找回密码
 立即注册
搜索
查看: 173|回复: 0

[鲁科版] 2.4.3 氨基酸和蛋白质 学案

[复制链接]

4万

主题

224

回帖

19万

积分

管理员

积分
197638
发表于 2026-4-4 03:29:44 | 显示全部楼层 |阅读模式
第二章能团与有机化学反应  烃的衍生物
第三节 羧酸  氨基酸和蛋白质
第3课时 氨基酸和蛋白质

ebba3c46d7188b3adf0ec516673616b9.png
1.能根据氨基酸、蛋白质的官能团及官能团的转化,认识不同氨基酸、蛋白质及性质上的差异。
2.认识蛋白质是生命活动的物质基础是人体必需的营养物质。  

8782edf28c15ac32d21d6947456ef67c.png
     氨基酸、蛋白质的结构与性质

aa671b8cc81698be54f50a5d4fa2d14a.png
1.羧酸衍生物:羧酸分子中羧基上的被其他取代得到的产物。
常见的羧酸衍生物有
2.酯酸性条件水解的通式:
3.酯碱性条件水解的通式:
4.取代羧酸:羧酸分子中上的氢原子被其他取代的羧酸,常见的取代羧酸有等。

afa63b075e40656b6af52147aad05a2a.png
二.氨基酸和蛋白质
1.氨基酸
(1)结构:氨基酸是取代了羧酸分子中的氢原子形成的取代羧酸。其官能团是属于取代羧酸。
α­氨基酸:分子中和都连在同一个碳原子上的氨基酸,其结构可表示为。
(2)常见的氨基酸
甘氨酸 缬氨酸 苯丙氨酸
(3)性质
氨基酸分子中含有酸性官能团和碱性官能团。氨基酸既能与酸反应生成盐,又能跟碱反应生成盐,是一种两性化合物。
氨基酸的解离过程:
甘氨酸与稀盐酸的反应方程式:
甘氨酸与氢氧化钠溶液的反应方程式:
2.多肽
肽:一个α­氨基酸分子的与另一个α­氨基酸分子的脱去一分子所形成的 称为肽键所生成的化合物称为___。
多肽:由两个氨基酸分子脱水缩合形成的是,由三个氨基酸分子脱水缩合形成的是,以此类推。均可称为多肽。
【练习】写出甘氨酸与丙氨酸生成二肽的反应方程式。


【思考】(1) 下图多肽链属于肽,形成该化合物的氨基酸有种,含有肽键的数目是。

dd409eb9cf3ef2f580e3121044ecb607.png
(2)甘氨酸与丙氨酸最多能形成几种二肽,写出其可能的结构简式。
(3)由n个氨基酸分子发生成肽反应,生成一个肽链时,会生成(n-1)个水分子和(n-1)个肽键。
3.蛋白质
(1)组成:蛋白质中主要含有等元素,属于天然有机化合物。其溶液具有的某些性质。
(2)结构:分子按一定的顺序以连接起来的生物大分子称为蛋白质,其一定含有的官能团是
一级结构:分子脱水缩合形成的多肽是按一定顺序排列的结构,这种顺序就是蛋白质的一级结构。
二级结构:在一条多肽链中,不相邻的碳氧双键和氮氢键之间可以形成,使多肽链具有规则的结构,这就构成了蛋白质的二级结构,主要有两种形式。
三级结构:在蛋白质二级结构的基础上,同一条多肽链中的之间可以形成等,使二级结构再按照一定的形状卷曲,这就是蛋白质的三级结构。
四级结构:组成的空间结构状态称为蛋白质的均一四级结构,由组成的空间结构状态称为蛋白质的非均一四级结构。
(3)性质
【思考回顾】回顾必修内容,思考总结蛋白质的主要性质由哪些?
4.酶
(1)概念:酶是一种高效的,大多数酶属于
(2)催化特点:
【课堂小结】

ff89513ce61f3424b0df47de95f9eecf.png
1.诗句“春蚕到死丝方尽,蜡炬成灰泪始干”中“丝”和“泪”分别指(  )
A.蛋白质、烃类           B.纤维素、油脂
C.淀粉、油脂           D.蛋白质、硬化油
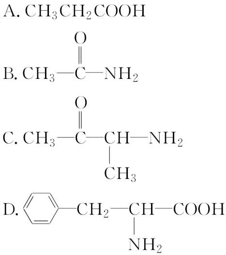
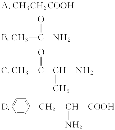
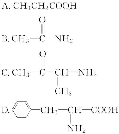
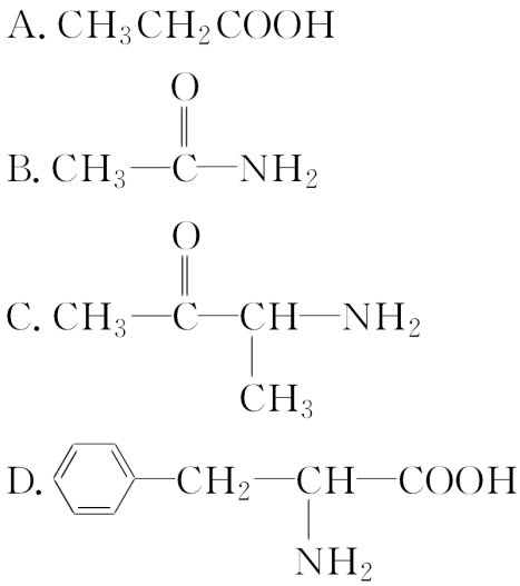
2.下列物质中属于氨基酸的是(  )
A.   
a51a23cf319f0afe48303b11af460855.png         B.
a51a23cf319f0afe48303b11af460855.png
C.  
a51a23cf319f0afe48303b11af460855.png         D.
a51a23cf319f0afe48303b11af460855.png
3.既能与盐酸反应,又能与氢氧化钠溶液反应的有机物是(  )
A.氨基酸               B.醋酸
C.小苏打           D.酒精
4.下列关于蛋白质的叙述错误的是(  )
A.浓HNO3溅到皮肤上,使皮肤呈黄色,是由于浓HNO3和蛋白质发生显色反应
B.灼烧羊毛时会产生烧焦羽毛的气味
C.蛋白质水解的最终产物是肽类化合物
D.高温灭菌的原理是加热后使蛋白质变性,从而使细菌死亡
5.要使蛋白质从水溶液中析出而又不改变蛋白质的主要性质,应向其中加入(  )
A.酒精             B.浓NaOH溶液
C.浓NaCl溶液           D.浓BaCl2溶液
6.蛋白质发生的下列变化中,可逆的是(  )
A.煮熟           B.加入浓硫酸变黑
C.盐析           D.加入浓硝酸变黄
7.下列说法正确的是(  )
A.糖类、油脂、蛋白质都能发生水解反应
B.糖类、油脂、蛋白质都是由C、H、O三种元素组成的
C.糖类、油脂、蛋白质都是高分子化合物
D.油脂有油和脂肪之分,但都属于酯
8.
949417955b14785030b88833b162139a.png 是一种由三种α­氨基酸分子脱水缩合生成的五肽的结构简式,这种五肽彻底水解时,不可能产生的氨基酸是(  )
A.
542ebf90d8e9bdc0397fd17f3e963317.png            B.
542ebf90d8e9bdc0397fd17f3e963317.png
C.
542ebf90d8e9bdc0397fd17f3e963317.png           D.
542ebf90d8e9bdc0397fd17f3e963317.png
9.褪黑素是一种内源性生物钟调节剂,在人体内由食物中的色氨酸转化得到。

848a837feb50e09f7c39759d97a59467.png
下列说法不正确的是(  )
A.色氨酸分子中存在氨基和羧基,可形成内盐,具有较高的熔点
B.在色氨酸水溶液中,可通过调节溶液的 pH 使其形成晶体析出
C.在一定条件下,色氨酸可发生缩聚反应
D.褪黑素与色氨酸结构相似,也具有两性化合物的特性
10.我国在有机分子簇集和自由基化学研究领域走在世界前列,某物质A(结构简式如图)是科学家在研究过程中涉及的一种物质。

1050d23c910f6c9f27501ca0c93523d8.png
(1)A________(填“是”或“不是”)蛋白质;A中官能团①的名称为________,该化合物是由________个氨基酸分子发生成肽反应形成的。
(2)该化合物水解时,生成的芳香族化合物的结构简式为________。组成中含有④的水解产物若发生分子内成肽反应,则可得到________种有机物。该化合物水解时生成的相对分子质量最小的氨基酸与NaOH反应的化学方程式是____________________________。
解析:因A分子中只有3个肽键,故不是蛋白质。A分子中有3个肽键,水解时可得到4个氨基酸分子。水解产物中含有④的有机物为
952712c9d3e0af2ed60866b01e5c4f74.png ,氨基处于非对称位置上,故发生分子内成肽反应时可得到2种含肽键的物质。A水解得到的相对分子质量最小的氨基酸是H2NCH2COOH,它与NaOH发生的是中和反应。
检测反馈答案
1.【答案】A
【解析】诗句中的“丝”含有的物质是蛋白质,诗句中的“泪”指的是液态石蜡,液态石蜡是烃。
2.【答案】D
【解析】既有氨基(—NH2)又有羧基(—COOH)的有机物属于氨基酸。
3.【答案】A
【解析】氨基酸含有氨基和羧基,既能与盐酸反应,又能与氢氧化钠溶液反应,A正确;醋酸是酸,与盐酸不反应,B错误;小苏打是碳酸氢钠,不是有机物,C错误;酒精既不能与盐酸反应,又不能与氢氧化钠溶液反应,D错误。
4.【答案】C
【解析】蛋白质水解的最终产物为氨基酸。
5.【答案】C
【解析】有机物、酸、碱、重金属盐溶液均能使蛋白质失去活性。
6.【答案】C
【解析】煮熟蛋白质属于蛋白质的变性,是不可逆过程,故A错误;向蛋白质中加入浓硫酸,浓硫酸能使蛋白质变性,是不可逆过程,故B错误;当向蛋白质溶液中加入的盐溶液达到一定浓度时,会使蛋白质的溶解度降低而从溶液中析出,这种作用叫盐析,盐析是可逆的,所以C选项是正确的;加入浓硝酸能使蛋白质变性,变性是不可逆过程,故D错误。
7.【答案】D
【解析】糖类包括单糖、二糖和多糖,二糖和多糖能水解,单糖不水解,A错;糖类、油脂都是由C、H、O三种元素组成的,蛋白质的水解产物中含有氨基酸,氨基酸中含有 —NH2,则推知蛋白质中除含C、H、O三种元素外,还含有N元素等,B错;糖类中的单糖和二糖及油脂都不是高分子,多糖及蛋白质是高分子,C错。
8.【答案】D
9.【答案】D
【解析】色氨酸分子中存在氨基和羧基,可以分子内脱水形成内盐,色氨酸分子间可以形成氢键,具有较高的熔点,A正确;色氨酸含有氨基和羧基,能与酸、碱反应,因此调节 pH 能使其形成晶体析出,B正确;色氨酸含有氨基和羧基,分子间可发生缩聚反应,C正确;色氨酸含有氨基和羧基,褪黑素含有酰胺键,二者的结构不相似,但都既能与酸反应又能与碱反应,D不正确。
10【答案】(1)不是 肽键 4

39b518ca052fca800b9f8a1eaea9207e.png
【解析】因A分子中只有3个肽键,故不是蛋白质。A分子中有3个肽键,水解时可得到4个氨基酸分子。水解产物中含有④的有机物为
952712c9d3e0af2ed60866b01e5c4f74.png ,氨基处于非对称位置上,故发生分子内成肽反应时可得到2种含肽键的物质。A水解得到的相对分子质量最小的氨基酸是H2NCH2COOH,它与NaOH发生的是中和反应。
您需要登录后才可以回帖 登录 | 立即注册

本版积分规则

Archiver|手机版|小黑屋|5432教案网 ( 蜀ICP备2022024372号-1 |川公网安备51152402000101号 )|网站地图

GMT+8, 2026-5-26 08:11 , Processed in 2.338260 second(s), 32 queries .

Powered by Discuz! X3.5

© 2001-2026 Discuz! Team.

快速回复 返回顶部 返回列表