找回密码
 立即注册
搜索
查看: 1|回复: 0

(必修2)8.5实验:验证机械能守恒定律(原稿版)(导学案1)

[复制链接]

2万

主题

224

回帖

14万

积分

管理员

积分
140701
发表于 8 小时前 | 显示全部楼层 |阅读模式
8.5实验:验证机械能守恒定律
【学习目标】
  • 1.理解实验的设计思路,明确实验中需要测量的物理量。
  • 2.知道实验中选取测量点的有关要求,会根据实验中打出的纸带测定物体下落的距离,掌握测量物体运动的瞬时速度的方法。
  • 3.能正确进行实验操作,能够根据实验数据的分析中得出实验结论。
  • 4.能定性地分析产生实验误差的原因,并会采取相应的措施减小实验误差
  • 【知识要点】
一、实验原理
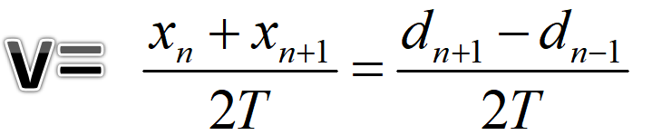
1.做自由落体运动的物体,设质量为m,下落高度为h时的速度为v,则减少的重力势能为mgh,增加的动能为mv2/2。若两个量在误差范围内相等,就验证了机械能守恒定律。
2.测定第n点的瞬时速度的方法是:物体做匀变速直线运动的纸带上某点的瞬时速度,等于这点前后相邻两点间的平均速度。
3.如图所示为实验中得到的纸带,各段距离的测量数据在图中标出,设相邻计数点间的时间为T,则纸带上n点的瞬时速度的计算表达式为:
                           
552834b17be9c4f8273fc7548897061c.png

bff543f48f33b4bb34ad65ff1d930687.png
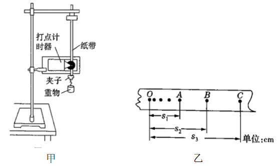
、实验器材
铁架台(带铁夹)、电火花计时器、重物(带夹子)、纸带、复写纸、导线、毫米刻度尺、低压交流电源(4 V~6 V).

82a48f6c947d33d0653f99b214a35379.png
  • 实验步骤
  • 1.按照实验装置图,先将打点计时器竖直的固定在铁架台上,用导线把打点计时器与学生电源连接好。
  • 2.把纸带的一端在重锤上用夹子固定好,另一端穿过打点计时器两个限位孔,用手竖直提起纸带,使重锤停靠在打点计时器附近。
  • 3.先接通电源打点,后释放纸带,让重物自由落下,纸带上打下一系列点。
  • 4.换上新纸带,重复实验几次。得到3-5条打好点的纸带。
  • 5.在打好的纸带中挑选第一、二两点间距接近2mm,且点迹清晰的一条纸带。在起始点标上0,并在纸带上清晰的点开始连续选取几个计数点标为1、2、3、4,并用刻度尺测量出各点到0点的距离为对应下落的高度h1、h2、h3、h4。如图所示。

、数据处理
2.机械能守恒验证:方法一:利用起始点和第n点.
方法二:任取两点AB.
方法三:图像法.

  • 五、注意事项
  • 1.选用质量和密度较大的重物,减小阻力对实验的影响。
  • 2.打点计时器安装时,必须使两个限位孔在同一竖直线上,从而减小纸带下落时受到的阻力。
  • 3.实验时,需保持提纸带的手不动,待接通电源、让打点计时器工作正常后才释放纸带让重锤下落,以保证第一个点是一个清晰的点。
  • 4.应挑选第一点和第二点的间距接近2毫米,点迹清晰的纸带,进行实验测量。
  • 5.测量下落高度时,必须从打出的第1个点算起,为了减小测量高度h时的相对误差,选取的各个计数点要离起始点尽量远一些。
  • 6.因不需要知道动能和重力势能的具体数值,所以不需要测量重锤的质量
  • 六、误差分析:
  • 1.测量长度时会存在偶然误差,所以测量长度时要多测几次,取其平均值即可减小此误差。
  • 2.由于本实验中纸带与打点计时器振针、纸带与限位孔的摩擦和空气阻力的影响,而存在系统误差。它使增加的动能总小于减少的重力势能。要减少此误差,应采用增加重锤的质量的办法,因为当重锤的重力远大于阻力时,可忽略阻力的影响。
  • 3.为了减小相对误差,选取的计数点最好离第一点远一些。
  • 4.若第一、第二两点的间距小于2mm,则这两点的时间间隔不到0.02s或阻力过大。若第一、第二两点的间距大于2mm,则第一点的速度不为零。
  • 【题型分类】
题型一、实验操作及步骤
【例1】如图所示,打点计时器固定在铁架台上,使重物带动纸带从静止开始自由下落,利用此装置验证机械能守恒定律。

8e9bd5177a2727e190bb6cac3ce55deb.png
(1)某实验小组利用上述装置将打点计时器接到50Hz的交流电源上,按正确操作得到了一条完整的纸带,由于纸带较长,图中有部分未画出,如图所示。纸带上各点是打点计时器打出的计时点,其中O点为纸带上打出的第一个点。重物下落高度应从纸带上计时点间的距离直接测出,利用下列测量值能完成验证机械能守恒定律的选项有________。

5e7c3bcb446b3791bba3990ff37d23ec.png
A.OA、AD和EG的长度        B.OC、BC和CD的长度
C.BD、CF和EG的长度        D.AC、BD和EG的长度
(2)对于该实验,下列操作中对减小实验误差有利的是    。
A.重物选用质量和密度较大的金属锤
B.两限位孔在同一竖直面内上下对正
C.精确测量出重物的质量
D.用手托稳重物,接通电源后,释放重物
【同类练习】
1.用如图甲所示的装置验证机械能守恒定律,若按正确的实验步骤进行,并选出如图乙所示的纸带,回答下列问题:

cbb5feb87ff2b48e8da4b50e99506735.png
(1)纸带的__________(选填“左”或“右”)端与重物相连。
(2)下面列举了该实验的几个操作步骤(示意图如图甲所示):
A.按照图示的装置安装器件;
B.将打点计时器接到电源的交流输出端上;
C.用天平测量出重物的质量;
D.释放悬挂纸带的夹子,同时接通电源开关打出一条纸带;
E.测量纸带上打出的某些点之间的距离;
F.根据测量的结果计算重物下落过程中减少的重力势能是否等于增加的动能。
指出其中没有必要进行的和操作不恰当的步骤,将其选项对应的字母填在下面的横线上,并改正不恰当的步骤:没有必要进行的步骤是_______,理由是__________________________,操作不恰当的步骤是______,改正为_____________________________________________。
题型数据分析
【例2在用落体法验证机械能守恒定律的实验中:
(1)所用重物质量m=1.0 kg,打点计时器所用电源频率为50 Hz,打下的纸带如图所示(图中的数据为从起始点O到该点的距离),则在打B点时,重物的速度vB=________ m/s,重物的动能EkB=________ J,从开始下落到打B点时,重物的重力势能减少量是________ J(g取9.8 m/s2,结果保留两位有效数字).

abc8f0c4ac987fba688a5c50ff31e39a.png
(2)根据纸带算出各点的速度v,量出下落距离h,则以v2为纵轴,以h为横轴,画出的图线应是下图中的(___)

8a4f305929b4359b4945beec54744bec.png
题型创新题型
【例3如图所示的装置可用来验证机械能守恒定律,摆锤A拴在长为L的轻绳一端,轻绳另一端固定在O点,在A上放一个质量很小的小铁块,现将摆锤拉起,使绳与竖直方向成θ角,由静止开始释放摆锤,当其到达最低位置时,受到竖直挡板P的阻挡而停止运动,之后铁块将飞离摆锤做平抛运动.

bb99a67960bb0ecd134570168787da7a.png
(1)为了验证摆锤在运动过程中机械能守恒,必须求出摆锤在最低点的速度.为了求出这一速度,还应测量的物理量有__________.
(2)用测得的物理量表示摆锤在最低点的速度v=__________.
(3)用已知的和测得的物理量表示摆锤在运动过程中机械能守恒的关系式为______.
【成果巩固训练】
1.利用图甲装置做“验证机械能守恒定律”实验。

15a705f5c4e2e9f76d7e29ec6347d4ad.png
(1)为验证机械能是否守恒,需要比较重物下落过程中任意两点间的________。
A.动能变化量与势能变化量      B.速度变化量和势能变化量
C.速度变化量和高度变化量
(2)除带夹子的重物、纸带、铁架台(含铁夹)、电磁打点计时器、导线及开关外,在下列器材中,还必须使用的两种器材是________。
A.交流电源   B.刻度尺   C.天平(含砝码)
(3)实验中,先接通电源,再释放重物,得到图乙所示的一条纸带。在纸带上选取三个连续打出的点ABC,测得它们到起始点O的距离分别为hAhBhC。已知当地重力加速度为g,打点计时器打点的周期为T。设重物的质量为m。从打O点到打B点的过程中,重物的重力势能变化量ΔEp=____________,动能变化量ΔEk=__________。

a3a3cd61e788577c2f3f5ce3b0e80596.png
(4)大多数学生的实验结果显示,重力势能的减少量大于动能的增加量,原因是________。
A.利用公式vgt计算重物速度    B.利用公式v<Object: word/embeddings/oleObject1.bin>计算重物速度
C.存在空气阻力和摩擦阻力的影响    D.没有采用多次实验取平均值的方法
2.在图甲所示的光电计时器中,ab分别是光电门的激光发射和接收装置,当有物体从ab间通过时,光电计时器就可以显示物体的挡光时间。现利用图乙所示装置验证机械能守恒定律。图中PQ是固定的光滑斜面,斜面的倾角为<Object: word/embeddings/oleObject2.bin>,1和2是固定在斜面上适当位置的两个光电门,与它们连接的光电计时器都没有画出。让滑块从斜面的顶端滑下,光电门12各自连接的光电计时器显示的挡光时间分别为<Object: word/embeddings/oleObject3.bin><Object: word/embeddings/oleObject4.bin>。已知滑块质量为<Object: word/embeddings/oleObject5.bin>,滑块沿斜面方向的宽度为<Object: word/embeddings/oleObject6.bin>,光电门1和2之间的距离为<Object: word/embeddings/oleObject7.bin>g<Object: word/embeddings/oleObject8.bin>,设滑块经过光电门的速度为其平均速度。
(1)滑块通过光电门1时的速度<Object: word/embeddings/oleObject9.bin>_________<Object: word/embeddings/oleObject10.bin>,通过光电门2时的<Object: word/embeddings/oleObject11.bin>_________<Object: word/embeddings/oleObject12.bin>
(2)滑块通过光电门1、2之间的动能增加量为__________J,重力势能的减少量为________J.由此可得出的结论是______________________________。

61a89b8a9249d4b77715390abd56bcb4.png
3.利用如图所示装置进行“验证机械能守恒定律”的实验时,需要测量重物由静止开始自由下落到某点时的瞬时速度ν和下落高度h,某班同学利用实验得到的纸带设计了以下四种测量方案。

bbca93e959540e1fd8a01a50cdbd0d0b.png
A.用刻度尺测出重物下落高度h,并测出下落时间t,通过<Object: word/embeddings/oleObject13.bin>计算出瞬时速度ν
B.用刻度尺测出重物下落的高度h,并通过<Object: word/embeddings/oleObject14.bin>计算出瞬时速度v
C.根据做匀变速直线运动时纸带时器纸带上某点的瞬时速度等于这点前后相邻两点间的平均速度,测算出瞬时速度v,并通过<Object: word/embeddings/oleObject15.bin>计算出高度h
D.用刻度尺测出重物下落的高度图h,根据做匀变速直线运动时纸带上某点的瞬时速度等于这点前后相邻两点间的平均速度,测算出瞬时速度ν
(1)以上方案中只有一种最合理,最合理的是_________。(填入上述方案相应的字母)
(2)要使该实验误差尽量小,下列注意点正确的是_________。(填入相应的字母)
A.使重物的质量越大越好,但悬挂时不能拉断纸带
B.选用电火花计时器比电磁打点计时器更好,可减小阻力的影响
C.测长度时保持纸带悬挂状态,刻度尺的读数更准确
D.纸带越长越好
4.在用落体法验证机械能守恒定律的实验中:
(1)所用重物质量m=1.0 kg,打点计时器所用电源频率为50 Hz,打下的纸带如图所示(图中的数据为从起始点O到该点的距离),则在打B点时,重物的速度vB=________ m/s,重物的动能EkB=________ J,从开始下落到打B点时,重物的重力势能减少量是________ J(g取9.8 m/s2,结果保留两位有效数字).

abc8f0c4ac987fba688a5c50ff31e39a.png
(2)根据纸带算出各点的速度v,量出下落距离h,则以v2为纵轴,以h为横轴,画出的图线应是下图中的(___)

8a4f305929b4359b4945beec54744bec.png

您需要登录后才可以回帖 登录 | 立即注册

本版积分规则

Archiver|手机版|小黑屋|5432教案网 ( 蜀ICP备2022024372号-1 |川公网安备51152402000101号 )|网站地图

GMT+8, 2026-4-7 19:26 , Processed in 0.747361 second(s), 32 queries .

Powered by Discuz! X3.5

© 2001-2026 Discuz! Team.

快速回复 返回顶部 返回列表