找回密码
 立即注册
搜索
查看: 3|回复: 0

[鲁科版] 2.2.2 酚 教学设计

[复制链接]

2万

主题

224

回帖

13万

积分

管理员

积分
138610
发表于 4 小时前 | 显示全部楼层 |阅读模式
二章能团与有机化学反应  烃的衍生物
2节 醇和酚
2课时

2d911c28aa6d0b5e327bc53bd23dc75e.png
酚类物质也是分子中含有羟基的一类有机化合物,但由于不同的酚羟基所连的苯环不同。性质差异较大。所以酚类物质是采用具体代表物的方式进行学习,主要讨论苯酚的性质。在苯酚的化学性质部分,则让学生考虑其性质并与苯和醇的性质进行比较,先通过"活动·探究"分析苯酚的结构,探究苯酚的性质,再从官能团的相互够响角度分析苯酚的化学性质。

44ddef8ea81d029bb1c1e28076c9ed83.png
宏观辨识与微观探析
通过认识酚分子中羟基连接方式的不同,了解苯酚的主要性质,理解羟基和苯环的相互影响,形成物质结构决定性质的核心理念。
科学态度与社会责任
通过苯酚性质的学习,了解苯酚及酚类的毒性及其对环境的危害,要合理应用。

c7bdfce928195d2be7304732f1718f14.png
苯酚的化学性质

7f87df24f2527dcef87ce314c1561c39.png
   实验用品、课件素材、学案

c65032410c0ff1332091edf2c345b64f.png
知识回顾根据学案回顾醇和酚结构的区别
板书三、酚
引入酚在自然界中广泛存在,很对酚类物质是重要的化工原料,如煤焦油中的苯酚、苯甲酚。
投影

e11aea5e0c78f40857429f5ccd9b0864.png
活动根据酚的结构特点,写出最简单的酚的分子式、结构式和结构简式。
投影

3a510af23e7b67a73bbe479eff144a20.png
讲述最简单的酚为苯酚,俗称石炭酸。
投影

c9f215cd6c1f67694902f1e03a4233e6.png
思考根据苯酚的结构归纳脂肪醇、芳香醇和酚的区别
投影

3416dc00a324fae4d38fe80e5a34e528.png
活动探究】1.取少量苯酚晶体于试管中,观察苯酚的颜色、状态,闻闻苯酚的气味。
2.在试管中加入2mL蒸馏水,震荡试管。
3.将上述试管加热。
4.用冷水冷却试管。
5.另取少量苯酚于试管,加入2mL乙醇,震荡试管。
展示学生展示探究结果
投影

a0efbb1fb468ed655da8102bec9762d8.png
讲述苯酚是有特殊气味的无色晶体,熔点为 40.9 ℃。易被氧化为粉红色常温下苯酚在水中的溶解度不大,温度高于 65 ℃时则能与水互溶。苯酚具有一 定的杀菌能力,可以用作杀菌消毒剂。因苯酚的浓溶液对皮肤有强烈的腐蚀性,使用时 要小心;如果不慎沾到皮肤上,应立即用酒精清洗。
过渡从结构上看,苯酚分子是由一个苯环和一个羟基组成的。那么,苯酚是否具有与苯或醇相同的化学性质呢?苯环和羟基两个基团之间是否存在相互影响呢?
活动探究请大家分析苯酚的结构,预测苯酚的性质,思考如何利用所给试剂设计实验证明你的预测。
展示学生展示预测性质和设计实验。
思考苯酚俗称石炭酸,苯酚的羟基是否有酸性呢?请同学们根据提供的试剂,小组设计实验进行探究。
板书1.苯环对羟基的影响
活动探究1.取适量苯酚溶液和乙醇于两支试管,分别滴加石蕊试液,观察现象。
            2.向苯酚的悬浊液中逐滴滴加氢氧化溶液,观察现象。
投影展示

84dcbeed8a68cb118d536eb9283f325f.png
84dcbeed8a68cb118d536eb9283f325f.png
引导请同学们写出苯酚的电离方程式,以及苯酚和氢氧化钠溶液反应的化学方程式。
投影

9e47eff577c20537fb0dfd7a3269eced.png
思考如何利用所给的试剂证明苯酚具有弱酸性,以及和碳酸相比苯酚的酸性强弱?请大家设计实验进行探究。
探究活动1.向苯酚钠溶液中滴加稀盐酸观察现象。
      2.向苯酚钠溶液中通入二氧化碳气体,观察实验现象。
投影展示

b5901cf878ccc21033ba9ff8c15db697.png
792b9654aceb86ca7291b5b0d5f406e7.png
引导请大家写出有关的化学方程式
投影展示

be08c23b43f0a187f3eacce2e2bf7e7e.png
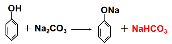
思考向苯酚钠溶液通入二氧化碳,生成的为碳酸氢钠钠,是否能生成碳酸钠呢?大家能设计实验进行证明吗?
实验探究向苯酚的悬浊液中滴加碳酸钠溶液
投影展示

64fdf00bac0142d41731875e5d936a70.png
引导写出有关的反应方程式
投影

e1b965dc8d5ffd1c8f67c924e2b3e2f6.png
总结根据同学们的探究,我们知道苯酚的羟基有弱酸性,且酸性比碳酸氢根强,但比碳酸弱。这说明苯环对羟基确实产生了影响。
投影

ba171143b635b9bda1594c0de9b63219.png
归纳总结请大家根据以上实验,归纳总结苯酚和乙醇性质的差异。完成学案表格
投影
af0dfff627204ca168f6a8ef440d5869.png
过渡苯环上的氢原子在一定条件下可以被卤素原子取代,羟基的存在对苯环上氢原子活性是否有影响呢?请大家根据所给试剂设计实验进行探究。
板书2.羟基对苯环的影响
实验探究1.取苯酚稀溶液于试管中,滴加浓溴水,观察现象,并写出反应的化学方程式。
投影展示

cea951f6450f19263b918bde099768ea.png
交流研讨根据实验探究的结构,小组进行讨论,从反应物、反应条件、被取代氢原子数、反应速率等方面对比苯酚和苯溴代反应区别,并分析原因。完成学案表格
投影

8807d60655ca030bf076efcc7837e886.png
总结】受羟基的影响,苯基上的邻、对位的H变得更活泼了,容易被取代。该反应可用作苯酚的检验和定量测定。
思考】如何除去混在苯中的苯酚?能不能采用先加入溴水再过滤的方法?
总结】不能用溴水。虽然苯酚会和溴水反应生成的三溴苯酚难溶于水,但易溶于苯中而不易分离。从除杂彻底的角度来说,加溴水要过量,而过量的溴又混入了苯中。正确的方法为先加入足量的烧碱溶液,然后再分液。
实验探究向苯酚稀溶液中滴加溶液FeCl3溶液,观察现象。
投影

2fa1bd44035da5b1bfcf765a2349a925.png
讲述】大多数的酚都能与 FeCl3 溶液反应显出色,因而这一反应也常用于酚的检验,也可用于三价铁离子检验。另外苯酚分子中的苯环受羟基的影响而被活化,还表现为苯酚能与甲醛发生聚合反应,生成酚醛树脂。
投影

9896c838ff8fc18c94d0043030505ae2.png
讲述】酚醛树脂不易燃烧,具有良好的电绝缘性,俗称“电木”,被广泛用来生产电闸、电灯开关、灯口、电话机等电器用品,
投影

e8e008d6fcbc60bf1f02407632a2fc62.png
总结通过以上探究,我们知道在苯酚中,羟基与苯环这两个基团之间存在相互影响,使苯酚的化学性质与醇或苯相比有明显的不同。
讲述酚类化合物在人类的生产和生活中有着广泛的用途。例如,甲酚常用于制造有消毒 作用的酚皂;从葡萄中提取的酚具有延缓衰老的功效,可用于制造化妆品;茶叶中的酚 具有抗癌、防腐作用,可用于制备抗癌药物和食品防腐剂;很多农药的主要成分也含有酚类物质。
投影

741f81d1a5e985be0d6682d5bb4fd621.png
讲述生漆是世界公认的“涂料之王”,是车船、电缆、军工、建筑、家具和工艺品常用的高级涂料。它的主要成分之一是漆酚,
投影

9a340996c2c6fa740c2506fe5bd368ed.png
讲述生活中的一些现象也与酚类性质有关,如新鲜的香蕉、苹果、梨、茄子、马铃薯等果蔬被碰伤、切开或遭遇病害时,其组织中的酚暴露在空气中,容易在多酚氧化酶的催化下被氧化而发生褐变。
投影

6b4f712d86b2a9122ec51bdf318e13c6.png
讲述】由于基团之间存在相互影响,苯酚的化学性质与醇或苯相比有明显的不同。这也是结构决定性质的一个具体表现方面。酚类物质在制备酚醛树脂、燃料、医药、农药、食品等许多方面都有着重要的作用,但是如果不能合理科学绝利用酚,酚类物质同样会破坏环境、危害人类和动植物的健康。所以,我们应该正确地学习、认识并运用好酚类物质,让酚类物质使我们的生活更加美好!
课堂小结

04adc19ac7e2dbaf2a60ad158257bab7.png

57790ae173cb6070d53a89b57c0c9cdc.png
   本课时的教学设计主要以实验探究的性质展开,将知识构建与实验探究相结合来实现教学目标。通过引导学生根据结构预测性质、进行实验探究并对比苯酚与醇或苯的化学性质的不同,从苯环对羟基的影响和羟基对苯环的影响这两个方面进行学习,即可以让学生深入体会基团之间存在相互影响,又可以让他们对苯酚的化学性质形成全面的认识,帮助他们更好地体会结构对性质的影响以及一有机物化合物基团之间的相互影响对有机化合物性质所起的作用。
您需要登录后才可以回帖 登录 | 立即注册

本版积分规则

Archiver|手机版|小黑屋|5432教案网 ( 蜀ICP备2022024372号-1 |川公网安备51152402000101号 )|网站地图

GMT+8, 2026-4-4 08:17 , Processed in 0.992369 second(s), 37 queries .

Powered by Discuz! X3.5

© 2001-2026 Discuz! Team.

快速回复 返回顶部 返回列表