找回密码
 立即注册
搜索
查看: 1|回复: 0

(选必1)第2章第5节用单摆测量重力加速度(教案2)

[复制链接]

2万

主题

224

回帖

14万

积分

管理员

积分
141330
发表于 7 小时前 | 显示全部楼层 |阅读模式
人教版高中物理选择性必修1第2章第5节用单摆测量重力加速度教学设计
课题
单摆测量重力加速度
单元
2
学科
物理
年级
高二
教材分析
用单摆测量重力加速度是高中阶段精度比较高的实验。教材按照实验设计及操作的一般步骤,先介绍实验思路,依据周期公式让学生“想一想, 要根据上式测量重力加速度,需要测量哪些物理量?应该如何设计实验装置、选择实验器材?怎样才能减小实验误差?”在学生思考和讨论的基础上,进而描述实验装置和物理量的测量方法,提出常用的数据分析方法。为了保证实验的精度,本节教材对减小实验误差非常重视,在实验装置设计上引导学生思考如何减小实验误差:在“思考与讨论”中要求学生讨论如何选择摆线、摆球,以及摆线的悬挂方式:在摆长、周期的测量环节,分别提供两种测量方式进行对比,引导学生讨论后根据测量需要进行选择:在数据分析时引导学生采用图像法减小实验误差。
本节教学的重点是单摆摆长和周期的测量及实验误差分析。单摆摆长和周期的测量是完成本实验的基础,也是实验误差的主要来源。实验数据处理和误差分析是本节的教学难点。学生虽已经具备利用单摆周期公式求重力加速度的能力,但在通过测量和数据处理来提高实验精度方面存在不足。学生知道“平均值法”能减小偶然误差,但对用图像法处理实验数据还不够熟练。
教学目标与核心素养
1.明确用单摆测定重力加速度的原理和方法。
2.学会用单摆测当地的重力加速度,学会减小实验误差的方法。
3.知道如何选择实验器材,能熟练地使用秒表。
科学探究:利用单摆测量当地的重力加速度
科学态度与价值观:通过对当地加速度的测量,培养认真探究的科学精神和知识的迁移应用能力。
重点
学会用单摆测当地的重力加速度,学会减小实验误差的方法。
难点
学会用单摆测当地的重力加速度,学会减小实验误差的方法。
教学过程
教学环节
教师活动
学生活动
设计意图
导入新课
了解地球表面重力加速度的分布,对地球物理学、航空航天技术及大地测量等领域有十分重要的意义。为此,就需要了解测量重力加速度的方法。
如何测量重力加速度呢?

cf38ab208318715b3bdfd547222b266d.png
思考原来学习过的测量重力加速度的方法。

引发学生思考,在回顾旧知识的同时,引出新课内容。
讲授新课
1、物体可以看做单摆的条件?
悬点:固定。
细线:不可伸缩,质量不计,长度远大于小球直径。
摆球:体积小,质量大。
摆角:小于5°。
2、利用单摆测重力加速度的原理是什么?
单摆做简谐运动时,其周期为:<Object: word/embeddings/oleObject1.bin>
得:<Object: word/embeddings/oleObject2.bin>
只要测出单摆的摆长L和振动周期T,就可以求出当地的重力加速度g的值。  
3、其中涉及到的摆长L和周期T怎么测量?
(1)测摆长:摆长为L+r
用米尺量出悬线长L,精确到毫米
用游标卡尺测摆球直径,算出半径r,也准确到毫米
(2)测周期:
把单摆从平衡位置拉开一个角度(<5°)释放,用秒表测量单摆的周期。
思考:①怎样才能减小测量L和T的误差?
      ②为了测量周期,摆球到达哪个位置的时刻作为计时开始与停止的时刻比较好?
用秒表测量单摆完成30次全振动(或50次)所用的时间t,求出完成一次全振动所需要的时间,这个平均时间就是单摆的周期。
应以摆球经平衡位置计时开始与停止时刻
4、请简述实验步骤?
(1)做单摆:让细线的一端穿过摆球的小孔,然后打一个比孔大的线结,制成一个单摆.

d4ae9eea41669704419fc46a8e9f0677.png
(2)测摆长:摆长为l=l线+d/2

df7e3195d0425258dc5fa75e77c5fa8a.png
(3)测周期:把单摆从平衡位置拉开一个角度(<5o)放开它。
用秒表测量单摆的周期。以摆球经平衡位置计时开始与停止时刻。
(4)数据处理
①平均值法:每改变一次摆长,将相应的l和T代入公式中求出g值,最后求出g的平均值.如下表处理数据:

f9af026033fbc2785ad86d601c56967b.png
②图像法:
由<Object: word/embeddings/oleObject3.bin>得<Object: word/embeddings/oleObject4.bin>作出T2-l图像,即以T2为纵轴,以l为横轴.其斜率              <Object: word/embeddings/oleObject5.bin>由图像可计算出斜率,可求出重力加速度<Object: word/embeddings/oleObject6.bin>。   
(5)重复几次实验。
5、分组完成实验
6、误差分析
1、本实验系统误差主要来源于单摆模型本身是否符合要求,即悬点是否固定;是单摆还是复摆;球、线是否符合要求;振动是圆锥摆还是同一竖直平面内振动以及测量哪段长度作为摆长等。
2、本实验偶然误差主要来自时间(即单摆周期)的测量上。因此要注意测准时间(周期),要从摆球通过平衡位置开始计时,不能多记或漏记振动次数。为了减小偶然误差,应进行多次测量后取平均值。
提高实验精度从两个方面入手:
(1)尽可能准确地测量出摆长和周期;
(2)多次改变摆长,重做实验得到多组数据,并用图像法处理数据。
7、本实验有哪些注意事项?
①选择材料时应选择细轻又不易伸长的线,长度一般在1m左右,小球应选用密度较大的金属球,直径应较小,最好不超过2 cm;
②单摆悬线的上端不可随意卷在铁夹的杆上,应夹紧在铁夹中,以免摆动时发生摆线下滑或悬点不固定,摆长改变的现象;
③注意摆动时摆角不易过大,不能超过5º,以保证单摆做简谐运动;
④摆球摆动时,要使之保持在同一个竖直平面内,不要形成圆锥摆;
⑤测量从球通过平衡位置时开始计时,因为在此位置摆球速度最大,易于分辨小球过此位置的时刻。
⑥为了减少偶然误差改变摆长,多次测量求平均值 。
课堂练习1、(1)物理课外小组研究“用单摆测重力加速度”实验,他们依照教材实验直接测量的物理量应为、、,其公式为。
(2)他们测出不同的摆长(l)所对应的周期(T),在进行数据处理时:①如果甲同学以摆长(l)为横坐标、周期(T)的二次方为纵坐标作出了T2-l图像,若他测得的图像的斜率为k,则测得的重力加速度g=。若甲同学测摆长时,忘记测摆球的半径,则他用图像法求得的重力加速度    (选填“偏小”“偏大”或“准确”)。②乙同学根据公式 : ,并计算重力加速度,若乙同学测摆长时,也忘记了测摆球的半径,则他测得的重力加速度(选填“偏小”“偏大”或“准确”)。
(3)甲同学测量5种不同摆长下单摆的振动周期,记录结果如表所示。

82c5ca0df7b4c6a31a484c5f3e0e2bb1.png
以摆长(l)为横坐标、周期(T)的二次方为纵坐标,作出T2-l图像,请你替他在作出T2-l图像,利用此图像求出的重力加速度大小为。
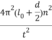
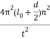
解析1)本实验是利用单摆的周期公式T=2π得出g=
f6393cc65a5dc4376b938c11f21237e6.png ,即只要测出摆长l和周期T就能求出当地的重力加速度g,而l=l0+,T=。显然,本实验直接测量的物理量应为摆线长l0、摆球直径d以及完成n次全振动所用的时间t。其公式为g=
859465391e2753342dcc83a992c729ab.png
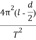
(2)若依据测量数据,作出T2-l图像,其斜率为k=,而g=
f6393cc65a5dc4376b938c11f21237e6.png ,故有g=
53bc5918fc4d4860f9f0b5e3b6658c14.png 。图像函数式应为T2=
42e2a0077773998a65d3aedce8eefcfb.png l,如果忘记d,则函数式写为T2=
42e2a0077773998a65d3aedce8eefcfb.png ·(l-),显然图像的斜率不变,所以加速度的测量值不变。若根据公式T=2π,得g=
f6393cc65a5dc4376b938c11f21237e6.png ,并计算重力加速度,如果忘记d,测量公式写为g=
80d09e987cbe2d96defa764b925a74b6.png ,显然测量值偏小。
(3)建立如图坐标系,并标出适当的标度,依据数学描点法画出T2-l图像如图所示,则图像的斜率大约为k=4.0。依据图像求出重力加速度为g=
53bc5918fc4d4860f9f0b5e3b6658c14.png =9.86 m/s2。
答案1)摆线长l0 摆球直径d n次全振动的时间t g=
859465391e2753342dcc83a992c729ab.png  (2)
53bc5918fc4d4860f9f0b5e3b6658c14.png  准确 偏小
(3)T2-l图像见解析 9.86 m/s2

d1f28b489eea40620f5b66ef46542ce3.jpg
思考什么是单摆?
单摆的理想化模型如何理解。
小组讨论测重力加速度的原理,以及涉及到的物理量的测量方法。
结合前面的讨论内容,梳理实验操作步骤。
学生结合讨论内容,分组完成实验,并对数据进行相应的处理。
结合实验数据,分析数据误差。
结合实验操作过程,总结实验中的注意事项。
完成课堂练习。
思考单摆的定义,让学生明确在现实生活中如何得到单摆模型,为下一步完成实验操作打下基础。
通过小组讨论,让学生掌握测量方法,明确实验过程中的注意事项。提高实验的准确性。
让学生掌握常用的数据处理方法:平均值法和图像法。
让学生先进行实验操作,结合实验操作数据和操作流程,总结本次实验中需要注意的事项,并对所测量的数据进行误差分析。更能加深学生对实验的理解程度。
通过练习巩固基础知识。
拓展提高
1.用单摆测定重力加速度,根据的原理是(  )
A.由<Object: word/embeddings/oleObject7.bin> 看出,T一定时,g与L成正比。
B.由 <Object: word/embeddings/oleObject8.bin>看出,l一定时,g与T2成反比。
C.由于单摆的振动周期T和摆长l可以试验测定,因此利用<Object: word/embeddings/oleObject9.bin>可算出当地的重力加速度。
D.同一地区单摆的周期不变,不同地区的重力加速度与周期的二次方成反比。
解析:同一地区重力加速度不变,选项A、B、D错误;用单摆测重力加速度的原理是,根据单摆的周期公式T=2π得g=
f6393cc65a5dc4376b938c11f21237e6.png ,测出单摆周期T和摆长l,计算可得当地的重力加速度g,选项C正确。
答案:C
2.某同学用实验的方法探究影响单摆周期的因素。
(1)他组装单摆时,在摆线上端的悬点处,用一块开有狭缝的橡皮夹牢摆线,再用铁架台的铁夹将橡皮夹紧,如图所示。这样做的目的是(填字母代号)。
A.保证摆动过程中摆长不变
B.可使周期测量得更加准确
C.需要改变摆长时便于调节
D.保证摆球在同一竖直平面内摆动
(2)他组装好单摆后在摆球自然悬垂的情况下,用毫米刻度尺从悬点量到摆球的最低端的长度l=0.999 0 m,再用游标卡尺测量摆球直径,结果如图所示,则该摆球的直径为mm,单摆摆长为m。

28baef42d4a47482bacba75a7f8c7fa0.jpg
(3)下列振动图像真实地描述了对摆长约为1 m的单摆进行周期测量的四种操作过程。图中横坐标原点表示计时开始,A、B、C均为30次全振动的图像,已知sin 5°=0.087,sin 15°=0.26,这四种操作过程合乎实验要求且误差最小的是(填字母代号)。

0adff85303261346a17ed2294f5fcc28.png
解析1)用一块开有狭缝的橡皮夹牢摆线的目的是保证摆动过程中摆长不变,需要改变摆长时便于调节,选项A、C正确。
(2)根据游标卡尺读数规则,摆球直径为12.0 mm,单摆摆长为
L-d/2 =0.999 0 m-0.006 0 m=0.993 0 m。
(3)单摆测量周期,必须从平衡位置开始计时,且摆角小于5°,所以合乎实验要求且误差最小的是A。
答案1)A C 
(2)12.0 0.993 0 (3)A
3.下表是用单摆测定重力加速度实验中获得的有关数据:

817cae28914d18bd54e52c9be217d701.png
(1)利用上述数据,作出l-T2图像。
(2)利用图像,取T2=4.2 s2时,l=m,重力加速度g= m/s2
解析1)l-T2图像如图中直线所示。
(2)T2=4.2 s2时,从图中画的直线上可读出其摆长l=1.05 m,图像斜率
答案1)见解析图
(2)1.05 9.86

1d8cd636dddc879749e237598ead8aa9.jpg
完成拓展提高。
通过练习,巩固基础知识。
课堂小结
一、单摆测量重力加速度原理
<Object: word/embeddings/oleObject10.bin>
二、数据处理
1、平均值法:多次求g,取平均值
2、图像法:T2-L的斜率<Object: word/embeddings/oleObject11.bin>
总结本节课所学知识点。
帮助学生梳理基础知识,形成知识框架。
板书

5e804368639bc4307fecc7edebdcdffc.png
您需要登录后才可以回帖 登录 | 立即注册

本版积分规则

Archiver|手机版|小黑屋|5432教案网 ( 蜀ICP备2022024372号-1 |川公网安备51152402000101号 )|网站地图

GMT+8, 2026-4-8 17:52 , Processed in 0.834753 second(s), 32 queries .

Powered by Discuz! X3.5

© 2001-2026 Discuz! Team.

快速回复 返回顶部 返回列表