找回密码
 立即注册
搜索
查看: 3|回复: 0

[鲁科版] 3.1.2 有机合成路线的设计 有机合成的应用 学案

[复制链接]

2万

主题

224

回帖

13万

积分

管理员

积分
138610
发表于 4 小时前 | 显示全部楼层 |阅读模式
三章有机合成及其应用 合成高分子化合物
第1节 有机化合物的合成
2课时有机合成路线的设计 有机合成的应用

ebba3c46d7188b3adf0ec516673616b9.png
1.落实有机物分子结构分析的思路和方法,建立对有机反应多角度认识模型,并利用模型进一步掌握有机合成的思路和方法。
2.知道有机合成路线设计的一般程序和方法,能对给出的有机合成路线进行简单的分析和评价,了解原子经济性等绿色合成思想的重要性。     

8782edf28c15ac32d21d6947456ef67c.png
   合成路线的设计、逆向合成法

aa671b8cc81698be54f50a5d4fa2d14a.png
1.合成路线设计,其核心在于
2.构建碳骨架,包括在原料分子及中间化合物分子的碳骨架上碳链、
3.写出生成乙烯两个反应:


4.4.实验室制备甲烷的反应式:

  二、有机合成路线的设计
【交流研讨】某种医用胶的分子结构为
f583ca7aa03091ba5a734bc73dc5f361.png 。某同学以乙烯为起始物,为这种有机化合物设计了如下合成路线。

dbd77b83860baa3a7e01aaa6bc29a193.png
在上述合成过程中,碳骨架是如何构建的?官能团是如何转化的?
【归纳总结】
1.有机合成路线的设计
(1)正推法从确定的某种原料分子开始,逐步经过来完成。在这样的有机合成路线设计中,首先要比较原料分子和目标化合物分子在上的异同,包括两个方面的异同;然后设计由转化为的合成路线。
(2)逆合成分析法是指从逆推出、设计合理的合成路线的方法。在逆推过程中,需要逆向寻找能顺利合成目标化合物的,直至选出合适的
自主探究自主阅读教材P117-118内容,体会逆合成法的过程。
【归纳总结】
  • 逆向合成的一般步骤
  •                                                                                           
2.有机合成路线选择原则
(1)成路线是否符合
(2)合成操作是否
(3)是否符合绿色化学思想。
绿色化学化学思想的主要出发点是:有机合成中的原子性,原料的,试剂与催化剂的性。
三、有机合成的应用
  • 通过有机合成制得的     、       、         等物质广泛地应用于农业 、轻工业、重工业 、国防工业 等众多领域。
  • 在化学基础研究方面,有机合成也是一个重要的工具。
课堂小结


ff89513ce61f3424b0df47de95f9eecf.png
1以溴乙烷为原料制备乙二醇,下列方案最合理的是(    ))
A
39f4252d75f4d483f9c319af947168c3.png
39f4252d75f4d483f9c319af947168c3.png
2.在有机合成中,常需要将官能团消除或增加,且要求过程科学、简捷,下列相关过程不合理的是(  )
3.在“绿色化学工艺”中,理想状态是反应物中的原子全部转化为欲制得的产物,即原子利用率为100%。①置换反应 ②化合反应 ③分解反应 ④取代反应 ⑤加成反应 ⑥消去反应 ⑦加聚反应 ⑧缩聚反应等反应类型中能体现这一原子经济性原则的是(  )
A.只有①②⑤            B.只有②⑤⑦
C.只有⑦⑧           D.只有⑦
4.绿色化学提倡化工生产应提高原子利用率,原子利用率表示目标产物的相对原子质量总和与反应物的相对原子质量总和之比,在下列制备环氧乙烷的反应中,原子利用率最高的是(  )
5.以1­氯丙烷为原料制备1,2­丙二醇的路径为
A.消去、水解、加成           B.消去、加成、水解
C.加成、水解、消去           D.水解、加成、消去
6.下列是以乙烯为原料合成丙酸(CH3CH2COOH)的途径,不可能达到目的的是(  )
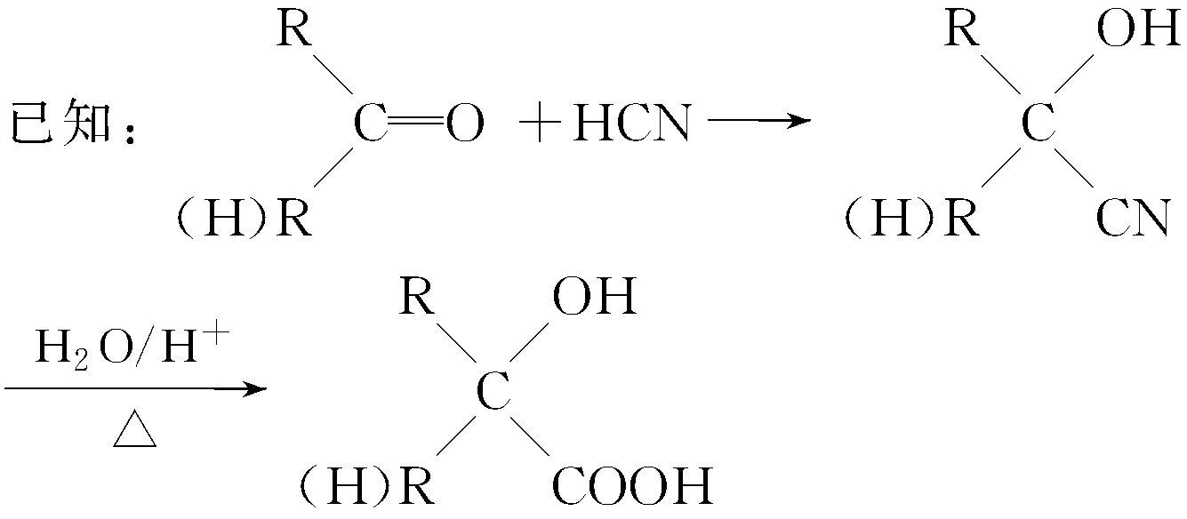
7.已知:
请运用已学过的知识和上述给出的信息写出由乙烯制正丁醇各步主要反应的化学方程式(不必写出反应条件)。
8.软性隐形眼镜可由聚甲基丙烯酸羟乙酯制成超薄镜片,其中聚甲基丙烯酸羟乙酯的合成路线如图所示:

3d3263ebd99aa2e0370a75c65071d7fd.png

fafe7820472bee19b734592e90a00d03.png
试回答下列问题
(1)AE的结构简式分别为A__________,E__________________________________
(2)写出下列反应的反应类型:A→B___________________________________________,
E→F________________。
(3)写出下列反应的化学方程式:
I→G___________________________________________________________________。
C→D___________________________________________________________________。
检测反馈答案
1.【答案】D
解析】题干中强调的是最合理的方案,A项与D项相比,步骤多一步,且在乙醇发生消去反应时,容易发生分子间脱水、氧化反应等副反应;B项步骤最少,但取代反应不会停留在只生成“CH2BrCH2Br”阶段,副产物多,分离困难,原料浪费;C项比D项多一步取代反应,显然不合理;D项相对步骤少,操作简单,副产物少,较合理。
2.【答案】B
解析】溴乙烷可以直接在氢氧化钠水溶液中水解生成乙醇,不需要先发生消去反应,再发生加成反应。
3.【答案】B
解析】根据原子利用率表示目标产物的相对原子质量总和与反应物的相对原子质量总和之比,比值越高,原子利用率越高,显然原子利用率达到100%时最高,即反应物完全转化为目标产物。
4.【答案】C
解析】C中乙烯氧化制备环氧乙烷的反应,所有原子全部转化为产物,反应完全,因此原子利用率最高。
5.【答案】B
解析】由化学键的不饱和度变化得知,第一步为消去反应,第二步为加成反应,第三步为取代(或水解)反应。
6.【答案】A
解析】A同学的设计中化合物X为甲醛与乙醛在碱性环境下反应生成HO—CH2—CH2—CHO,然后再发生催化氧化时不能生成丙酸,故不合理。
7.【答案】(1)CH2===CH2+H2O→CH3CH2OH
(2)2CH3CH2OH+O2→2CH3CHO+2H2O

fe55248419b642a626639031b0117309.png
解析】由题给信息知:两个醛分子在一定条件下通过自身加成反应,得到的不饱和醛分子中的碳原子数是原参加反应的两个醛分子的碳原子数之和。再根据最终产物正丁醇中有4个碳原子,原料乙烯分子中只有2个碳原子,可推理得出合成路线:将乙烯氧化为乙醛,两个乙醛分子再进行自身加成反应生成丁烯醛,最后用H2与丁烯醛中的碳碳双键和醛基进行加成反应,便可得到正丁醇。本题基本采用正向思维方法。
本题中由乙烯合成乙醛的方法有两种:
8.【答案】(1)CH2===CHCH3 (CH3)2C(OH)COOH
(2)加成反应 消去反应
您需要登录后才可以回帖 登录 | 立即注册

本版积分规则

Archiver|手机版|小黑屋|5432教案网 ( 蜀ICP备2022024372号-1 |川公网安备51152402000101号 )|网站地图

GMT+8, 2026-4-4 08:19 , Processed in 1.280959 second(s), 37 queries .

Powered by Discuz! X3.5

© 2001-2026 Discuz! Team.

快速回复 返回顶部 返回列表