找回密码
 立即注册
搜索
查看: 23|回复: 0

[人教版] 10(九年级)伏安法测电阻(教师版)(导学案3)

[复制链接]

4万

主题

224

回帖

19万

积分

管理员

积分
192579
发表于 2026-4-6 04:58:31 | 显示全部楼层 |阅读模式
第8讲 伏安法测电阻
精讲1 伏安法测定值电阻的阻值
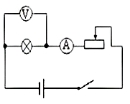
利用欧姆定律的变形公式<Object: word/embeddings/oleObject1.bin>可以计算出导体的电阻大小。测电阻的实验需要使用电压表和电流表,因此人们称这种测电阻的方法为“伏安法”。实验中除了电源、导线、开关、待测电阻以外,在实验过程中为了调控待测电阻两端的电压,还需要在电路中串联滑动变阻器,实验电路图如图所示。

be1b03777342db2945c5b517320df94a.png         
fd13b24602152d32e5ccf103e6fffe6e.jpg
重难点解读   多次测量减少误差
在实验过程中需要移动滑动变阻器的滑片,进行多次测量,得出多组数据后,分别求出待测电阻的阻值R1、R2、R3…再求出平均值,这样做的目的是减小误差。
巩固练习
【例1】某同学利用电压表和电流表测量电阻R1的阻值(约9Ω左右),电源选用两节干电池。
(1)按图甲电路,将图乙中电流表正确连入电路(要求导线不交叉)。
(2)该同学检查电路连接正确,他闭合开关,无论怎样移动滑片,电压表示数总为3V不变,你认为发生故障原因可能是
(3)排除故障后,他将滑片P向右滑动时,电压表示数将(选填“增大”“减小”或“不变”),当P滑到某一位置时,两表读数如图丙所示,由此可知R1=Ω,这个结果是否可靠?,理由是

5084ff753759d7112fdf61a4ea18b94e.jpg
答案R1断路或者R2短路;减小 ;10,不可靠【例2】如图所示,小明同学在“测未知电阻Rx”的实验中。

8b6ebe78efca054dc7a24a42a3a6929a.jpg
bfa88bb1b1841299e3705fd3d5fae13b.jpg
(1)连接电路时,开关应。请用笔画线代替导线,根据图甲将图乙所示的实物电路连接完整。
(2)闭合开关前,图乙中滑动变阻器的滑片P应位于(填“A”或“B”) 端。
(3)闭合开关后,发现电流表指针几乎不动,电压表示数约为电源电压,故障原因是_________(选填“Rx短路”或“ Rx断路”)。
(4)排除故障后,小明通过实验得到数据如下表所示,其中第1次实验的电流表示数如图丙所示,为A,则所测电阻Rx的值是Ω。
(5)若在实验中,电压表不能使用,滑动变阻器最大阻值为R0,当滑片P置于最左端时,电流表示数为I1,滑片P置于最右端时,电流表示数为I2,则未知电阻的表达式为
答案 断开;B;Rx断路;0.1A,10;
736542710d09e8e428faf9966d5fcca0.png
【变式1】用伏安法测定一只电阻的阻值,现给你一块电压表、一块电流表、一个电池组、滑动变阻器和开关各一个,未知阻值的电阻一只、导线若干.

26fd4050234a79123c6cf79df4c4399b.jpg
(1)实验的原理是
(2)在图1方框内画出实验电路图(标出电表的“+”、“﹣”接线柱).
(3)在实验中电流表用0~0.6A量程、电压表用0~15V量程.根据你画的电路图,以笔画线代替导线,将下面图2中所给的实验器材连接起来(导线不要交叉).
(4)在这次实验中,电流表和电压表的指示位置如图3所示,那么未知电阻Rx中的电流是A,Rx两端的电压是V,Rx的阻值是Ω.
答案 欧姆定律I=U/R变形得R=U/I;作图略;0.50,3.0v,6
精讲2 伏安法测小灯泡的电阻
测小灯泡电阻的电路图和测定值电阻的相似,在实验中为了使小灯泡不被烧坏,实验前必须先观察小灯泡上标示的电压值,这个电压就是小灯泡正常工作时的电压(额定电压)。实验时,加在灯泡两端的电压不能超过额定电压的1.2倍,否则会烧坏灯泡。所以,在闭合开关前要将滑动变阻器的滑片移到最大值处,实验过程中要注意电压表的示数。

a5f1787da881f0c0a8243fda7e24eec3.jpg
重难点解读   测量小灯泡电阻的数据处理
   实验过程中,调节滑动变阻器的滑片P,改变小灯泡两端的电压,观察小灯泡的亮度,分别记下对应
的电压和电流,并比较电阻值的大小。由于小灯泡的电阻随温度的变化而变化,因此实验中的各组电阻值不需要求出平均值,只需研究其变化规律即可。

640517981c9f25852104a57618744961.jpg
易错易混 小灯泡阻值变化的原因
    定值电阻的阻值是不会变化的,在实验过程中多次测量取平均值是为了减小误差;而小灯泡的阻值是会改变的,不能取平均值,多次测量是为了得到多组数据,探究不同电压下(此时温度不同)小灯泡电阻的变化规律。小灯泡的灯丝一般是用钨做的,钨丝的电阻特性是随温度升高电阻变大,因此得到的电压-电流曲线如右图。
巩固练习
【例1】某兴趣小组在进行“伏安法测电阻”实验,原理图如图甲,器材有:电压为6V的蓄电池、电流表、电压表、滑动变阻器(50Ω  1.5A)、额定电压2.5V灯泡(正常发光时电阻约5Ω)、开关一个、导线若干。

896984c212d91a8b3abb81ce01eec55e.jpg
e0e1afe46229d25fb813d2ccd976cb4c.jpg    
870d3051e0cb9da353ff47da9e571068.jpg
(1)实验中电流表应选择的量程,电压表应选择的量程,闭合开关前,滑动变阻器应调到(选择“a”或“b”)端。
(2)闭合开关后,通过改变滑动变阻器的阻值,测得表中六组数据,根据数据描绘出如图丙的U﹣I图象。由于数据记录失误,第三次操作中电流没有记录,通过U﹣I图象估测该数据可能为A(小数点后保留两位)。通过此图象可发现小灯泡的阻值随着电压增大而(选填“增大”“减小”或“不变”)。
答案 0-0.6A,0-3v,b;0.34,增大
【例2】小刚同学测量2.5V小灯泡的电阻时,连接的电路如图所示:

feeaa19dc24c82404277375a888bf82f.jpg       
0944511a332b9f1b859a2cec0484fd45.jpg
(1)检查电路,发现有一根导线连接错误,请你在连接错误的导线上打“×”,若没有改正错误,闭合开关,电压表
(2)请在图中补画出正确的连线;
(3)改正错误后闭合开关前,应将滑动变阻器的滑片调到端;(选填“A”或“B”)
(4)小刚改正错误后,按正确操作测得数据见表格,计算可知三次实验小灯泡电阻不相等,你认为原因可能是
答案 偏转至最大值;A;小灯泡灯丝的电阻随温度变化而变化
精讲3 其他测量方法
在伏安法测电阻的实验中,若缺少电流表或电压表,可用阻值已知的定值电阻来代替。试分析下列几种测量电路的测量原理。
1.伏阻法:用电压表和已知阻值的定值电阻测未知电阻Rx的阻值,电路设计举例:如图,闭合S1、S2,电压表示数为U1;再断开S2,闭合S3,电压表示数为U2;则Rx的表达式为Rx

908196bda6d68726aba7098b102336d6.jpg
2.伏滑法:用电压表和已知最大阻值为R0的滑动变阻器测未知电阻Rx的阻值。电路设计举例:如图,闭合S,滑片滑到A、B两端时,电压表的示数分别为U1、U2,则Rx的表达式为Rx

b9527e596e3f7167aaccc23c932d58c4.jpg
3.安阻法:用电流表和已知阻值为R0的定值电阻测未知电阻Rx的阻值。电路设计举例:如图,闭合S1,电流表示数为I1;再闭合S2,电流表示数为I2,则Rx的表达式为

9b9d05ce1b774b10856131d9539203b3.jpg
4.安滑法:用电流表和已知最大阻值为R0的滑动变阻器测未知电阻Rx的阻值。电路设计举例:如图,闭合S,滑片P滑到A、B端时,电流表的示数分别为I1I2,则Rx的表达式为Rx

aef60c9e7f2686fd48fd4979dd1c1c2b.jpg

5.等效替代法:用电阻箱测未知电阻Rx的阻值。电路设计举例:如图所示,闭合S、S1,调节滑片P,读出电流表示数I;断开S1,闭合S2,滑片P不动,调节电阻箱,使电流表示数仍为I,读出电阻箱连入的阻值R0,则Rx表达式为Rx

0fab993cbecb2f11d8c8adabdedc1a7c.jpg
巩固练习
【例1】如图所示,几个同学在只有电流表或电压表时,利用一个已知阻值的电阻R0设计了四个测未知电阻Rx阻值的电路,其中不可行的是(      )

918205b8d145f05b56e6e6b46a54e5bf.jpg
答案 C【例2】如图甲所示是测量定值电阻Rx阻值的实验电路。

1f09d96029c3809d2c0ec01259c5b83d.jpg
(1)图乙已连接了部分电路。请你根据图甲所示电路图,用笔画线代替导线,将电路连接完整。连好电
路后闭合开关,发现电流表无示数,电压表有示数,那么电路的故障可能是______________________。

a359a4b5fda8d85341722a2d7d15acbb.jpg
(2)排除故障后,移动滑动变阻器的滑片,当电压表的示数为2.4 V时,电流表的示数如图丙所示,则通过电阻Rx的电流为______A,Rx的阻值为______Ω。
(3)另有同学们设计了如下图所示的两种测量电阻方案。方案中定值电阻的阻值为R0。
①方案一的电路中,闭合开关S,如果电压表V1和V2的读数分别为U1和U2,则电阻Rx的阻值表达式为Rx=_________;
②方案二的电路中,将S接到a时,读出电流表的示数I1;再将S接到b,读出电流表的示数I2;由I2Rx=I1R0可得RxI2(I1R0)。该方案是否可行?_______,理由是:
答案 Rx断路;0.24,10;两次测量时,Rx和R0两端的电压可能不相等,因此不可行
效果验证

79f27a333af6485a00c7e41b3a1940d2.jpg 1.如图是李江同学为测量小灯泡电阻而连接的电路,有关该实验的以下说法,错误的是(  )
A.闭合开关前,应将滑动变阻器的滑片滑到最左端
B.实验过程中两电表都有可能需要换接较小的量程
C.所测小灯泡的电阻值可能随电压表的示数的不同而不同
D.在如图位置闭合开关后,向左移动滑动变阻器的滑片,小灯泡变亮
答案 D

f212c873fab80d74a6a54bcd5dff0ce2.jpg 2.用伏安法测电阻时,某同学连接的电路如图所示,开关闭合后(     )
A.电流表和电压表有示数   
B.电流表烧毁
C.电压表烧毁            
D.电流表的读数为零
答案 D
3.在“用电压表和电流表测电阻的实验”中,用到了如图所示的电路,图中甲是______表,乙是______表,闭合开关后,移动滑动变阻器滑片后,两表的示数如下图所示,则此时电流是______A,电压是____V,待测电阻约____Ω。

536f16a3f25ef3d863037b7a596fba85.jpg
答案 电流,电压,0.36,8,22
4.在“测量小灯泡工作时的电阻”的实验中,图1是小王同学连接的实物电路图。

30931df53baee2e1602aadd73bee990b.jpg
(1)观察实物电路图的连接,有三处错误及不恰当之处,请具体指出。
a._________________________;b.______________________;c._________________________。
(2)改正错误后,请在图2中画出实验电路图。
(3)调节滑动变阻器的滑片至某点,小灯泡正常发光,电压表、电流表如图3、图4所示,电流表的读数为0.20A,电压表的读数为____V。
(4)根据读取的数据,小灯泡正常发光时的电阻为______Ω。
答案 电流表正负接线柱接反,电压表量程选错,滑动变阻器同时连到上接线柱 2.5  12.5
5.图甲是用伏安法测电阻的实物图,所用滑动变阻器的规格是“20 Ω 1 A”,电源为两节新干电池,待测电阻Rx的阻值约为10 Ω。

eaed0211f44ea0126580840ac3830c26.jpg
(1)用笔画线代替导线在图甲中完成实物电路连接,要求滑动变阻器的滑片向B端滑动时连入电路的电阻变大。
(2)正确连接电路后,若甲图中导线a内部断路,其余均完好,闭合开关,观察两只电表的示数,发现________________________________________。
(3)排除故障后,移动滑动变阻器的滑片到某一位置,电压表和电流表的示数如图乙、丙所示,则Rx的阻值为____Ω。
答案 电压表满偏,电流表示数为0,8   
6.小明同学利用电压表和电流表测量小灯泡的电阻值(已知小灯泡的额定电压为2.5V),实验电路图如图
左所示。

0c953aa1ada1f43ca4b8b549f8cbfdba.jpg
1bc1e12ee5e16523ea568a34cfb45d85.jpg
06c4316fe713fd8ec4b8d87747e866b3.jpg      
(1)按左图所示的电路图,将右图中的电压表正确连入电路(用笔画线代替导线)
(2)开关闭合前,滑片P应移到(填"a"或“b”)端;实验中,当滑片P移到某一位置时,电流表A和电压表V示数如图所示,则此时小灯泡的阻值为Ω。
(3)小明在实验时,小灯泡突然熄灭,检查发现A的示数为零,V的示数接近电源电压,请你帮小明分析电路的故障可能是:
答案 b,9,灯泡断路
课后作业1.在测电阻的实验中,实验的器材有:电源(由3节干电池串联组成),电流表(量程0﹣0.6A)、电压表各1个,开关2个,滑动变阻器1只,待测电阻2个,导线若干。
(1)如图1是实验的电路图。
①闭合开关电流表有示数,电压表没有示数,猜想以下3种故障,其中可能的是
A.可能是待测电阻断路    B.可能是开关接线处断路     C.可能是待测电阻短路
为避免出现上述故障时损坏电流表,选择的滑动变阻器的最大阻值应不小于 Ω。
②排除故障后,正确连接电路,闭合开关S,移动滑动变阻器的滑片P,当电压表的示数为1.6V时,电流表的示数如图2所示,则电路中的电流为A,R×=Ω。
(2)实验时某小组同学想利用一只电流表和最大阻值为R0的滑动变阻器完成对未知电阻R×的测量。如图3所示是他们按照设计想法连接的部分实验电路。
①请你依据下面的实验步骤,用笔画线代替导线,将实验电路连接完整。(只添加一条导线)。
A.开关S1和S2都断开,将变阻器的滑片P移到阻值最大处,观察到电流表无示数;
B.保持滑片P位置不动,只闭合开关S1时,读取电流表的示数为I1
C.再闭合开关S2时,读取电流表的示数为I2(I2>I1)。
②请你用I1、I2和R0表示R×,则R×=

dd1ad77aa6a5f1824458563f4fc8a886.jpg
答案
C;7.5;0.32;5;
063af14fcc422f721168c8cfe9216268.png
ee6bd21e130e83e3088530f09f20bde5.jpg
2.如图甲所示是测量定值电阻 Rx阻值的实验电路,器材可以满足实验要求。

296f7df329fa8a69d1db9d65316faf59.jpg
(1)同学们按照图 甲所示的电路图连接实物图时,开关应,滑动变阻器滑片应移到处。正确连接电路后,闭合开关,改变电阻 Rx两端的电压进行了三次测量,其中第二次实验中电流表的示数如图乙所示,请将表格中的实验数据补充完整。
(2)同学们又设计了两种测量方案,方案中定值电阻的阻值为R0
①方案一:闭合开关S,如果电压表V1和V2的读数分别为Ul和U2,则电阻 Rx的阻值表达式为
Rx=
②方案二:电路中Rx≠R0,将S接到a,读出电流表的示数I1;再将S接到b,读出电流表的I2;由I1R0=I2Rx可得<Object: word/embeddings/oleObject2.bin>.请判断结果是否正确并简要说明理由:
答案 (1)断开;阻值最大处,如上表所示;(2)①×R0;②不正确,待测电阻的电压和定值电阻的不相等。
您需要登录后才可以回帖 登录 | 立即注册

本版积分规则

Archiver|手机版|小黑屋|5432教案网 ( 蜀ICP备2022024372号-1 |川公网安备51152402000101号 )|网站地图

GMT+8, 2026-4-24 05:05 , Processed in 0.767599 second(s), 32 queries .

Powered by Discuz! X3.5

© 2001-2026 Discuz! Team.

快速回复 返回顶部 返回列表