找回密码
 立即注册
搜索
查看: 1|回复: 0

(必修2)《4 抛体运动的规律》优秀.doc(教案3)

[复制链接]

2万

主题

224

回帖

14万

积分

管理员

积分
140701
发表于 9 小时前 | 显示全部楼层 |阅读模式
4.抛体运动的规律

a1ad95b519cbbe5a4534b95830e68f93.png
1.理解平抛运动及其运动规律,会用平抛运动的规律解决相关问题。
2.知道平抛运动的轨迹是一条抛物线。
3.了解斜抛运动及其规律。
4.掌握分析抛体运动的方法——运动的合成与分解。

f143b589a27d1ce00b703a6a42b50a01.png
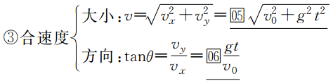
1.平抛运动的速度
(2)平抛运动的速度

d85626c09fcca1a30034cf7131c16a18.png

b03973ea2ddaf7f407550dd1fe6e2d9c.png
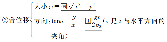
2平抛运动的位移与轨迹
(1)平抛运动的位移

ff7f6bf43aca7f8643aee788c2390761.png

f2e198851c8d639f91b2ca9be0a6b491.png
3一般的抛体运动

3d1e9fcc9b27d80def645082bb1cc687.png
(2)性质
(3)规律(以斜上抛运动为例,如图所示,其中θv0与水平方向的夹角)
判一判
(1)斜抛运动和平抛运动在竖直方向上做的都是自由落体运动。(  )
(2)斜抛运动和平抛运动在水平方向上做的都是匀速直线运动。(  )
(3)斜抛运动和平抛运动的加速度相同。(  )
提示:(1)× 斜抛运动在竖直方向上做的是竖直上抛或竖直下抛运动,不是自由落体运动。
(2) 斜抛运动和平抛运动在水平方向上不受力,都做匀速直线运动。
(3) 斜抛运动和平抛运动都只受重力,加速度为重力加速度。

6a8b1011dacc44d1c813d39079d06c38.png
课堂任务
171a0178e48b7f4c709157e5cb2ee3d3.png  平抛运动的速度、位移和轨迹
仔细观察下列图片,认真参与师生互动

5950f1294de350fc89e90458637f8d87.png

fcb896b5babc24c0a7ab36552abdb7fa.png
活动1:曲线运动一般的解决方法是什么?
提示:化曲为直。就是把复杂的曲线运动问题分解为比较简单的直线运动来处理。
活动2:由活动1的思路,试总结出如图平抛运动中水平方向的运动结论。
提示:因为水平方向不受力,故水平方向做匀速直线运动,速度vxv0,位移xv0t
活动3:由活动1的思路,试总结出如图平抛运动中竖直方向的运动结论。
活动4:由以上结论可以得出平抛运动的轨迹方程是什么?它的轨迹有什么特点?
活动5:讨论、交流、展示,得出结论。
1平抛运动的研究方法
(1)由于平抛运动是匀变速曲线运动,速度、位移的方向时刻发生变化,无法直接应用运动学公式,因此研究平抛运动问题时采用运动分解的方法,化曲为直法是我们解决所有曲线运动问题的一个重要方法。
(2)将平抛运动分解为水平方向的匀速直线运动和竖直方向的自由落体运动。这是我们解决平抛运动问题的基本方法。
2平抛运动的特点
(1)速度特点:平抛运动的速度大小和方向都不断变化,故它是变速运动。
(2)轨迹特点:平抛运动的运动轨迹是曲线,故它是曲线运动。
(3)加速度特点:平抛运动的加速度为自由落体加速度,恒定不变,故它是匀变速运动。
综上所述,平抛运动为匀变速曲线运动。

5778098f8b14b079c6ca7c970f68b7e1.png
4平抛运动的时间、水平位移、落地速度的决定因素
5平抛运动的规律

3bd7d0faf3154a063f09a9d7dd4fed89.png
6平抛运动的轨迹

f2c026a20e3a18368eda0967424946d7.png
例1 (多选)如图所示,x轴在水平地面上,y轴沿竖直方向。图中画出了从y轴上沿x轴正向抛出的三个小球abc的运动轨迹,其中bc是从同一点抛出的。不计空气阻力,则(  )

e5668e8cace5b53948ae5498eed9db34.png
A.a的飞行时间比b的长
B.bc的飞行时间相同
C.a的水平速度比b的小
D.b的初速度比c的大

ead093299ce5bfca616cc36d2ea23894.png (1)平抛运动的飞行时间怎么求?
(2)高度相同,初速度不同的平抛运动,会有什么结论?
提示:同样的高度就会有同样的飞行时间,初速度不同,水平位移就不一样。
[完美答案] BD

6c76b229721409cedddec219ea660a3d.png
平抛运动的飞行时间由竖直高度决定。水平位移由竖直高度和初速度共同决定。


6536f0594e9a1dc53b0e9ad2d275f891.png
A. v1v2v3=321  B.v1v2v3=531
C.v1v2v3=632  D.v1v2v3=941
答案 C
课堂任务
d55ebfb4a036f1143534f141b49bcfa0.png  平抛运动的两个重要推论
仔细观察下列图片,认真参与师生互动

8a1a7248cb909c6d12aa3a9f9eaf3946.png

fcb896b5babc24c0a7ab36552abdb7fa.png
活动1:如图所示,速度偏向角的正切值是什么?速度的反向延长线在x轴上的交点有什么特点?
提示:从速度的分解来看,速度偏向角的正切值
将代表速度矢量v的箭头反向延长,速度偏向角的正切值还可以用长度之比来表示,即
即速度的反向延长线过水平位移的中点。
活动2:如图所示,速度偏向角与位移偏向角之间的关系怎样?
比较①②可得tanθ=2tanα
活动3:讨论、交流、展示,得出结论。
1推论一:做平抛运动的物体任一时刻的瞬时速度的反向延长线一定通过此时水平位移的中点。
2推论二:做平抛运动的物体在任一时刻任一位置处,设其速度、位移与水平方向的夹角分别为θα,则tanθ=2tanα

f2c026a20e3a18368eda0967424946d7.png
例2 如图所示,从倾角为θ的斜面上某点先后将同一小球以不同的初速度水平抛出,小球均落在斜面上,当抛出的速度为v1时,小球到达斜面时速度方向与斜面的夹角为α1;当抛出速度为v2时,小球到达斜面时速度方向与斜面的夹角为α2,则(不计空气阻力)(  )

5809ba7ac7a59442473cb7c6dd5104eb.png
A.当v1>v2时,α1>α2
B.当v1>v2时,α1<α2
C.无论v1v2关系如何,均有α1α2
D.α1α2的关系与斜面倾角θ有关

ead093299ce5bfca616cc36d2ea23894.png (1)小球位移是什么方向?初速度是什么方向?位移与水平方向的夹角有什么特点?
提示:小球的起点和终点都在斜面上,位移沿斜面向下,小球初速度是水平方向,不管速度多大,位移与水平方向的夹角都等于斜面的倾角。
(2)平抛运动中速度的偏向角和位移的偏向角有什么关系,会因为初速度不同发生变化吗?
提示:只要是平抛运动,运动中速度的偏向角与位移的偏向角一定满足tanθ=2tanα(θα分别为速度、位移的偏向角),与初速度无关。
[完美答案] C

6c76b229721409cedddec219ea660a3d.png
运用推论二的关键是找准位移偏向角与速度偏向角,再分析判断问题。


257776ed8e04a1be156d1a9188f8df72.png

bf89afd8bb8b0488fe5f0faf817f1a5c.png
课堂任务
c3bcdefef47c722afb3ecdb5f3c5ed67.png  与斜面结合的平抛运动问题
仔细观察下列图片,认真参与师生互动

8e992fa99e90931d6995e411812e27e3.png

fcb896b5babc24c0a7ab36552abdb7fa.png
活动1:图甲中到达斜面时速度偏向角α与斜面倾角θ有什么关系?
提示:由课堂任务2里的讨论知道,θ就是位移的偏向角。故有tanα=2tanθ
活动2:图甲中到达斜面时水平位移和竖直位移有什么关系?
活动3:图乙中到达斜面的水平速度和竖直速度有什么关系?
活动4:讨论、交流、展示,得出结论。
与斜面结合的平抛运动常见的两类情况
(1)顺着斜面抛:如图甲所示,物体从斜面上某一点水平抛出以后又重新落在斜面上,此时平抛运动物体的合位移方向与水平方向的夹角等于斜面的倾角。结论有:
到达斜面的速度方向与斜面夹角恒定;
(2)对着斜面抛:如图乙所示,做平抛运动的物体垂直打在斜面上,此时物体的合速度与竖直方向的夹角等于斜面的倾角。结论有:
速度方向与斜面垂直;

f2c026a20e3a18368eda0967424946d7.png
例3 女子跳台滑雪如图所示,运动员踏着专用滑雪板,不带雪杖在助滑路上(未画出)获得一速度后水平飞出,在空中飞行一段距离后着陆,这项运动非常惊险。设一位运动员由斜坡顶的A点沿水平方向飞出的速度v0=20 m/s,落点在斜坡上的B点,斜坡倾角θ取37°,斜坡可以看成一斜面。(取g=10 m/s2,sin37°=0.6,cos37°=0.8)求:

0e85096cd3f086323efb1f96146c5e84.png
(1)运动员在空中飞行的时间t
(2)AB间的距离s

ead093299ce5bfca616cc36d2ea23894.png (1)运动员的位移是什么?
提示:斜坡上A点到B点的距离即为运动员的位移大小,沿斜面向下即为位移的方向。
(2)水平方向的位移x和竖直方向的位移y有什么关系?
[完美答案] (1)3 s (2)75 m

6c76b229721409cedddec219ea660a3d.png


365d7aefcc71ea3d36763e0e1e5eb73d.png
答案 C

fc6fd541023b45f83ad4de6be6881f5e.png
课堂任务
9204d4bd6e43bc8dea3ac2848e4ca3f1.png  一般的抛体运动
仔细观察下列图片,认真参与师生互动

dadec29f52c060920400b0e6d0a7c6f6.png

fcb896b5babc24c0a7ab36552abdb7fa.png
活动1:斜抛运动是匀变速运动吗?
提示:不考虑空气阻力的影响,所有的抛体运动都是匀变速运动,斜抛运动是匀变速运动。
活动2:图中是按什么方式解决斜抛运动问题的?
提示:图中是把斜抛运动分解为水平方向的匀速直线运动(初速度v0x一直不会变)和竖直方向的竖直上抛运动(v0y是竖直方向的初速度)。
活动3:在斜上抛运动中轨迹的最高点速度有什么特点?
提示:最高点竖直方向的分速度为零,故此时物体的速度沿水平方向,且等于v0x
活动4:讨论、交流、展示,得出结论。
1斜抛运动的特点
(1)受力特点:斜抛运动是忽略了空气阻力的理想化运动,因此物体仅受重力,其加速度为重力加速度g
(2)运动特点:物体具有与水平方向存在夹角的初速度,仅受重力,因此斜抛运动是匀变速曲线运动,其轨迹为抛物线。
(3)速度变化特点:由于斜抛运动的加速度为定值,因此,在相等的时间内速度变化量的大小相等,方向均竖直向下,ΔvgΔt
(4)对称性特点(斜上抛)
速度对称:轨迹上关于过轨迹最高点的竖直线对称的两点速度大小相等,水平方向速度相同,竖直方向速度等大反向。如图所示。

a4d056ad390d8a4a3db091791b1b8fcf.png
时间对称:关于过轨迹最高点的竖直线对称的曲线上升时间等于下降时间,这是由竖直上抛运动的对称性决定的。
轨迹对称:其运动轨迹关于过最高点的竖直线对称。
2斜上抛运动物理量之间的关系

f2c026a20e3a18368eda0967424946d7.png
例4 一个棒球以38 m/s的速度被击出,仰角为37°,(g取10 m/s2,sin37°=0.6)求:
(1)该球上升达到的最大高度;
(2)该球的飞行时间;
(3)射程。

ead093299ce5bfca616cc36d2ea23894.png (1)斜抛运动的性质是什么?
提示:斜抛运动是匀变速曲线运动。
(2)解决斜抛运动的思想和方法是什么?
提示:思想——化曲为直。
方法——把斜抛运动分解为水平方向的匀速直线运动和竖直方向的竖直上抛运动。
[规范解答] 斜抛运动水平方向分运动为匀速直线运动,竖直方向为竖直上抛运动。
(2)竖直方向上时间具有对称性,则飞行时间为:
(3)xv0tcosθ,得出:x=138.624 m。
[完美答案] (1)25.992 m (2)4.56 s
(3)138.624 m

6c76b229721409cedddec219ea660a3d.png
斜抛运动的处理方法
一般的斜抛运动和平抛运动的处理方法相同,均将运动分解为水平方向的匀速直线运动和竖直方向的匀变速直线运动。


c578587268774b69713b27ee16c57f41.png
(1)物体抛出时速度的大小和方向;
(2)物体在空中的飞行时间t
(3)射高Y和水平射程X
答案 (1)30 m/s 与水平方向夹角为37°
(2)3.6 s (3)16.2 m 86.4 m
解析 (1)根据斜抛运动的对称性,物体抛出时的速度与落地时的速度大小相等,故v0vt=30 m/s,
设与水平方向夹角为θ
(2)竖直方向的初速度为
水平射程Xvt=24×3.6 m=86.4 m。

eb62006350b262f1357a20253e7b8163.png
A组:合格性水平训练
1.(平抛运动的理解)关于平抛运动,下列说法正确的是(  )
A.平抛运动是非匀变速运动
B.平抛运动是匀速运动
C.平抛运动是匀变速曲线运动
D.平抛运动的物体落地时的速度可能是竖直向下的
答案 C
解析 做平抛运动的物体只受重力作用,产生恒定的加速度,是匀变速运动,其初速度与合外力不共线,是曲线运动,故平抛运动是匀变速曲线运动,A、B错误,C正确;平抛运动可以分解为水平方向的匀速直线运动和竖直方向的自由落体运动,故落地时的速度是水平方向的分速度和竖直方向的分速度的合速度,其方向一定与竖直方向(或水平方向)有夹角,D错误。
2.(平抛运动的理解)从离地面h高处投出A、B、C三个小球,A球自由下落,B球以速度v水平抛出,C球以速度2v水平抛出,则它们落地时间tAtBtC的关系是(不计空气阻力)(  )
A.tAtBtC  B.tAtBtC
C.tAtBtC  D.tAtBtC
答案 D
解析 平抛运动物体的飞行时间仅与高度有关,与水平方向的初速度大小无关,故tBtC,而平抛运动的竖直分运动为自由落体运动,所以tAtBtC,D正确。
3.(平抛运动规律的应用)(多选)两个物体做平抛运动的轨迹如图所示,设它们抛出的初速度分别为vavb,从抛出至碰到台上的时间分别为tatb,则(  )

fbf0f6c128e471436edba1ca58dacfec.png
A.vavb          B.vavb
C.tatb          D.tatb
答案 AD
4.(平抛运动规律的应用)如图所示,在同一竖直面内,小球ab从高度不同的两点,分别以初速度vavb沿水平方向抛出,经过时间tatb后落到与两抛出点水平距离相等的P点。若不计空气阻力,下列关系式正确的是(  )

acb2640232c2e501688906e2137dc470.png
A.tatbvavb  B.tatbvavb
C.tatbvavb  D.tatbvavb
答案 A
5.(平抛运动规律的应用)(多选)物体以初速度v0水平抛出,若不计空气阻力,重力加速度为g,则当其竖直分位移与水平分位移相等时,以下说法中正确的是(  )
A.竖直分速度等于水平分速度
答案 BCD
6.(平抛运动规律的应用)斜面上有PRST四个点,如图所示,PRRSST,从P点正上方的Q点以速度v水平抛出一个物体,物体落于R点,若从Q点以速度2v水平抛出一个物体,不计空气阻力,则物体落在斜面上的(  )

0a24fff0572f800424a1e1971922a816.png
A.RS间的某一点          B.S
C.ST间某一点          D.T
答案 A
解析 平抛运动的时间由下落的高度决定,下落的高度越高,运动时间越长。如果没有斜面,从Q点以速度2v平抛,物体下落至与R等高时,其位置恰位于S点的正下方的一点,但实际当中斜面阻碍了物体的下落,物体会落在RS点之间斜面上的某个位置,A项正确。
7.(与斜面结合的平抛运动问题)两个相同高度的斜面倾角分别为30°、60°,两小球分别由斜面顶端以相同水平速度v水平抛出,如图所示,不计空气阻力,假设两球都能落在斜面上,则分别向左、右两侧抛出的小球下落高度之比为(  )

ed6a0bed74d981d774dee64ffbd82e4b.png
A.12  B.31
C.19  D.91
答案 C
8.(与斜面结合的平抛运动问题)跳台滑雪是勇敢者的运动,运动员在专用滑雪板上,不带雪杖在助滑路上获得高速后水平飞出,在空中飞行一段距离后着陆,这项运动极为壮观。设一位运动员由a点沿水平方向跃起,到山坡b点着陆,如图所示。测得ab间距离L=40 m,山坡倾角θ=30°,山坡可以看成一个斜面。试计算(不计空气阻力,g取10 m/s2):

18dad8ad87fbcd6eef10bf368b404e94.png
(1)运动员起跳后在空中从ab飞行的时间;
(2)运动员在a点的起跳速度大小。
(2)水平方向上的位移Lcosθv0t
B组:等级性水平训练
9.(综合)如图所示,从一根内壁光滑的空心竖直钢管A的上端边缘,沿直径方向向管内水平抛入一钢球,球与管壁多次相碰后落地(球与管壁相碰时间不计)。若换一根等高但较粗的内壁光滑的空心竖直钢管B,用同样的方法抛入此钢球,则运动时间(  )

f831f72c3e10e55b15b7952300dc62e3.png
A.在A管中的球运动时间长
B.在B管中的球运动时间长
C.在两管中的球运动时间一样长
D.无法确定
答案 C
解析 小球被抛出后,做平抛运动,与管壁发生碰撞,水平方向速度反向,竖直方向速度不变,竖直方向仍然只受重力,做自由落体运动,小球的落地时间只取决于竖直高度,所以从同一高度水平抛出,小球在空中的运动时间不会改变。故选C。
10.(与斜面结合的平抛运动问题)如图所示,从倾角为θ的斜面上的A点,以水平速度v0抛出一个小球,不计空气阻力,它落在斜面上B点所用的时间为(  )

e93b4d4ace541517c57b976a9804420e.png
答案 B
11.(与斜面结合的平抛运动问题)一水平抛出的小球落到一倾角为β的斜面上时,其速度方向与斜面垂直,运动轨迹如图中虚线所示。则小球在竖直方向下落的距离与水平方向通过的距离之比为(  )

a3452f02b7cbf494ff51876f932ee5e5.png
答案 D

4107b628f963ccd129830f48319cb0ca.png
12.(一般抛体运动问题)(多选)如图所示,水平地面上不同位置的三个小球斜上抛,沿三条不同的路径运动最终落在同一点,三条路径的最高点是等高的,若忽略空气阻力的影响,下列说法正确的是(  )

558dd236c5f60bd700393f48898c8d16.png
A.沿路径1抛出的小球落地的速率最大
B.沿路径3抛出的小球在空中运动的时间最长
C.三个小球抛出的初速度竖直分量相等
D.三个小球抛出的初速度水平分量相等
答案 AC
13.(平抛运动规律的应用)如图所示,一小球从平台上水平抛出,恰好落在平台前一倾角为α=53°的斜面顶端并刚好沿斜面下滑,已知平台到斜面顶端的高度为h=0.8 m,不计空气阻力,取g=10 m/s2。(sin53°=0.8,cos53°=0.6)求:

3b1fd4302d4cabcd9c00bd2b95e99acd.png
(1)小球水平抛出的初速度v0的大小;
(2)斜面顶端与平台边缘的水平距离x
答案 (1)3 m/s (2)1.2 m
解析 (1)设小球到达斜面顶端时竖直方向分速度为vy
(2)设从平台运动到斜面顶端的时间为t
xv0t,代入数据解得x=1.2 m。
14.(平抛运动规律的应用)如图所示,水平地面上有一个坑,其竖直截面为半圆,ab为沿水平方向的直径。若在a点以初速度v0沿ab方向抛出一小球,小球会击中坑壁上的c点。已知c点与水平地面的距离为圆半径的一半,求圆的半径。

69f6a7d2db901c24fd2fb292d4c972bb.png

66ea624d21282a25aa4d4aad4bd3cab0.png
您需要登录后才可以回帖 登录 | 立即注册

本版积分规则

Archiver|手机版|小黑屋|5432教案网 ( 蜀ICP备2022024372号-1 |川公网安备51152402000101号 )|网站地图

GMT+8, 2026-4-7 19:32 , Processed in 0.816650 second(s), 31 queries .

Powered by Discuz! X3.5

© 2001-2026 Discuz! Team.

快速回复 返回顶部 返回列表