找回密码
 立即注册
搜索
查看: 3|回复: 0

[鲁科版] 1.1 认识有机化学 教学设计

[复制链接]

2万

主题

224

回帖

13万

积分

管理员

积分
138610
发表于 5 小时前 | 显示全部楼层 |阅读模式
1章 有机化合物的结构与性质 烃
1认识有机化学
2d911c28aa6d0b5e327bc53bd23dc75e.png
学生在必修二的第三章已经简单学过有机化学的相关知识,本章的教学应以有机化学的简单发展史为内容,激发学生学习有机化学基础模块的兴趣。通过讨论分析不同有机化合物的结构,形成有机化合物的分类观,然后用归纳总结的方法对同系物及烷烃的系统命名法进行学习,归纳总结同系物的判断方法及烷烃的系统命名的步骤及注意事项。

44ddef8ea81d029bb1c1e28076c9ed83.png
宏观辨识与微观探析:
从化学史角度了解有机化学的发展过程;
熟悉有机化合物的常见分类方法及其主要类别;
认识官能团的种类,掌握简单有机化合物的命名。

c7bdfce928195d2be7304732f1718f14.png
   化学发展史,简单有机化合物的命名

7f87df24f2527dcef87ce314c1561c39.png
课件  学案  

c65032410c0ff1332091edf2c345b64f.png
【温故知新】课前推出三个问题,复习学过的有机化学基础知识。
1.什么是有机物?有机物包含哪些物质?
2.有机化合物的通性是什么?
3.有机物种类繁多的原因是什么?
【新课引入】同学们,人们不仅能认识和合成自然界里存在的有机化合物,还能合成大量自然界里不存在的有机化合物。有机化合物的提取与合成,极大地促进了化学科学的发展;有机新材料、新药物的不断涌现,有力地提高了人类的文明程度。可以说,有机化学已经成为化学科学最重要的分支之一。那么,你知道有机化学是怎样建立和发展起来的吗?有机化学发展的前景如何?有机化合物种类繁多、数量巨大,为了研究有机化合物,应怎样对它们分类和命名呢?
【自主学习】学生自学课本p2-5,交流化学家的贡献和现代化学发展状况。
一、有机化学的发展
1.萌发和形成阶段:__________________________________________________________________
舍勒:______________________________________________________________________________
贝采利乌斯:_________________________________________________________________________
维勒:______________________________________________________________________________
李比希:______________________________________________________________________________
【交流研讨】学生分组研讨课本p5的16种有机物,从不同角度对其进行分类。
【汇报】学生汇报分类情况。
【教师总结】从元素组成,可分为烃和烃的衍生物;
            从碳骨架可将烃分为链烃和环烃;
            从官能团可分为烷烃,烯烃,炔烃,芳香烃,卤代烃,醇,酚,醛,酮,羧酸和酯等。
【教师小结】

6f59328871418d33deb2119788ebfe41.png
【判断思考】饱和烃是否一定是烷烃?
            有5个碳原子的烃最多可以形成几个碳碳单键?
【教材延申】
脂环烃中,碳环中的碳原子之间完全以单键相连的称为环烷烃。环烷烃也是饱和烃。
有5个碳原子的环烷烃,可以形成5个碳碳单键。
2.常见的官能团的结构和名称
【自主学习】课本p7-8,填写下列表格。
类别
官能团的结构
官能团的名称
实例

烷烃
烯烃
炔烃
芳香烃
烃的衍生物
卤代烃





羧酸


酰胺
【教师点拨】
⑴烷基和苯基都不是官能团;
⑵醇和酚的官能团都是羟基,区别在于酚羟基直接与苯环相连,书写时,可以写成醇羟基或酚羟基,也可直接写成羟基;
⑶酯基中的R不能为H;
⑷一定提醒学生关注教材新变化:①官能团卤素原子也可称为“碳卤键”,②新增了“氨基”和“酰胺基”。
【教师讲解】结构相似,组成相差1个或几个CH2的一系列有机化合物称为同系列。同系列的各化合物互称为同系物。那么怎么判断同系物呢?主要有以下三个方面:
两同:类别相同,组成通式相同;
一差:组成相差一个或若干个CH2
一相似:分子结构相似(官能团的种类和数目相同)
【教师点拨】符合同一组成的有机物不一定互为同系物。如环烷烃和单烯烃。
【教师讲解】有机物种类繁多,面对如此多的有机物,怎么进行命名呢?
对于简单的有机物,一般用习惯命名法。分子中碳原子数在10以下的,用甲、乙、丙、丁、戊、己、庚、辛、壬、癸来表示;分子中碳原子数在10以上的,用汉字数字来表示。
例:CH3(CH2)3CH3称为戊烷,CH3(CH2)14CH3称为十六烷。
再如,戊烷的三种异构体,可用“正”“异”“新”来区别。
对于较为复杂的有机物,一般用系统命名法。系统命名法主要分为三步:
①选主链 选碳原子数目最多的碳链为主链,将连在主链上的原子团看做取代基。按照主链碳原子的个数称为“某烷”。
②编号定位从距离取代基最近的一端开始,用阿拉伯数字给主链的碳原子依次编号以确定取代基的位置。
③定名称 将取代基的名称写在烷烃名称的前面,在取代基前面用阿拉伯数字注明它在烷烃主链上所处的位置,并用短线“-”将数字与取代基名称隔开。若主链上有相同的取代基,可以将取代基合并,用汉字数字表示取代基的个数,用“,”将表示取代基位置的阿拉伯数字隔开,主链上有不同的取代基,要把简单的写在前面、复杂的写在后面。
【典例解析】运用系统命名法,对下列有机物进行命名。

208bdc59bdecba588c5ef6e41c878557.png
2,4-二甲基-3-乙基庚烷
【教师归纳】对本节课进行简单的小结。

f82968704c4f4b0d18213104c20b666a.png
【学以致用】
1.下列物质属于脂肪烃的是(    )
A.
e9ff92cdcdc11c40b19214bd1b76efcb.png         B.CH3CH2CH3        C.CH3CH2Cl        D.
6b0fab4b4140faf49f2ce9aa6fe17a20.png
2.下列各组物质中,属于同系物的是(    )

712d168f45e3fbe97241a02c3ac4bd9d.png     ②<Object: word/embeddings/oleObject1.bin>        ③
faf1755c290bba86f900ee7d0356bb5c.png     ④
bf1c45aa09457810754a501d2a1a1fa4.png
A.①③        B.①④        C.②③        D.②④
3.下列有关同系物、同分异构体的说法正确的是(    )
A.分子组成相差一个或多个CH2原子团的物质互为同系物
B.结构不同,相对分子质量相同的物质一定是同分异构体
C.同系物的化学性质相似,同分异构体的化学性质一定不相似
D.正丁烷与甲烷互为同系物
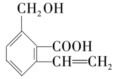
4.具有解热镇痛作用及消炎用途的药物“芬必得”的主要成分如图,对其叙述正确的是(    )

68c34995410d6e80da5c21abb6d001ae.png
A.苯的同系物        B.属于芳香烃        C.属于羧酸类        D.属于酯类
5.按物质的分类方法进行分类,下列物质属于同一类物质的是(    )
A.
921981be0587ad32ca6becf9af3cfc70.png 和<Object: word/embeddings/oleObject2.bin>
B.正戊烷和新戊烷
C.<Object: word/embeddings/oleObject3.bin>和<Object: word/embeddings/oleObject4.bin>
D.<Object: word/embeddings/oleObject5.bin>和<Object: word/embeddings/oleObject6.bin>
6.下列有关化合物
cfae7a56a350a863a1bd8eb868236dd6.png 的叙述不正确的是(    )
A.属于烃的衍生物        B.属于卤代烃
C.属于芳香化合物        D.分子中含有酯基
7.下列各组物质之间,互为同系物的是(    )
A.HCHO与<Object: word/embeddings/oleObject7.bin>        B.<Object: word/embeddings/oleObject8.bin>与<Object: word/embeddings/oleObject9.bin>
C.<Object: word/embeddings/oleObject10.bin>与HCOOH        D.<Object: word/embeddings/oleObject11.bin>与<Object: word/embeddings/oleObject12.bin>
8.(双选)下列各组有机物中,不论两者以何种比例混合,只要总物质的量一定,则完全燃烧时生成的水的质量和消耗的氧气的质量不变的是(    )
A.C3H8,C4H6        B.C3H6,C4H6O2        C.C2H2,C6H6        D.CH4O,C3H4O5
9.下列有关物质的分类或归类正确的是
A.化合物:CaCl2、烧碱、聚苯乙烯、HD
B.电解质:明矾、氯化氢、冰醋酸、硫酸钡
C.同系物:CH2O2、C2H4O2、C3H6O2、C4H8O2
D.同位素:<Object: word/embeddings/oleObject13.bin>、<Object: word/embeddings/oleObject14.bin>、<Object: word/embeddings/oleObject15.bin>
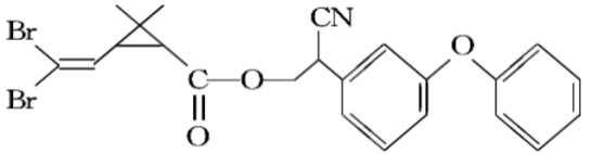
10.某有机化合物的结构简式为:
d752c2f1da10619bae7690f08dcef24d.png
(1)请写出该有机物具有的官能团名称:
①  ___________;② ___________  ;③  ____________ 。
(2)该有机物属于___________________________ (填选项字母)   。
①酯类化合物  ②多官能团有机物  ③芳香烃  ④烃的衍生物  ⑤醇类化合物  ⑥芳香化合物  ⑦烯烃
A.①②③④            B.①②④⑦          C.②④⑤⑥               D.②⑤⑥⑦

57790ae173cb6070d53a89b57c0c9cdc.png
    学生在必修二已经初步接触了有机化学的基础物质,教师应充分发掘化学史,关注化学发展的前沿科技知识,运用各种手段调动学生的学习积极性,使他们爱上化学,然后学好化学。
您需要登录后才可以回帖 登录 | 立即注册

本版积分规则

Archiver|手机版|小黑屋|5432教案网 ( 蜀ICP备2022024372号-1 |川公网安备51152402000101号 )|网站地图

GMT+8, 2026-4-4 08:19 , Processed in 1.150181 second(s), 37 queries .

Powered by Discuz! X3.5

© 2001-2026 Discuz! Team.

快速回复 返回顶部 返回列表