找回密码
 立即注册
搜索
查看: 1|回复: 0

10(九年级)家庭电路(导学案4)

[复制链接]

2万

主题

224

回帖

14万

积分

管理员

积分
140057
发表于 9 小时前 | 显示全部楼层 |阅读模式
人教版物理九年级全册
第十九章 生活用电
1节 家庭电路
知识梳理  预习感知
知识点1  家庭电路的组成
1.组成:家庭电路都是由两根进户线、、总开关、、插座、开关、用电器、导线等组成。
2.各组成部分的作用
(1)进户线:连接户外供电电路。
(2)电能表:用来测量用户在某一段时间内消耗的多少。
(3)总开关:控制整个电路的,以便检测电路,更换设备。
(4)保险装置:当电路中过大时自动熔断(或自动断开),电路。
(5)插座:给的用电器供电。
知识点2  火线和零线
1.进户的两条输电线中,一条叫做,另一条叫做,在入户之前已经和大地相连。
2.常用来辨别火线和零线。使用时,手指按住笔卡,用笔尖接触被测的导线,若氖管,则被测导线是火线;若氖管,则接触的是零线。
知识点3  三线插头和漏电保护器
1.三线插头
(1)连接:三线插头与三孔插座相对应,其中一条接(通常标有“L”字样),一条接(标着“N”),第三条标着“E”,和用电器的相连。
(2)作用:当把三线插头插入三孔插座中时,三线插头中接火线和零线的两条导线的另一端接用电器部分,上面的脚将用电器的与相连,能防止触电事故的发生。
2.漏电保护器:当站在地上的人不小心接触了,电流经过人体流入大地时,漏电保护器会迅速切断,保护人身安全。
课堂练习     当堂反馈
1. (知识点1)某家庭电路的部分情况如图所示下列说法正确的是(   )
A. 进户线分为火线和地线                     B. 电能表的标定电流为20 A
C. 空气开关有保险丝的功能                   D. 电能表与空气开关是并联的

71ad353dd5d0cb712c29e4be6ace7484.jpg         
bcdc9a37a799f5967a2b9298e15a2611.jpg
第1题                                第2题
2. (知识点3)如图所示墙壁上线盒内有三根电线其中红色为火线蓝色为零线、黄绿色为地线现将三孔插座与三根电线连接,下列选项中接线情况正确的是(   )

4eef10971d3872f66812c07ffd59f5fe.jpg
A                   B                    C                   D
3. (知识点2)一种试电笔的构造如图所示下列说法正确的是(   )

58e7582e0c6abc688402be0f3261881a.jpg
A. 使用试电笔时手可以接触笔尖                    B. 使用试电笔时手不要接触笔卡
C. 试电笔中的电阻可以用铁丝代替                  D. 当氖管发光时有微弱电流通过人体
4. (知识点2)如图所示正确使用测电笔的方法是图若笔尖接触被测导线时氖管发光则被测导线是线

eaa7704271d9cf850b720499f9149b8a.jpg
甲                           乙
5. (知识点3)洗衣机、电冰箱等用电器需要使用三线插头其中一条接(常标有L)一条接(常标有N)第三条标有E标有E的导线和用电器的相连
6. (知识点1、2、3)请用笔画线代替导线将图中的开关、灯泡和三孔插座正确接入家庭电路中

afafcda30b3965f1936523464575f182.jpg
同步练习     易学精练
1. 图中有关家庭电路的连接完全正确的是(   )

030ea0eaa0cb4eee113b62918df00550.jpg
A                                     B

ccbd5aaf318cef77f06fc38830b4caf0.jpg
C                                     D
2. 如图是家庭电路的一部分则(     )
A. 元件1是电能表、2是闸刀开关、3是保险丝
B. 元件1”“2”“3正确连接顺序应为2”“1”“3
C. 图中接错的元件是5
D. 图中电路元件连接完全正确

2376c10a6a368ac8c26c6ca6ba7a1324.jpg    
9b1097ee4df8f16d63061f4869efd5b9.jpg
第2题                                  第3题
3.如图所示为某同学用阻值为800 kΩ的试电笔与火线接触时氖管发光,若该同学此时手与地面的人体电阻为80 kΩ,家庭电路中电压为220 V,则通过该同学的电流为(    )
A. 2.75 A               B. 0.275 A              C. 2.5 mA              D. 0.25 mA
4. “安全用电,珍爱生命”是同学们应有的意识.小华同学家的配电系统如图所示,关于空气开关、电能表和漏电保护器的安装位置,下列说法不正确的是(    )
A. 在①位置安装电能表                        B. 在②位置安装空气开关
C. 在③位置安装漏电保护器                    D. 在④位置安装漏电保护器

3deb5c458d1bae8bfa55451e8fea12f8.jpg    
8e460c299fd10f26e850b24eedcd586d.jpg
第4题                                 第5题
5.如图所示的家庭电路中闭合开关后灯泡不亮用试电笔检测插座的两孔发现只有插入右孔时氖管才发光用试电笔检测A点氖管发光检测B点氖管不发光发生这一现象的原因可能是(   )
A. 灯泡短路                                B. 灯丝断了
C. 开关接触不良                            D. 插座短路
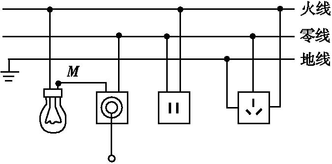
6. 如图是某同学设计的家庭电路电灯开关已断开下列说法正确的是( C )

91091a438f5b17a58f55836eca7ca3f2.jpg
A. 灯泡和两孔插座是串联的
B. 试电笔接触M氖管不发光
C. 开关和三孔插座的连接是错误的
D. 试电笔插入两孔插座的左孔氖管发光
7.如图所示闭合开关电灯不亮用试电笔接触D点时氖管发光接触E点时不发光说明DE若试电笔接触AF各点都发光说明

cf2fee1128dbb42229fe5afc861c5a5d.jpg
8. 如图所示家庭电路吊灯L1和L2由开关S控制墙上有一个固定插座请把电路连接完整

1fd9050c67e24b13e41d01f4cdeeb0ce.jpg
您需要登录后才可以回帖 登录 | 立即注册

本版积分规则

Archiver|手机版|小黑屋|5432教案网 ( 蜀ICP备2022024372号-1 |川公网安备51152402000101号 )|网站地图

GMT+8, 2026-4-6 14:53 , Processed in 0.757137 second(s), 31 queries .

Powered by Discuz! X3.5

© 2001-2026 Discuz! Team.

快速回复 返回顶部 返回列表