找回密码
 立即注册
搜索
查看: 1|回复: 0

(选必1)第1章第4节实验:验证动量守恒定律(教案2)

[复制链接]

2万

主题

224

回帖

14万

积分

管理员

积分
141330
发表于 7 小时前 | 显示全部楼层 |阅读模式
人教版高中物理选择性必修1第1章第4节实验:验证动量守恒定律教学设计
课题
实验:验证动量守恒定律
单元
1
学科
物理
年级
高二
教材分析
教材在第1节通过教师演示实验引导学生寻求碰撞中的不变量,后面又通过理论推导得出了动量守恒定律。学生通过必修课程的学习,已经储备了丰富的运动与相互作用关系的知识,初步形成了运动与相互作用观和能量观。本节主要是引导学生在初步掌握动量守恒定律的基础上,利用已有的知识进行实验设计、实验观察和数据分析。本节的重点应放在实验方案设计和实验数据分析上。
教学目标与核心素养
1、能依据已有知识合理设计实验方案。
2、能合理地选择实验器材,获得实验数据,分析实验数据,形成结论。
3、能撰写实验报告,用学过的物理术语、图表等交流本实验的探究过程与结论。
4、坚持实事求是,在合作中既能坚持观点又能修正错误。
物理观念:通过实验用不同的方法探究碰童中的动量守恒.
科学思维:领会探究碰童动量守恒的基
科学探究:能利用已有知识设计实验方案,完成对动量守恒定律的验证。
科学态度与价值观:通过实验得到一维碰童中的动量守恒定律的表达式,体会物理学中的科学探究精神。培养实事求是的科学态度。
重点
能合理地选择实验器材,获得实验数据,分析实验数据,形成结论。
难点
学过的物理术语、图表等交流本实验的探究过程与结论
教学过程
教学环节
教师活动
学生活动
设计意图
导入新课
碰撞:物体之间在极短时间内的相互作用。

a0d5810cbb318a083c110b60cbd92c4a.png
思考:1. 碰撞前后会不会有什么物理量保持不变?
2. 如果有,这个量会是什么?
思考动量守恒定律。
回忆碰撞中动量守恒的情景。

引导学生回忆动量守恒定律,引出新课。
讲授新课
最简单的碰撞情况 — 两个物体碰撞前沿同一直线运动,碰撞后仍沿这条直线运动。这种碰撞叫做一维碰撞。如下图所示:

ff17e820cf03557a6dccb6871d406039.png
方案一:研究气垫导轨上滑块碰撞时的动量守恒
1.实验器材:气垫导轨、光电计时器、天平、滑块(两个)、弹簧片、细绳、弹性碰撞架、胶布、撞针、橡皮泥等。
2.实验设计:利用气垫导轨使两滑块发生一维碰撞,如图所示:
实验装置

4ea7a5a6c0969bb2071c7bbf2f5b00e4.png
以下几种方式分别探究:
1.选取两个质量不同的滑块,在两个滑块相互碰撞的端面装上弹性碰撞架,滑块碰撞后随即分开。

e84fe0fcb47f5df4c0c7d9e9065a904a.png
2.在两个滑块的碰撞端分别装上撞针和橡皮泥,碰撞时撞针插入橡皮泥中,使两个滑块连成一体运动。如果在两个滑块的碰撞端分别贴上尼龙拉扣,碰撞时它们也会连成一体。

53b9e933eb3654d0141d9f2a5ca4ae79.png
3.原来连在一起的两个物体,由于相互之间具有排斥的力而分开,这也可视为一种碰撞。这种情况可以通过下面的方式实现。
在两个滑块间放置轻质弹簧,挤压两个滑块使弹簧压缩,并用一根细线将两个滑块固定。烧断细线,弹簧弹开后落下,两个滑块由静止向相反方向运动。

d78dbe458653b19ae340226f7a204b4e.png
参考案例一中的几种情况(视频演示)
两个滑块质量相等
一个运动滑块撞击静止滑块,(mAv+mB·0=mA·0+mBv)两者交换速度,总动量不变。

0eae2e26de84df75605b0809c7c30cd5.png
两个静止滑块被弹簧片弹开,一个向左,一个向右,总动量依然为零。(0=mAv-mBv)

0eae2e26de84df75605b0809c7c30cd5.png
一个运动滑块撞击静止滑块,撞后两者粘在一起,总动量不变。mAv=(mA+mB)v

0eae2e26de84df75605b0809c7c30cd5.png
实验结论:
1.如果物体碰撞后的速度方向与原来的方向相反,应该怎样记录?
在实验前规定正方向,若物体运动方向于规定正方向相反,则记录为负值。
2.以上各种情况中,碰撞前后物体的动能之和有什么变化?设法检验你的猜想。
测量2个滑块的质量,碰撞前的速度和碰撞后的速度,通过计算,可比较出碰撞前后物体的动能之和的变化。
实验的第一种情况:动能之和不变
实验的第二种情况:动能之和减小
实验的第三种情况:动能之和增大
课堂练习1、某同学欲采用课本上介绍的气垫导轨和光电计时器等器材进行“验证动量守恒定律”的实验。实验装置如图所示,下面是实验的主要步骤:

d3cdab4370872ea083f63731ad768918.png
①安装好气垫导轨和光电门,调节气垫导轨的调节旋钮,使导轨水平
②测得A和B两滑块上遮光片的宽度均为d
③到得A、B两滑块的质量(包含遮光片)m1、m2
④向气垫导轨通入压缩空气
⑤利用气垫导轨左右的弹射装置,使滑块A、B分别向右和向左运动,测出滑块A、B在碰撞前经过光电门过程中挡光时间分别为Δt1和Δt2
⑥观察发现滑块A、B碰撞后通过粘胶粘合在一起,运动方向与滑块B碰撞前运动方向相同,此后滑块A再次经过光电门时挡光时间为Δt
试解答下列问题:
(1)碰撞前A滑块的速度大小为,碰撞前B滑块的速度大小为。
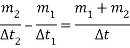
(2)为了验证碰撞中动量守恒,需要验证的关系式是(用题中物理量表示)。
(3)有同学认为利用此实验装置还能计算碰撞过程中损失的机械能。请用上述实验过程测出的相关物理量,表示出A、B系统在碰撞过程中损失的机械能ΔE=。
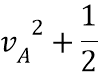
解析: (1)碰撞前A滑块的速度大小为vA=
b51e5edb2f6715615ab2473884c442f0.png ,碰撞前B滑块的速度大小为vB=
31ace1be693bf406b1b840508c51aebc.png ;
(2)为了验证碰撞中动量守恒,需要验证的关系式mBvB-mAvA=(mB+mA)v,其中碰后的共同速度v=,代入可得:
d83d4b7fad130c89dbea149e60bcef05.png ;
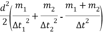
(3)A、B系统在碰撞过程中损失的机械能ΔE=mA
e2de1cb6a2eef1c32b3a8bc2058815ab.png mB
f9cab6296e8ea26871c7365cacae5312.png (mA+mB)v2代入可得:ΔE=
327d97f1fba88bce4f17cb8c1c4d6220.png
方案二:用平抛演示仪装置验证动量守恒定律
一、实验装置

932014ba890cabeae7812e5375908228.png
二、实验原理
测出小球落点的水平距离可根据平抛运动的规律计算出小球的水平初速度。本实验设计思想巧妙之处在于用长度测量代替速度测量。

cfa1ae2d4b5978a861c02f5071423c91.png
1. 两小球在水平方向发生正碰,水平方向合外力为零,动量守恒;
<Object: word/embeddings/oleObject1.bin>
2. 本实验在误差允许的范围内验证上式成立。两小球碰撞后均作平抛运动,用水平射程间接表示小球平抛的初速度:

bacad4ef5a70cd4682e39da19c4be819.png
验证的表达式:mA·OP=mA·OM+mB·ON
需测量的物理量:
   1.用天平测两球质量mA、mB
   2.用米尺测量水平射程:OP、OM、ON
三、实验步骤
1. 先用天平称量出两个小球的质量mA、mB。
2. 安装好实验装置,注意使实验器的斜槽末端点的切线水平。
3. 在地上铺一张白纸,白纸上铺放复写纸。
4. 在白纸上记下重垂线所指的位置 O,它表示入射小球 mA碰撞前球心的竖直投影位置。

532e20e752e82ccad7738868fce645c5.png
5. 先不放被碰小球,让入射小球从斜槽上同一位置处静止滚下,重复 10 次,用圆规画尽可能小的圆把所有的小球落点圈在里面,圆心就是入射小球不碰撞时的落地点。

c968d4e1988149b7f42f2c9ac9a905b7.png
6. 把被碰小球放在斜槽轨道末端,让入射小球从同一位置静止滚下,使它们发生正碰,重复 10 次,同理求出入射小球落点的平均位置 M 和被碰小球落点的平均位置N。
7. 用刻度尺测出线段 OM、OP、ON 的长度,把两小球的质量和相应的水平位移数值代入m1OP=m1OM+m2ON,看等式是否成立。
四、分组完成实验操作,并总结实验中的注意事项
五、注意事项:
1.斜槽末端要切线要水平;
2.每次小球下滑要从同一位置处由静止释放;
3.要保证对心碰撞,两球必须大小相等;
课堂练习2、某同学设计如图甲所示的装置,通过半径相同的 A、B 两球碰撞来探究碰撞过程中的不变量。
(1)碰撞后 B 球的水平射程是cm。

50f9a03153443856a1a2c5a7afee7fc1.png
(2)(多选)在以下四个选项中,本次实验必须进行的测量是(            )
A. 水平槽上未放 B 球时,A 球落点位置到 O 点的距离
B. A 球与 B 球碰撞后,A、B 两球落点位置到 O 点的距离
C. A、B 两球的质量
D. G 点相对于水平槽面的高度
答案:65.0  ABC
思考讨论:如何用单摆验证动量守恒定律

3f89da482e6f12304380a4ce899c7591.png
了解一维碰撞的情景。
思考在实验中可能遇到的碰撞的可能,并分析碰撞中滑块动量的变化。
分析滑块的动量变化情况。
思考问题。
完成课堂练习。
利用平抛运动验证动量守恒定律。
总结实验步骤,完成实验操作,验证动量守恒定律。
通过实验操作总结注意事项。
完成课堂练习。
为下一步更好的完成实验操作奠定基础。
让学生更好的区别弹性碰撞和非弹性碰撞。
引导学生思考问题,总结实验结论。
通过完成练习,更好的理解实验原理。
引导学生分析利用平抛运动验证动量守恒定律的原理。
总结实验步骤,完成实验操作,验证动量守恒定律。
通过实验操作总结注意事项。
让学生更好的掌握实验原理和实验中需要注意的事项。
拓展提高
1、如图所示,用碰撞实验器可以验证动量守恒定律,即研究两个小球在轨道水平部分碰撞前后的动量关系.
(1)实验中,直接测量小球碰撞前后的速度是不容易的,但是,可以通过仅测量______(填选项前的符号),间接地解决这个问题.
A.小球开始释放高度h
B.小球抛出点距地面的高度H
C.小球做平抛运动的射程

b11a50aaf2ae11bcabadc2228522b477.png
(2)图中O点是小球抛出点在地面上的垂直投影,实验时先让入射球m1多次从斜轨上Q位置静止释放,找到其平均落地点的位置P,测量平抛射程OP,然后,把被碰小球m2静置于轨道的水平部分,再将入射球m1从斜轨上Q位置静止释放,与小球m2相碰,并多次重复.接下来要完成的必要步骤是________.(填选项前的符号)
A.用天平测量两个小球的质量m1、m2
B.测量小球m1开始释放的高度h
C.测量抛出点距地面的高度H
D.分别找到小球m1、小球m2相碰后平均落地点的位置M、N
E.测量平抛射程OM、ON
【答案】:(1)C (2)ADE
【解析】: (1)小球碰前和碰后的速度都用平抛运动来测量,每次竖直高度相等,平抛时间相等。则可得m1·OP=m1·OM+m2·ON,故只需测射程,C项正确.
(2)由表达式知,在OP已知时,需测量m1、m2、OM和ON,故必要步骤为A、D、E.
2、某同学用如图甲所示装置来验证动量守恒定律,实验时先让小球a从斜槽轨道上某固定点处由静止开始滚下,在水平地面上的记录纸上留下痕迹,重复10次;然后再把小球b静置在斜槽轨道末端,让小球a仍从原固定点由静止开始滚下,和小球b相碰后,两球分别落在记录纸的不同位置处,重复10次.回答下列问题:

abe631e706e69dd175eec98129fd93d0.png
(1)在安装实验器材时斜槽的末端应      ________________________.
(2)小球a、b质量ma、mb的大小关系应满足ma________mb,两球的半径应满足ra________rb.(均选填“>”“<”或“=”)
(3)本实验中小球平均落地点的位置距O点的距离如图乙所示,小球a、b碰后的平均落地点依次是图乙中的________点和________点.
(4)在本实验中,验证动量守恒的式子是下列选项中的________.
A.ma·OC=ma·OA+mb·OB
B.ma·OB=ma·OA+mb·OC
C.ma·OA=ma·OB+mb·OC
【答案】:(1)保持水平 (2) > =   (3)A,C   (4)  B
【解析】:(1)小球离开轨道后应做平抛运动,所以在安装实验器材时斜槽的末端必须保持水平,才能使小球做平抛运动.
(2)为防止在碰撞过程中入射小球被反弹,入射小球a的质量ma应该大于被碰小球b的质量mb.为保证两个小球的碰撞是对心碰撞,两个小球的半径应相等.
(3)由题图甲所示装置可知,小球a和小球b相碰后,根据动量守恒和能量守恒可知小球b的速度大于小球a的速度.由此可判断碰后小球a、b的落点位置分别为A点、C点.
完成拓展提高练习题。
通过完成练习,巩固基础知识。
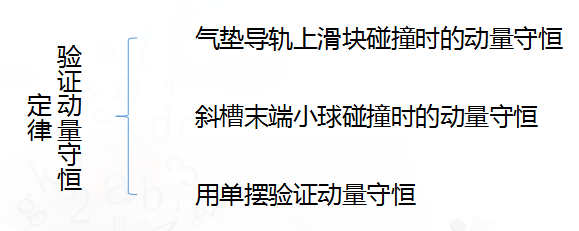
课堂小结
一、气垫导轨上滑块碰撞时的动量守恒
二、斜槽末端小球碰撞时的动量守恒
三、用单摆验证动量守恒
总结本节课所学基础知识内容。
帮助学生梳理基础知识,构建知识框架。
板书

45e684f5de2fc290a5685b0566f014d0.png
您需要登录后才可以回帖 登录 | 立即注册

本版积分规则

Archiver|手机版|小黑屋|5432教案网 ( 蜀ICP备2022024372号-1 |川公网安备51152402000101号 )|网站地图

GMT+8, 2026-4-8 17:53 , Processed in 0.739301 second(s), 32 queries .

Powered by Discuz! X3.5

© 2001-2026 Discuz! Team.

快速回复 返回顶部 返回列表