找回密码
 立即注册
搜索
查看: 3|回复: 0

[鲁科版] 1.1 认识有机化学 学案

[复制链接]

2万

主题

224

回帖

13万

积分

管理员

积分
138610
发表于 5 小时前 | 显示全部楼层 |阅读模式
1章 有机化合物的结构与性质 烃
1认识有机化学

ebba3c46d7188b3adf0ec516673616b9.png
1. 从化学史角度了解有机化学的发展过程;
2.熟悉有机化合物的常见分类方法及其主要类别;
3.认识官能团的种类,掌握简单有机化合物的命名。

8782edf28c15ac32d21d6947456ef67c.png
      化学发展史,简单有机化合物的命名

aa671b8cc81698be54f50a5d4fa2d14a.png
1.什么是有机物?有机物包含哪些物质?
2.有机化合物的通性是什么?
3.有机物种类繁多的原因是什么?


afa63b075e40656b6af52147aad05a2a.png
【自主学习】阅读课本p2-5
一 有机化学的发展
1.萌发和形成阶段:__________________________________________________________________
舍勒:______________________________________________________________________________
贝采利乌斯:_________________________________________________________________________
维勒:______________________________________________________________________________
李比希:______________________________________________________________________________
2.发展和走向辉煌时期:
①理论研究:_________________________________________________________________________
②结构测定:_________________________________________________________________________
③合成设计方法:______________________________________________________________________
二 有机化合物的分类和命名
【交流研讨】1.怎样对有机化合物进行分类?
⑴ 根据,分为
⑵ 根据,分为
⑶ 根据,分为
分别从以上三个角度,对课本P5交流研讨16种有机化合物进行分类。
按标准⑴分为
按标准⑵分为
按标准⑶分为
【小结】
根据树状分类法,按碳骨架分别对有机化合物和烃进行分类。
【教材延申】
脂环烃中,碳环中的碳原子之间完全以单键相连的称为环烷烃。环烷烃也是饱和烃。
2.常见的官能团的结构和名称
【自主学习】课本p7-8,填写下列表格。
类别
官能团的结构
官能团的名称
实例

烷烃
烯烃
炔烃
芳香烃
烃的衍生物
卤代烃





羧酸


酰胺
【名师提醒】
⑴烷基和苯基都不是官能团;
⑵醇和酚的官能团都是羟基,区别在于酚羟基直接与苯环相连;
⑶酯基中的R不能为H;
⑷教材新变化:卤素原子也可称为“碳卤键”,此外,新增了“氨基”和“酰胺基”。
3.同系物:
⑴定义:_____________________________________________________________________
⑵判断依据:
两同:类别相同,组成通式相同;
一差:组成相差一个或若干个CH2
一相似:分子结构相似(官能团的种类和数目相同)
【名师提醒】符合同一组成的有机物不一定互为同系物。如环烷烃和单烯烃。
4.有机物的命名
⑴习惯命名法:
分子中碳原子数在10以下的,用甲、乙、丙、丁、戊、己、庚、辛、壬、癸来表示;
分子中碳原子数在10以上的,用汉字数字来表示。
例:CH3(CH2)3CH3称为戊烷,CH3(CH2)14CH3称为十六烷。
再如,戊烷的三种异构体,可用“正”“异”“新”来区别。
⑵系统命名法:
①选主链 选碳原子数目最多的碳链为主链,将连在主链上的原子团看做取代基。按照主链碳原子的个数称为“某烷”。
②编号定位从距离取代基最近的一端开始,用阿拉伯数字给主链的碳原子依次编号以确定取代基的位置。
③定名称 将取代基的名称写在烷烃名称的前面,在取代基前面用阿拉伯数字注明它在烷烃主链上所处的位置,并用短线“-”将数字与取代基名称隔开。若主链上有相同的取代基,可以将取代基合并,用汉字数字表示取代基的个数,用“,”将表示取代基位置的阿拉伯数字隔开,主链上有不同的取代基,要把简单的写在前面、复杂的写在后面。
【典例解析】运用系统命名法,对下列有机物进行命名。

208bdc59bdecba588c5ef6e41c878557.png

f82968704c4f4b0d18213104c20b666a.png
【学后反思】

                                                                                                                                                                                                                                                                                                                                                                                                                    

ff89513ce61f3424b0df47de95f9eecf.png
1.下列物质属于脂肪烃的是(    )
A.
e9ff92cdcdc11c40b19214bd1b76efcb.png         B.CH3CH2CH3        C.CH3CH2Cl        D.
6b0fab4b4140faf49f2ce9aa6fe17a20.png
2.下列各组物质中,属于同系物的是(    )

712d168f45e3fbe97241a02c3ac4bd9d.png     ②<Object: word/embeddings/oleObject1.bin>        ③
faf1755c290bba86f900ee7d0356bb5c.png     ④
bf1c45aa09457810754a501d2a1a1fa4.png
A.①③        B.①④        C.②③        D.②④
3.下列有关同系物、同分异构体的说法正确的是(    )
A.分子组成相差一个或多个CH2原子团的物质互为同系物
B.结构不同,相对分子质量相同的物质一定是同分异构体
C.同系物的化学性质相似,同分异构体的化学性质一定不相似
D.正丁烷与甲烷互为同系物
4.具有解热镇痛作用及消炎用途的药物“芬必得”的主要成分如图,对其叙述正确的是(    )

68c34995410d6e80da5c21abb6d001ae.png
A.苯的同系物        B.属于芳香烃        C.属于羧酸类        D.属于酯类
5.按物质的分类方法进行分类,下列物质属于同一类物质的是(    )
A.
15d312a6b1d58101d7fb947b97bc4899.png 和<Object: word/embeddings/oleObject2.bin>
B.正戊烷和新戊烷
C.<Object: word/embeddings/oleObject3.bin>和<Object: word/embeddings/oleObject4.bin>
D.<Object: word/embeddings/oleObject5.bin>和<Object: word/embeddings/oleObject6.bin>
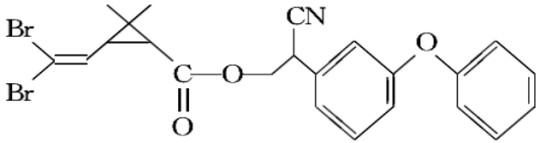
6.下列有关化合物
6d5008c98c4a936d6673b619b5f6d554.png 的叙述不正确的是(    )
A.属于烃的衍生物        B.属于卤代烃
C.属于芳香化合物        D.分子中含有酯基
7.下列各组物质之间,互为同系物的是(    )
A.HCHO与<Object: word/embeddings/oleObject7.bin>        B.<Object: word/embeddings/oleObject8.bin>与<Object: word/embeddings/oleObject9.bin>
C.<Object: word/embeddings/oleObject10.bin>与HCOOH        D.<Object: word/embeddings/oleObject11.bin>与<Object: word/embeddings/oleObject12.bin>
8.(双选)下列各组有机物中,不论两者以何种比例混合,只要总物质的量一定,则完全燃烧时生成的水的质量和消耗的氧气的质量不变的是(    )
A.C3H8,C4H6        B.C3H6,C4H6O2        C.C2H2,C6H6        D.CH4O,C3H4O5
9.下列有关物质的分类或归类正确的是
A.化合物:CaCl2、烧碱、聚苯乙烯、HD
B.电解质:明矾、氯化氢、冰醋酸、硫酸钡
C.同系物:CH2O2、C2H4O2、C3H6O2、C4H8O2
D.同位素:<Object: word/embeddings/oleObject13.bin>、<Object: word/embeddings/oleObject14.bin>、<Object: word/embeddings/oleObject15.bin>
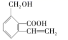
10.某有机化合物的结构简式为:
d752c2f1da10619bae7690f08dcef24d.png
(1)请写出该有机物具有的官能团名称:
①  ___________;② ___________  ;③  ____________ 。
(2)该有机物属于___________________________ (填选项字母)   。
①酯类化合物  ②多官能团有机物  ③芳香烃  ④烃的衍生物  ⑤醇类化合物  ⑥芳香化合物  ⑦烯烃
A.①②③④            B.①②④⑦          C.②④⑤⑥               D.②⑤⑥⑦
【答案解析】
1.B
【详解】
A.脂肪烃是指链状烃,A项含有苯环,属于芳香烃,A错误;
B.链状化合物,只含碳元素和氢元素,属于脂肪烃,B正确;
C.含有氯元素,不属于烃,C错误;
D.含有氯元素,不属于烃,D错误;
故选B。
2.B
【详解】
<Object: word/embeddings/oleObject16.bin>
045480101067269d262b567b13362930.png ,分子式均为<Object: word/embeddings/oleObject17.bin>,分子式相同,不满足同系物的要求,属于同分异构体;
89bdd2614937ad20e4b22479af1cf8ca.png 分子式为<Object: word/embeddings/oleObject18.bin>,①③④都是烷烃,①④及③④结构相似,分子组成上相差2个<Object: word/embeddings/oleObject19.bin>,①④及③④互为同系物,<Object: word/embeddings/oleObject20.bin>与其他物质均不相差n个<Object: word/embeddings/oleObject21.bin>,不是同系物,故B正确。
故选B。
3.D
【详解】
A.互为同系物的有机物除了分子组成相差一个或若干个“CH2”之外,还要求结构相似,A错误;
B.同分异构体要求分子式相同,不是相对分子质量相同,比如CO和N2相对分子质量都是28,但它们不互为同分异构体,B错误;
C.互为同分异构体的有机物化学性质有可能相似如正丁烷和异丁烷,也可能不相似如甲酸甲酯和乙酸,C错误;
D.正丁烷与甲烷结构相似,分子组成相差3个“CH2”原子团,互为同系物,D正确;
故选D。
4.C
【详解】
A.苯的同系物中只含有C、H元素,该分子结构简式中含“<Object: word/embeddings/oleObject22.bin>”,不是苯的同系物,故A不符合题意;
B.芳香烃中只含C、H元素,该分子结构简式中含“<Object: word/embeddings/oleObject23.bin>”,不属于芳香烃,故B不符合题意;
C.该分子结构简式中含“<Object: word/embeddings/oleObject24.bin>”, 属于羧酸类,故C符合题意;
D.该分子不含酯基,不是酯类,故D不符合题意;
答案选C。
5.B
【详解】
A.
15d312a6b1d58101d7fb947b97bc4899.png 属于环烷烃,<Object: word/embeddings/oleObject25.bin>中含有官能团碳碳双键,属于烯烃,A项错误;
B.正戊烷和新戊烷均是烷烃,B项正确;
C.<Object: word/embeddings/oleObject26.bin>属于醚,<Object: word/embeddings/oleObject27.bin>属于醇,类别不同,C项错误;
D.<Object: word/embeddings/oleObject28.bin>中含有酯基,属于酯,<Object: word/embeddings/oleObject29.bin>中含有羧基,属于羧酸,D项错误;
故选B。
6.B
【详解】
A. 烃分子中的氢原子被其他原子或者原子团所取代而生成的一系列有机化合物称为烃的衍生物,该分子中除了含有C、H元素外,还含有溴原子、酯基、醚键等,属于烃的衍生物,A正确;
B. 该分子中含有溴原子,但是卤代烃是烃分子中的氢原子被卤素原子取代而形成的化合物,故不属于卤代烃,B错误;
C. 分子中含有苯环,含有苯环的有机物属于芳香化合物,C正确;
D. 分子中含有
9b71ce683f9844d73c8a36625ca54240.png ,为酯基,D正确;
故选B。
7.C
【详解】
A.HCHO是甲醛,<Object: word/embeddings/oleObject30.bin>是甲酸甲酯,二者结构不相似, A项错误;
B.<Object: word/embeddings/oleObject31.bin>是乙醇,<Object: word/embeddings/oleObject32.bin>是乙酸,二者结构不相似,B项错误;
C.<Object: word/embeddings/oleObject33.bin>是乙酸,HCOOH是甲酸,二者结构不相似,组成上相差一个CH2<Object: word/embeddings/oleObject34.bin>与HCOOH互为同系物,C项正确;
D.<Object: word/embeddings/oleObject35.bin>是乙烯,<Object: word/embeddings/oleObject36.bin>是乙烷,二者结构不相似, D项错误;
答案选C。
8.BD
【详解】
A.两种有机物分子中H的个数不同,A项错误;
B.两种有机物分子中H的个数相同,且1个C3H6完全燃烧消耗4.5个O2,1个C4H6O2完全燃烧消耗也是4.5个O2,B项正确;
C.两种有机物分子中H的个数不同,C项错误;
D.两种有机物分子中H的个数相同,且1个CH4O完全燃烧消耗1.5个O2,1个C3H4O5完全燃烧消耗1.5个O2,耗氧量相同,D项正确;
答案选BD。
9.B
【详解】
A.CaCl2、烧碱为化合物,聚苯乙烯为混合物,HD为单质,A归类错误;
B.明矾、硫酸钡为盐,氯化氢、冰醋酸为酸,均属于电解质,B归类正确;
C.C2H4O2、C3H6O2、C4H8O2存在同分异构体,不能确定是否结构相似,不能确定一定为同系物,C归类错误;
D.同位素指中子数不同而质子数相同的同种核素的互称,但C60为分子,故D归类错误;
答案为B。
10.(醇)羟基    羧基    碳碳双键    C   
【详解】
(1)根据有机物的结构简式可知含有的官能团有:(醇)羟基、羧基、碳碳双键;答案为(醇)羟基、羧基、碳碳双键。
(2)①由于此有机物中不含酯基,故不属于酯类化合物,故①错误;②此有机物含有三种官能团,属于多官能团有机物,故②正确;③此有机物中虽然含苯环,但由于不只含有碳氢两种元素,还含有氧元素,故不是芳香烃,只是芳香族化合物,故③错误;④此有机物可以认为由烃衍生而来,属于烃的衍生物,故④正确;⑤由于结构中含醇羟基,属于醇类化合物,故⑤正确;⑥此有机物中含苯环,属于芳香族化合物,故⑥正确;⑦此有机物中除了含有碳氢两元素,还含有氧元素,不属于烯烃,故⑦错误。由上分析可知:②、④、⑤、⑥正确;答案为C。
您需要登录后才可以回帖 登录 | 立即注册

本版积分规则

Archiver|手机版|小黑屋|5432教案网 ( 蜀ICP备2022024372号-1 |川公网安备51152402000101号 )|网站地图

GMT+8, 2026-4-4 08:24 , Processed in 0.759165 second(s), 32 queries .

Powered by Discuz! X3.5

© 2001-2026 Discuz! Team.

快速回复 返回顶部 返回列表