找回密码
 立即注册
搜索
查看: 1|回复: 0

(必修2)《4 生活中的圆周运动》集体备课.doc(教案3)

[复制链接]

2万

主题

224

回帖

14万

积分

管理员

积分
140701
发表于 9 小时前 | 显示全部楼层 |阅读模式
4.生活中的圆周运动

a1ad95b519cbbe5a4534b95830e68f93.png
1.巩固向心力和向心加速度的知识。
2.会在具体问题中分析向心力的来源。
3.会利用牛顿第二定律解决生活中比较简单的圆周运动问题。

d5cfac21aca9349c2acba02a4084fa16.png
1.火车转弯
2汽车过拱形桥

1363afc0cc4887dea2da3333661c3b4d.png
3航天器中的失重现象
4离心运动
判一判
(1)铁轨弯道处外高内低,是为了方便火车转弯。(  )
(2)若弯道处重力与支持力的合力恰好提供火车做圆周运动的向心力,则火车处于平衡状态。(  )
(3)水平路面上,车辆转弯时,静摩擦力提供向心力。(  )
提示:(1) 铁轨外高内低使火车受到的重力与支持力的合力指向圆心,为火车提供向心力。
(2)× 火车做圆周运动,受力不平衡,并不处于平衡状态。
(3) 水平路面上,重力与支持力沿竖直方向,只能由静摩擦力提供向心力。
想一想
洗衣机脱水的原理是什么?
提示:洗衣机脱水时,由于高速转动,水滴需要较大的向心力才能与衣服一起做圆周运动。当转速足够大时,衣服已无法向水滴提供足够大的附着力(作为向心力),水滴便做离心运动,离开衣服,于是衣服被脱水。

52ac6118c4b73c8858c7189171d9c72c.png
课堂任务
171a0178e48b7f4c709157e5cb2ee3d3.png  火车转弯
仔细观察下列图片,认真参与师生互动

6f62238001e5952c01cb29a68f890a76.png

fcb896b5babc24c0a7ab36552abdb7fa.png
活动1:如图甲所示,如果铁路弯道的内外轨一样高,火车在转弯时的向心力由什么力提供?会导致怎样的后果?
提示:如果铁路弯道的内外轨一样高,火车在竖直方向所受重力与支持力平衡,其向心力由外侧车轮的轮缘挤压外轨,使外轨发生弹性形变,对轮缘产生的弹力来提供(如图甲);由于火车的质量太大,轮缘与外轨间的相互作用力太大,铁轨和车轮会极易受损。
活动2:实际上在铁路的弯道处外轨略高于内轨,试从向心力的来源分析这样做有怎样的优点?若火车的速度为v,轨道平面与水平面之间的夹角θ应满足什么样的关系,轨道才不受挤压?
活动3:讨论、交流、展示,得出结论。

7258e9359bbb16654836aaa54e3440f5.png
2速度与轨道压力的关系
(1)当火车行驶速度v等于规定速度v0时,所需向心力仅由重力和弹力的合力提供,此时火车对内外轨无挤压作用。
(2)当火车行驶速度v>v0时,火车对外轨有挤压作用。
(3)当火车行驶速度v<v0时,火车对内轨有挤压作用。
3注意事项
(1)合力的方向:因为火车转弯的圆周平面是水平面,不是斜面,所以火车的向心力即合力应沿水平面指向圆心,而不是沿轨道斜面向下。
(2)规定速度的唯一性:火车轨道转弯处的规定速率一旦确定则是唯一的,火车只有按规定的速率转弯,内外轨才不受火车的挤压作用。速率过大时,由重力、支持力及外轨对轮缘的挤压力的合力提供向心力;速率过小时,由重力、支持力及内轨对轮缘的挤压力的合力提供向心力。

f2c026a20e3a18368eda0967424946d7.png
例1 有一列质量为100 t的火车,以72 km/h的速率匀速通过一个内外轨一样高的弯道,轨道半径为400 m。(g取10 m/s2)
(1)试计算铁轨受到的侧压力大小;
(2)若要使火车以此速率通过弯道,且使铁轨受到的侧压力为零,我们可以适当倾斜路基,试计算路基倾斜角度θ的正切值。

ead093299ce5bfca616cc36d2ea23894.png (1)内外轨一样高火车靠什么提供向心力?
提示:外轨对轮缘的侧压力提供火车转弯所需要的向心力。
(2)要使铁轨受到的侧压力为零,需要满足什么条件?
提示:需要重力和铁轨对火车的支持力的合力提供火车转弯的向心力。

daead5f1739c7de180bfaee874d4ac83.png
[完美答案] (1)1×105 N (2)0.1

6c76b229721409cedddec219ea660a3d.png
火车转弯或汽车转弯问题实际都是水平面内的匀速圆周运动问题,解决此类问题的关键是分析清楚向心力的来源,然后利用合力提供向心力求解。


4c5c0e49590fc458c855ea776c91e742.png
A.路面外侧高、内侧低
B.车速只要低于v0,车辆便会向内侧滑动
C.车速虽然高于v0,但只要不超出某一最高限度,车辆便不会向外侧滑动
D.当路面结冰时,与未结冰时相比,v0的值变小
答案 AC
课堂任务
d55ebfb4a036f1143534f141b49bcfa0.png  汽车过拱形桥和航天器中的失重现象
仔细观察下列图片,认真参与师生互动

a2ff7acf4daa552273660489bb3766d0.png

fcb896b5babc24c0a7ab36552abdb7fa.png
活动1:如图甲、乙是汽车行驶中的两种情景,在拱形桥、凹形路面上如图所示的位置什么力给汽车提供向心力?汽车对桥面或路面的压力有什么特点?
提示:不管是拱形桥还是凹形路面在如图所示位置竖直方向都是受重力和支持力,它们的合力提供向心力。但是,拱形桥的圆心在下、凹形路面的圆心在上,也就是汽车过拱形桥最高点时向心力向下,过凹形路面最低点时向心力向上,则汽车过拱形桥时重力大于支持力,过凹形路面时重力小于支持力。所以汽车过拱形桥时对桥面的压力小于重力,过凹形路面时对路面的压力大于重力。

949646a78c5df24a4f1662b7824ce863.png
活动2:汽车在过拱形桥、凹形路面时有超重、失重现象吗?
提示:汽车过拱形桥最高点时,加速度向下,是失重;汽车过凹形路面最低点时,加速度向上,是超重。
活动3:如果汽车过拱形桥最高点时,支持力为零会出现什么情况?
提示:如果汽车的速度达到一定大小,支持力为零,处于完全失重状态,汽车将离开桥面做平抛运动,会有安全隐患。
活动4:讨论、交流、展示,得出结论。
1汽车过拱形桥
2汽车过凹形路面
3绕地球做圆周运动的卫星、飞船、空间站处于完全失重状态
航天器绕地球做匀速圆周运动,其重力提供绕地球运动的向心力,而其重力加速度也就成为向心加速度,这个加速度也是向下的,故处于完全失重状态。
以在近地轨道运行的航天器为例,其轨道半径近似等于地球半径R
(3)航天器内的任何物体都处于完全失重状态。

f2c026a20e3a18368eda0967424946d7.png
例2 如图所示,质量m=2.0×104 kg的汽车以不变的速率先后驶过凹形路面和凸形桥面,路面和桥面的圆弧半径均为20 m。如果路面和桥面允许承受的压力均不得超过3.0×105 N,则:

4705869e39f0159dc726a74b56155501.png
(1)汽车允许的最大速度是多少?
(2)若以所求速度行驶,汽车对路面和桥面的最小压力是多少?(g取10 m/s2)

ead093299ce5bfca616cc36d2ea23894.png (1)汽车过凹形路面和凸形桥面时做什么样的运动?
提示:汽车过凹形路面、凸形桥面时做竖直平面内的圆周运动。
(2)汽车过凹形路面和凸形桥面的向心力如何求解?
[规范解答] (1)汽车在凹形路面底部时,对路面压力最大。
由牛顿第三定律得,此时路面对车的支持力FN=3.0×105 N,
代入数据解得v=10 m/s。
(2)汽车在拱形桥面顶部时,对桥压力最小。
代入数据解得FN=1.0×105 N
由牛顿第三定律知压力等于1.0×105 N。
[完美答案] (1)10 m/s (2)1.0×105 N

6c76b229721409cedddec219ea660a3d.png
解决汽车过凹形路面和拱形桥的问题的一般步骤
对于汽车过凹形路面和拱形桥的问题,明确汽车的运动情况是解题的关键。具体的解题步骤是:
(1)选取研究对象,确定轨道平面、圆心位置和轨道半径。
(2)正确分析研究对象的受力情况,明确向心力的来源。
(3)根据平衡条件和牛顿运动定律列方程求解。

(1)轿车以10 m/s的速度通过桥面最高点时,对桥面的压力是多大?
(2)在最高点对桥面的压力等于零时,车的速度大小是多少?
答案 (1)1.78×104 N (2)30 m/s
解析 (1)轿车通过凸形桥面最高点时,竖直方向受力分析如图所示:

3fda02fd946513109a791060fd9c5f4e.png
由牛顿第二定律得
故桥面对车的支持力大小
根据牛顿第三定律,轿车在桥面最高点时对桥面压力的大小为1.78×104 N。
所以此时轿车的速度大小
课堂任务
c3bcdefef47c722afb3ecdb5f3c5ed67.png  竖直平面内的圆周运动模型
仔细观察下列图片,认真参与师生互动

70b427023792187a551352cfd648e315.png

fcb896b5babc24c0a7ab36552abdb7fa.png
活动1:甲、乙、丙三幅图物体在轨道顶点受绳、轨道或杆的弹力有什么特点?
提示:甲图中物体受绳或轨道的弹力向下,而且只能是向下。乙图中处于轨道的外轨道,受到的弹力只能是向上的支持力,不可能向下。丙图中,杆对小球的力或者是管道对小球的力可以向上或向下甚至为零。
活动2:甲图中要满足什么条件小球才能过最高点?
提示:由于所受弹力只能向下,向下的力至少等于重力,故向心力必须不小于重力小球才能过最高点。
活动3:乙、丙图中小车或小球过顶点需要什么条件?
提示:乙、丙图中轨道或杆给小车或小球的力都可以向上,故只要过顶点前速度不为零就行。
活动4:讨论、交流、展示,得出结论。
1竖直平面内的圆周运动模型
在竖直平面内做圆周运动的物体,运动至轨道最高点时的受力情况,可分为三种模型。一是只有拉(压)力,如球与绳连接、沿内轨道的过山车等,称为轻绳模型;二是只有推(支撑)力的,称为拱桥模型;三是可拉(压)可推(支撑),如球与杆连接、小球在弯管内运动等,称为轻杆模型
2三种模型对比

4b71a7ed60e7322223a2c195cbe922fe.png

99b53b6564eb9854d60ffbb46d904bdf.png
例3 长度为L=0.50 m的轻质细杆OAA端有一质量为m=3.0 kg的小球,如图所示,小球以O点为圆心在竖直平面内做圆周运动,通过最高点时小球的速率是2.0 m/s,g取10 m/s2,则此时细杆OA受到(  )

a79a267ccf4a9979426b1d2f3d32d9bc.png
A.6.0 N的拉力          B.6.0 N的压力
C.24 N的拉力          D.24 N的压力
(2)通过最高点时,细杆什么时候会受到小球的拉力?什么时候会受到小球的压力?

24cfea2142117ac98189384154b66299.png
由牛顿第三定律知,细杆OA受到6.0 N的压力,B正确。
[完美答案]  B

6c76b229721409cedddec219ea660a3d.png
竖直面内圆周运动的求解思路
(1)确定模型:首先判断是轻绳模型还是轻杆模型,两种模型过最高点的临界条件不同,其原因是不能支持物体,而既能支持物体,也能拉物体。


0c19e09428849e223f0fded5bdd83b3d.png
A.小球到达圆周轨道的最高点P时受到轻杆向上的弹力
B.小球到达圆周轨道的最低点Q时受到轻杆向上的弹力
C.小球到达圆周轨道的最高点P时不受轻杆的作用力
D.若小球到达圆周轨道的最高点P速度增大,则在P点受到轻杆向下的弹力增大
答案 BD

8cee2720a091b76bbd4bd0d25f725282.png
B.v若增大,球所需的向心力也增大
答案 BD
例4 一细绳与水桶相连,水桶中装有水,水桶与水一起以细绳的另一端点为圆心在竖直平面内做圆周运动,如图所示,水的质量m=0.5 kg,水的重心到转轴的距离l=50 cm,g取10 m/s2。求:

e2cb84e0de999b121a61f00252d47b0f.png
(1)若在最高点水不流出来,求桶的最小速率;(结果保留三位有效数字)
(2)若在最高点水桶的速率v=3 m/s,求水对桶底的压力大小。

ead093299ce5bfca616cc36d2ea23894.png (1)如何理解在最高点水不流出来的情形?
提示:如果桶在最高点的速度为0或较小,那么水就会在重力作用下流出来,所以桶在最高点必须有一个最小速度,即临界速度,只要当桶在最高点的速度大于或等于临界速度时,水才不会流出来。
(2)绳模型中最高点的临界速度是多少?
提示:绳模型中物体通过最高点,至少受重力作用,所
(2)在最高点水桶的速率v=3 m/s>2.24 m/s,水桶能过最高点,此时桶底对水有一向下的压力,设为FN
代入数据可得:FN=4 N
由牛顿第三定律可得水对桶底的压力:FN=4 N。
[完美答案] (1)2.24 m/s (2)4 N

6c76b229721409cedddec219ea660a3d.png
绳模型和杆模型中物体做的都是变速圆周运动,在最高点和最低点时都是由物体在竖直方向所受的合力提供向心力。


393bedf92f4abbe00e2c5c31d95ab5b2.png
A.水流星通过最高点时,有水从容器中流出
B.水流星通过最高点时,绳的张力及容器底部受到的压力均为零
C.水流星通过最高点时,处于完全失重状态,不受力的作用
D.水流星通过最高点时,绳子的拉力大小为5 N
答案 B
课堂任务
9204d4bd6e43bc8dea3ac2848e4ca3f1.png  离心运动的理解和应用
仔细观察下列图片,认真参与师生互动

e45bb3189f551147f1c9ffe03f4a4fd3.png

fcb896b5babc24c0a7ab36552abdb7fa.png
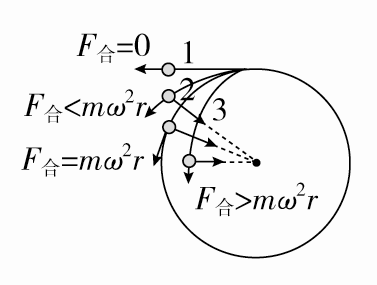
活动1:F表示什么意思?F2r时物体做什么运动?
提示:F是一个物体受到的所有外力的合力。当F2r时,合外力等于所需的向心力,物体做匀速圆周运动。
活动2:F=0表示什么意思?F=0时,物体会怎样运动?
提示:F=0表示物体受到的所有外力的合力为零,相当于不受力,这里相当于物体做圆周运动的向心力突然消失。向心力消失后,物体不再转弯,将沿切线方向飞出做离心运动,如图中线条1。
活动3:如果物体受的合外力不足以提供所需的向心力或者合外力大于需要的向心力,物体又会怎样运动?
提示:如果物体受的合外力不足以提供所需的向心力,物体会远离圆心做离心运动,如图中线条2。如果合外力大于需要的向心力,物体就会做近心运动,如图中线条3。
活动4:讨论、交流、展示,得出结论。
1离心运动的理解
2几种常见的离心运动

09606301c016abebf6965ca6ac1fffc7.png

ecd1ef134ce817c2cda6b822946701ae.png

f2c026a20e3a18368eda0967424946d7.png
例5 (多选)如图所示,光滑水平面上,质量为m的小球在拉力F作用下做匀速圆周运动。若小球运动到P点时,拉力F发生变化,下列关于小球运动情况的说法中正确的是(  )

d71b2d3db139fb1411d1419a8aa1d455.png
A.若拉力突然变大,小球将沿轨迹Pb做离心运动
B.若拉力突然变小,小球将沿轨迹Pb做离心运动
C.若拉力突然消失,小球将沿轨迹Pa做离心运动
D.若拉力突然变小,小球将沿轨迹Pc做近心运动

ead093299ce5bfca616cc36d2ea23894.png (1)物体做离心运动的条件是什么?
提示:物体所受沿轨迹半径方向的合力突然为零或沿轨迹半径方向的合力小于所需要的向心力。
(2)离心运动一定是直线运动吗?
提示:不一定。离心运动可能是直线运动,也可能是曲线运动。
[规范解答] 若拉力突然变大,小球将沿轨迹Pc做近心运动,A错误。若拉力突然变小,小球将做离心运动,又由于力与速度有一定的夹角,故小球将沿轨迹Pb做曲线运动,B正确,D错误。若拉力突然消失,小球将沿着P点处的切线Pa做离心运动,C正确。
[完美答案] BC

6c76b229721409cedddec219ea660a3d.png
离心现象的三点注意事项
(1)离心现象并不是由于存在离心力而产生的,而是由于物体所受的力不足以提供物体做圆周运动所需的向心力引起的,是惯性的一种表现形式。
(2)做离心运动的物体,并不是沿半径方向向外远离圆心。
(3)物体的质量越大、线速度越大(或角速度越大)时,物体做圆周运动所需要的向心力越大,物体就越容易发生离心现象。


ee23643fc471f5415f66863f9c921cda.png
A.摩托车一直受到沿半径方向向外的离心力作用
B.摩托车所受外力的合力小于所需的向心力
C.摩托车将沿其线速度的方向沿直线滑去
D.摩托车将沿其半径方向沿直线滑去
答案 B
解析 摩托车只受重力、地面支持力和地面的摩擦力作用,没有离心力,A错误;摩托车正常转弯时可看做匀速圆周运动,所受的合力等于向心力,如果向外滑动,说明提供的向心力即合力小于需要的向心力,B正确;摩托车将在线速度方向与原圆周运动轨迹之间做离心曲线运动,C、D错误。

389e967562d715d4ebac95355c6847d7.png
A组:合格性水平训练
1.(离心运动的理解)关于离心运动,下列说法中正确的是(  )
A.物体一直不受外力作用时,可能做离心运动
B.做匀速圆周运动的物体,在外界提供的向心力突然变大时做离心运动
C.做匀速圆周运动的物体,只要向心力的数值发生变化便将做离心运动
D.做匀速圆周运动的物体,当外界提供的向心力突然消失或数值变小时将做离心运动
答案 D
解析 物体一直不受外力作用,物体应保持静止状态或匀速直线运动状态,A错误;做匀速圆周运动的物体,所受的合外力等于向心力,当外界提供的向心力增大时,物体所需的向心力并没有增大,物体将做近心运动,B错误;做匀速圆周运动的物体,向心力的数值发生变化,物体可能仍做圆周运动,例如变速圆周运动,也可能做近心运动或离心运动,C错误;根据离心运动的条件可知,D正确。
2.(航天器中的失重现象)(多选)航天飞机在围绕地球做匀速圆周运动过程中,关于航天员,下列说法中正确的是(  )
A.航天员仍受重力作用
B.航天员受的重力提供其做匀速圆周运动的向心力
C.航天员处于超重状态
D.航天员对座椅的压力为零
答案 ABD
3.(竖直平面内的圆周运动)秋千的吊绳有些磨损,在摆动过程中,吊绳最容易断裂的时候是秋千(  )
A.在下摆过程中  B.在上摆过程中
C.摆到最高点时  D.摆到最低点时
答案 D
4.(拱形桥问题)在较大的平直木板上相隔一定距离钉几个钉子,将三合板弯曲成拱桥形卡入钉子内形成拱形桥,三合板上表面事先铺上一层牛仔布以增加摩擦,这样玩具惯性车就可以在桥面上跑起来了。把这套系统放在电子秤上做实验,如图所示,关于实验中电子秤的示数,下列说法正确的是(  )

4a7882c36672c0c40a48ef0fbbde9e11.png
A.玩具车静止在拱桥顶端时的示数小一些
B.玩具车运动通过拱桥顶端时的示数大一些
C.玩具车运动通过拱桥顶端时处于超重状态
D.玩具车运动通过拱桥顶端时速度越大(未离开拱桥),示数越小
答案 D
5.(汽车转弯问题)在高速公路的拐弯处,通常路面都是外高内低。如图所示,在某路段汽车向左拐弯,司机左侧的路面比右侧的路面低一些,汽车的运动可看做是半径为R的圆周运动。设内、外路面高度差为h,路基的水平宽度为d,路面的宽度为L。已知重力加速度为g,要使车轮与路面之间的横向(即垂直于前进方向)摩擦力等于零,则汽车转弯时的车速应等于(  )

03a4514b1715b3caf72f4642fb40f7fc.png
答案 B
6.(轻绳模型)(多选)如图所示,用长为l的细绳拴着质量为m的小球在竖直平面内做圆周运动,则下列说法中正确的是(  )

feb091fd92c829fb44351edcbdaf10d4.png
A.小球在圆周最高点时所受的向心力一定为重力
B.小球在最高点时绳子的拉力不可能为零
D.小球过最低点时绳子的拉力一定大于小球重力
答案 CD
7.(轻绳模型)如图所示,某公园里的过山车驶过轨道的最高点时,乘客在座椅里面头朝下,人体颠倒,若轨道半径为R,人体重为mg,要使乘客经过轨道最高点时对座椅的压力等于自身的重力,则过山车在最高点时的速度大小为(  )

65760c21811be2f5680ae064c97db38e.png
答案 C
8.(拱形桥问题)城市中为了解决交通问题,修建了许多立交桥。如图所示,桥面是半径为R的圆弧形的立交桥AB横跨在水平路面上,一辆质量为m的小汽车,从A端冲上该立交桥,小汽车到达桥顶时的速度大小为v1,若小汽车在上桥过程中保持速率不变,则(  )

b45899025feab6b9de102c6accd7cf6a.png
A.小汽车通过桥顶时处于失重状态
B.小汽车通过桥顶时处于超重状态
答案 A

9389883ea6cc0a8733450c05b8e98189.png
答案 B
10.(拱形桥问题)如图所示,是一座半径为40 m的圆弧形拱形桥。一质量为1.0×103 kg的汽车,行驶到拱形桥顶端时,汽车运动速度为10 m/s,则此时汽车运动的向心加速度为多大?向心力为多大?汽车对桥面的压力是多少?(取g=10 m/s2)

ef5b068398f24da458659dc4e851d836.png
答案 2.5 m/s2 2.5×103 N 7.5×103 N
解析 汽车的向心加速度
汽车的向心力
Fnma=1.0×103×2.5 N=2.5×103 N。

0b7428ca2bf8857b5cedb1022a85ecdf.png
在桥的最高点,汽车的向心力由重力和桥的支持力的合力提供,如图所示,FnmgFN
FNmgFn=1.0×103×10 N-2.5×103 N=7.5×103 N,
根据牛顿第三定律,汽车对桥的压力
FFN=7.5×103 N。
11.(汽车转弯问题)某游乐场里的赛车场地为圆形,半径为100 m,一赛车和车手的总质量为100 kg,轮胎与地面间的最大静摩擦力为600 N。(g取10 m/s2)
(1)若赛车的速度达到72 km/h,这辆车在运动过程中会不会发生侧滑?
(2)若将场地建成外高内低的圆形,且倾角为30°,赛车的速度多大时,车手感觉不到自己有相对车侧向运动的趋势?
答案 (1)不会侧滑 (2)24 m/s
B组:等级性水平训练
12.(火车转弯问题)(多选)火车转弯可近似看成是做匀速圆周运动,当火车以规定速度通过时,内外轨道均不受侧向挤压,如图。现要降低火车转弯时的规定速度,须对铁路进行改造,从理论上讲以下措施可行的是(  )

15491fc345019bc1d30ccb818dac8bd4.png
A.减小内外轨的高度差          B.增加内外轨的高度差
C.减小弯道半径          D.增大弯道半径
答案 AC

1ecdc38c595e3f8c9279d1930aed13b2.png
13.(轻杆模型)(多选)如图所示,小球m在竖直放置的光滑的圆形管道内做圆周运动,下列说法正确的是(  )

4eb7dce45199b9c069eb758bcb252980.png
B.小球通过最高点时的最小速度为零
C.小球在水平线ab以下的管道中运动时外侧管壁对小球一定无作用力
D.小球在水平线ab以下的管道中运动时外侧管壁对小球一定有作用力
答案 BD
解析 圆形管外侧、内侧都可以对小球提供弹力,故小球通过最高点的最小速度为零,A错误,B正确。小球在水平线ab以下时,合外力必须有指向圆心方向的分力提供向心力,故外侧管壁一定对小球有作用力,C错误,D正确。
14.(轻杆模型)L=0.5 m的轻杆,其一端连接着一个零件A,A的质量m=2 kg。现让A在竖直平面内绕轻杆另一端O点做匀速圆周运动,如图所示。在A通过最高点时,求下列两种情况下A对杆的作用力大小。(g=10 m/s2)

3fa727d51d42558256e620f7ffcb8f8f.png
(1)A的速率为1 m/s;
(2)A的速率为4 m/s。
答案 (1)16 N (2)44 N
解析 以A为研究对象,设其受到杆的拉力为F
(1)代入数据v1=1 m/s,
即A受到杆的支持力为16 N。
根据牛顿第三定律可得A对杆的作用力为压力,大小为16 N。
(2)代入数据v2=4 m/s,
即A受到杆的拉力为44 N。
根据牛顿第三定律可得A对杆的作用力为拉力,大小为44 N。
您需要登录后才可以回帖 登录 | 立即注册

本版积分规则

Archiver|手机版|小黑屋|5432教案网 ( 蜀ICP备2022024372号-1 |川公网安备51152402000101号 )|网站地图

GMT+8, 2026-4-7 19:29 , Processed in 0.783324 second(s), 31 queries .

Powered by Discuz! X3.5

© 2001-2026 Discuz! Team.

快速回复 返回顶部 返回列表