产生磁场,而且在电容器两极板间变化着的电场周围也要产生磁场。
(2)“变化的电场产生磁场”,这是另一个假设。这个假设没有直接的实验做基础,它出于对自然规律的洞察力,是很大胆的,但却更具有创造性。
(3)电磁场与电磁波的概念
根据麦克斯韦的上述两个观点可以得出,变化的电场和磁场总是相互联系的,形成一个不可分割的统一的电磁场。如果在空间某区域有周期性变化的电场,就会在周围引起变化的磁场,变化的电场和磁场又会在较远的空间引起新的变化的电场和磁场。这样变化的电场和磁场由近及远地向周围传播,形成了电磁波。
考点二:电磁波
1、电磁波的产生:变化的电场和变化的磁场交替产生,由近及远地向周围传播,形成电磁波。
2、电磁波的速度:麦克斯韦指出了光的电磁本质,他预言电磁波的速度等于光速。
3赫兹赫兹证实了麦克斯韦关于光的电磁理论,为了纪念他,把频率的单位定为赫兹。
4、电磁波的特点:
1电磁波是横波,在电磁波中,每处的电场强度和磁感强度的方向总是相互垂直,且与电磁波的传播方向垂直
2电磁波的传播不需要介质,波速V取决于传播介质,任何频率的电磁波在真空中的传播速度都等于真空中的光速,电磁波的频率在传播过程中不会发生变化。随着介质的不同波长会发生变化。
C3.0×108m/s
5、电磁波与机械波的区别
机械波
电磁波
周期性
位移随时间和空间做周期性变化
电场强度E和磁感应强度B随时间和空间做周期性变化
传播情况
传播需要介质,波速与介质有关,与频率无关
传播不需要介质,在真空中波速总等于光速c,在介质中传播时,波速与介质及频率有关
产生机理
由(波源)质点的振动产生
由电磁振荡(周期性变化的电流)激发
是否横波
可以是

是否纵波
可以是

干涉现象
满足干涉条件时均能发生干涉现象
衍射现象
满足明显衍射条件时均能发生明显衍射
6赫兹的电火花实验
    实验现象:当感应圈两个金属球间有火花跳过时,导线环两个小球间也跳过了火花。
实验原理:当与感应圈相连的两个金属球间产生电火花时,周围空间出现了迅速变化的电磁场。这种变化的电磁场以电磁波的形式在空间传播。当电磁波到达导线环时,它在导线环中激发出感应电动势,使得导线环的空隙中也产生了火花,说明这个导线环接收到了电磁波。

302b9aa9b6ff19bfaaff28f474b7f40b.png
赫兹证实电磁波存在的实验装置

059aa83d54aa57eba58da18859e13a82.png
微弱的电火花闪烁着麦克斯韦理论的光辉电磁波发现了。
电磁波成果
无线电报(1901)——广播(1906)——电话(1916)——传真(1923)——电视(1929)——微波(1933)——雷达(1935)——卫星通讯——电子计算机因特网等都与电磁波理论相关。
三、典例精讲
例题展示1关于麦克斯韦电磁场理论,下列说法正确的是(  )
A.在电场周围空间一定存在着磁场
B.任何变化的电场周围一定存在着变化的磁场
C.均匀变化的磁场周围一定存在着变化的电场
D.交变电场在它的周围空间一定产生同频率的交变磁场
2下列关于电磁波说法中正确的是(  )
A.电磁波在真空中以光速c传播          B.电磁波是纵波
C.电磁波不能在空气中传播              D.光需要介质才能传播
四、核心素养专练
1. 关于LC电路,下列说法正确的是(  )
A.一个周期内,电容器充、放电各一次
B.电容器极板上电压最大时,线圈中的电流最强
C.电容器开始充电时,线圈中的磁场能最大
D.电容器开始充电时,电场能最大
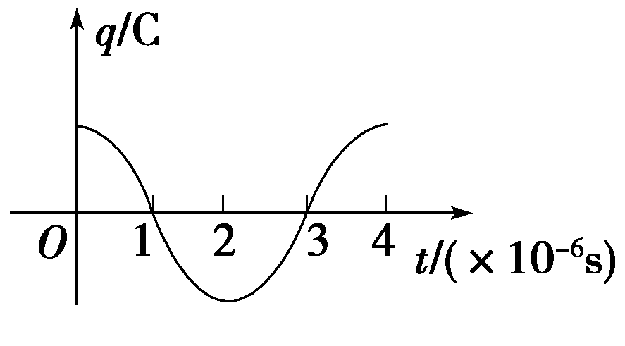
2.在LC振荡电路中,电容器C的带电荷量q随时间t变化的图像如图所示.在1×106 s到2×106 s内,关于电容器的充(放)电过程及由此产生的电磁波的波长,正确的是(  )

9991fc88c5345d17ba36eb155db7f2e2.png
A.充电过程,波长为1200 m
B.充电过程,波长为1500 m
C.放电过程,波长为1200 m
D.放电过程,波长为1500 m
3. 电磁波在传播时,不变的物理量是(  )
A.振幅        B.频率        C.波速        D.波长
4.关于LC振荡电路中的振荡电流,下列说法中正确的是(  )
A.振荡电流最大时,电容器两极板间的电场强度最大
B.振荡电流为零时,线圈中自感电动势为零
C.振荡电流增大的过程中,线圈中的磁场能转化成电场能
D.振荡电流减小的过程中,线圈中的磁场能转化为电场能

五、参考答案
自主预习
1. 光速
2. c=λf   
典例精讲
1. A、均匀变化的电场产生稳定的磁场,而非均匀变化的电场产生非均匀变化的磁场,恒定的电场不会产生磁场,故A错误;
BC、均匀变化的磁场一定产生稳定的电场,而非均匀变化的磁场将产生非均匀变化的电场,恒定的磁场不会产生电场,故BC错误;
D、电磁波是由变化的电磁场产生的,交变电场在它的周围空间一定产生同频率的交变磁场,故D正确;
故选:D
2. A、电磁波在真空中的传播速度等于光速c,故A正确;
B、电磁波为横波,故B错误;
C、电磁波可以在真空中传播,也可以在空气中传播,故C错误;
D、光是一种电磁波,可以在真空中传播,不需要介质,故D错误。
故选:A
核心素养专练
1.电容器从开始充电到放电完毕才经历半个周期,一个周期内,电容器应充、放电各两次,A错误;电容器上的电压最大时,电场能最大,此时磁场能为零,线圈中的电流为零,B错误;电容器开始充电时,电场能为零,线圈中磁场能最大,所以C正确,D错误故选:C
2由图可知,在1×106 s2×106 s内,电容器C的带电荷量由0增加到最多,因此是充电过程.电磁振荡周期等于所发射的电磁波的周期,那么电磁波的波长为λcT3×108×4×106 m1200 m 故选:A。
3.离波源越远,振幅越小,电磁波在不同介质中的波速不一样,波长也不一样。频率是由发射电磁波的波源决定的,与介质无关。故选:B
4.振荡电流最大时,处于电容器放电结束瞬间,电场强度为零,A项错误;振荡电流为零时,LC回路振荡电流改变方向,这时的电流变化最快,电流强度变化率最大,线圈中自感电动势最大,B项错误;振荡电流增大时,线圈中电场能转化为磁场能,C项错误;振荡电流减小时,线圈中磁场能转化为电场能,D项正确。故选:D
您需要登录后才可以回帖 登录 | 立即注册

本版积分规则

Archiver|手机版|小黑屋|5432教案网 ( 蜀ICP备2022024372号-1 |川公网安备51152402000101号 )|网站地图

GMT+8, 2026-4-9 17:12 , Processed in 1.032348 second(s), 31 queries .

Powered by Discuz! X3.5

© 2001-2026 Discuz! Team.

快速回复 返回顶部 返回列表