找回密码
 立即注册
搜索
查看: 1|回复: 0

(选必1)第1章第3节动量守恒定律(教案2)

[复制链接]

2万

主题

224

回帖

14万

积分

管理员

积分
141330
发表于 6 小时前 | 显示全部楼层 |阅读模式
人教版高中物理选择性必修1第1章第3节动量守恒定律教学设计
课题
动量守恒定律
单元
1
学科
物理
年级
高二
教材分析
动量守恒定律既适用于宏观世界,也适用于微观世界;既适用于低速运动,又适用于高速运动。它是适用范围比牛顿运动定律更广的一-条普遍规律。本节根据牛顿第三定律和动量定理推导得出:不受外力(或所受合外力为0)的系统,在系统内部相互作用的过程中,系统的总动量于恒。建立在牛顿第三定律及动量定理基础上的理论推导和本章第1节的实验探究相结合,有利于帮助学生更好地理解动量守恒定律,深化对物体之间相互作用规律的理解。动量守恒定律既是本章的核心内容,也是整个高中物理的重点内容。
本节的教学重点是理解动量守恒定律的内容和适用条件,掌握运用动量守恒定律解决问题的步骤,并能应用动量守恒定律解决相关的问题。
教学目标与核心素养
教学目标:
(1)能运用动量定理和牛顿第三定律分析碰撞现象中的动量变化。
(2) 在了解系统、内力和外力的基础上,理解动量守恒定律。
(3)能够运用动量守恒定律分析生产生活中的有关现象。
(4)了解动量守恒定律的普遍适用性和牛顿运动定律适用范围的局限性。
核心素养:
物理观念:通过学习理解系统、内力、外力的概念。
科学思维:通过理论推导掌握动量守恒定律的确切含义和表达式,知道动量守恒定律的适用条件。
科学探究:通过实例分析,了解动量守恒定律的普遍适用性,会初步利用动量守恒定律解决实际问题。
科学态度与价值观:通过对动量守恒定律的推导和应用,培养学生认真探究、刻苦专研的科学精神。
重点
通过理论推导掌握动量守恒定律的确切含义和表达式,知道动量守恒定律的适用条件。
难点
通过实例分析,了解动量守恒定律的普遍适用性,会初步利用动量守恒定律解决实际问题。
教学过程
教学环节
教师活动
学生活动
设计意图
导入新课
第一节中我们通过分析一辆运动的小车碰撞一辆静止的小车,得出碰撞前后两小车的动量之和不变的结论。对于冰壶等物体的碰撞也是这样的吗?怎样证明这一结论呢?这是一个普遍的规律吗?

52a460a59fa48aae84c2ba0a64fa8e09.png
思考问题,讨论如何证明碰撞中的普遍规律。

提出问题,引出新课。
讲授新课
一、系统 内力和外力

d99b6786cb0ebbbfe1daa4a54b200a58.png
1.系统:有相互作用的两个(或两个以上)物体构成一个系统
2.内力:系统中相互作用的各物体之间的相互作用力
3.外力:外部其他物体对系统的作用力
思考:
(1) 碰撞过程中两个小球受力情况如何?
(2)写出两小球速度的变化量,动量的变化量及各自的冲量;
(3)结合牛顿运动定律和动量定理,请你推导出一个最终的表达式。
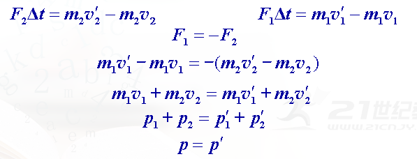
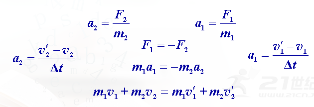
二、动量守恒定律——理论推导1:牛顿运动定律

cba075933886a1da128a988ccd940b22.png

89f48e3bf0fc1e62b2e624d89e93f09b.png
二、动量守恒定律——理论推导2:动量定理

27dba0607df3b182d54d7282ec10bf56.png

a9a249b6fc3490597c86edaaf78c31a0.png
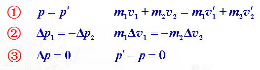
三、动量守恒定律
1、内容:如果一个系统不受外力,或者所受外力的矢量和为0,这个系统的总动量保持不变。这就是动量守恒定律。
2、表达式

ab0fea045d33ee62ae12ae163d960fd0.png
3、适用条件
(1)系统不受外力;(理想条件)
(2)系统受到外力,但外力的合力为零;(实际条件)
(3)系统所受外力合力不为零,但系统内力远大于外力,外力相对来说可以忽略不计,因而系统动量近似守恒;(近似条件)
(4)系统总的来看虽不符合以上三条中的任何一条,但在某一方向上符合以上三条中的某一条,则系统在这一方向上动量守恒.(单向条件)
思考
A、B 两辆小车之间连接一根被压缩了的弹簧后用细线栓住,现烧断细线。
若地面光滑,则烧断细线后,系统动量是否守恒?

41abaa3f25cf6f1de3d735c31254ece5.png
注意
1.确定研究对象 (系统),区分内力和外力.从而判断所选择的系统动量是否守恒。
2.在系统总动量一定(守恒)的情况下,系统中每个物体的动量可以发生很大的变化。
应用动量守恒定律的注意点
(1)系统性:动量守恒定律是对一个系统而言的,具有系统的整体性,而对物体系统的一部分,动量守恒定律不一定适用。
(2)矢量性:选取正方向,与正方向同向的为正,与正方向反向的为负,方向未知的,设与正方向同向,结果为正时,方向即于正方向相同,否则,与正方向相反。
(3)瞬(同)时性:   动量是一个瞬时量,动量守恒是指系统任意时刻动量守恒。方程左边是作用前某一时刻各物体的动量的和,方程右边是作用后某时刻系统各物体动量的和。不是同一时刻的动量不能相加。
(4)相对性:由于动量的大小与参照系的选择有关,因此在应用动量守恒定律时,应注意各物体的速度必须是相对同一参照物的。
(5)普适性:是一个独立的实验规律,它适用于目前为止物理学研究的一切领域。
例题1:在列车编组站里,一辆  m1 = 1.8×104 kg 的货车在平直轨道上以 v1 = 2 m/s 的速度运动,碰上一辆  m2 = 2.2×104  kg  的静止货车,它们碰撞后结合在一起继续运动,求货车碰撞后的运动速度。

333291b0e8583ee65583e1d0e30aaca2.png
①本题中相互作用的系统是什么?
②分析系统受到哪几个外力的作用?是否符合动量守恒的条件?
③ 本题中研究的是哪一个过程?该过程的初状态和末状态分别是什么?
解析:沿碰撞前货车运动的方向建立坐标轴,有v1 = 2 m/s,设两车结合后的速度为v 。
两车碰撞前的总动量为:<Object: word/embeddings/oleObject1.bin>
两车碰撞后的总动量为:<Object: word/embeddings/oleObject2.bin>
由动量守恒定律可得:<Object: word/embeddings/oleObject3.bin>
所以<Object: word/embeddings/oleObject4.bin>,代入数据得v=0.9m/s。
例题2:一枚在空中飞行的火箭,质量为m,在某点的速度为v,方向水平,燃料即将耗尽。火箭在该点突然炸裂成两块,其中质量为m1的一块沿着与v相反的方向飞去,速度为v1 。求炸裂后另一块的速度v2 。

220a8a04a17b714dafe0a1d4c9cfd1c1.png
火箭炸裂前的总动量为<Object: word/embeddings/oleObject5.bin>
炸裂后的总动量为<Object: word/embeddings/oleObject6.bin>
根据动量守恒定律可得:<Object: word/embeddings/oleObject7.bin>
解出<Object: word/embeddings/oleObject8.bin>。
若m=10kg,m1=4kg;v的大小为900m/s,v1的大小为300m/s,则v2的大小为多少?
代入数据解得v2=1700m/s
应用动量守恒定律解题的基本步骤和方法
⑴分析题意,确定研究对象;
⑵分析作为研究对象的系统内各物体的受力情况,分清内力与外力,确定系统动量是否守恒;
⑶在确认动量守恒的前提下,确定所研究的相互作用过程的始末状态,规定正方向,确定始、末状态的动量值的表达式;
⑷列动量守恒方程;
⑸求解,如果求得的是矢量,要注意它的正负,以确定它的方向.
课堂练习1、两个磁性很强的磁铁,分别固定在甲、乙两辆小车上,甲车的总质量为4kg,乙车的总质量为2kg。甲、乙两辆小车放在光滑的水平面上,它们相向运动,甲车的速度是5m/s,方向水平向右;乙车的速度是3m/s,方向水平向左。由于两车上同性磁极的相互排斥,某时刻乙车向右以8m/s的水平速度运动,求此时甲车的速度?

16707e79135372af8c0c5051800309f2.png
以水平向右方向为正方向
v1=5m/s, v2=-3m/s, v2´=8m/s
根据动量守恒定律:
m1v1+m2v2= m1v1´ +m2v2´
解得:v1 ´ =-0.5m/s
负号表示甲车的速度方向水平向左
课堂练习 2、一辆平板车停止在光滑水平面上,车上一人用大锤敲打车的左端,如下图所示,在锤的连续敲打下,这辆平板车将(        )
A、左右来回运动
B、向左运动
C、向右运动
D、静止不动
解析:对人、铁锤和平板车组成的系统,系统外力之和为0,系统总动量守恒。
当锤头打下去时,锤头向右运动,车就向左运动;
举起锤头,锤头向左运动,车就向右运动;
连续敲击时,车就左右运动;  一旦锤头不动,车就会停下。
答案:A
动量守恒定律的普适性
1、动量守恒定律只涉及过程始末两个状态,与过程中力的细节无关。
2、动量守恒定律不仅适用于宏观、低速问题,而且适用于高速、微观的问题。
3、动量守恒定律是一个独立的实验规律,它适用于目前为止物理学研究的一切领域。
思考讨论:如图所示,一个质量是0.2kg的钢球,以2m/s的速度斜射到坚硬的大理石板上,入射的角度是45°,碰撞后被斜着弹出,弹出的角度也是45°,速度仍为2m/s。请你用作图的方法求出钢球动量变化的大小和方向。

83d2388f2a19fe31edaf479d2a5566ad.png
p'=mv‘=0.2×2=0.4kg·m/s
p=mv=0.2×2=0.4kg·m/s
<Object: word/embeddings/oleObject9.bin>
通过明确碰碰撞情景,明确系统、内力、外力的概念。
思考讨论碰撞过程中的受力情况。
分别用动量定理和牛顿第二定律总结推导。
简述动量守恒定律的内容。
利用动量守恒定律思考问题。
学习掌握动量守恒的特点。
完成课本例题。
通过例题,总结利用动量守恒定律解决实际问题的方法和步骤。
完成课堂练习。
进一步思考讨论问题。
引出系统、内力和外力的概念,为下一步学习动量守恒定律的推导做铺垫。
通过提出问题,引导学生思考讨论,进而推导出动量守恒定律的表达式。
学生总结出动量守恒定律的内容,明确动量守恒定律的适用条件。
提出思考题,让学生学以致用,利用新知识解决实际问题。
通过课本例题,总结动量守恒定律的应用方法。
通过课堂练习,巩固基础知识。
通过思考与讨论,明确动量守恒定律的矢量性。
拓展提高
1、车厢长度为l,质量为m1,静止于光滑的水平面上。车厢内有一质量为m2的物体以初速度v0向右运动,与车厢来回碰撞n次后静止于车厢内,这时车厢的速度为(               )
A.v0,水平向右
B.0
C.m2v0/(m1+m2)
D.m2v0/ (m1-m2)

7e6a0ae16feec4e991696954ee7fe7f1.png
答案:C
2、把一支枪水平固定在小车上,小车放在光滑的水平地面上,枪发射出子弹时,关于枪、子弹和小车的下列说法中正确的是(       )
A.枪和子弹组成的系统动量守恒
B.枪和小车组成的系统动量守恒
C.若忽略不计子弹和枪筒间的摩擦,枪、小车和子弹组成的系统动量才近似守恒
D.枪、子弹和小车组成的系统动量守恒
答案:D
3、一辆装有沙子总质量为M的车厢,正以速度v在光滑的水平轨道上前进,车厢底部中间不断地由沙子漏出,问在漏沙子过程中,车厢的速度任何变化?
解析:以漏出的沙子与车厢为相互作用的系统,设漏出的沙子质量为m,在水平方向上不受外力,漏出的沙子与车厢原来具有相同的水平速度v。
由动量守恒定律:Mv=mv+(M-m) v′.      
所以:v′=v,即车厢的速度不变。
完成拓展提高练习题。
通过完成练习,巩固基础知识。
课堂小结
  • 动量守恒定律的推导
  • 动量守恒定律表达式
  • 动量守恒定律的应用
总结本节课所学知识。
帮助学生梳理基础知识,构建知识框架。
板书

3324cff4570be02dd81942cad77018b9.png
您需要登录后才可以回帖 登录 | 立即注册

本版积分规则

Archiver|手机版|小黑屋|5432教案网 ( 蜀ICP备2022024372号-1 |川公网安备51152402000101号 )|网站地图

GMT+8, 2026-4-8 16:19 , Processed in 1.848791 second(s), 36 queries .

Powered by Discuz! X3.5

© 2001-2026 Discuz! Team.

快速回复 返回顶部 返回列表