找回密码
 立即注册
搜索
查看: 10|回复: 0

08(必修2)《第二节 化学品的合理使用》优秀教学教案教学设计

[复制链接]

2万

主题

224

回帖

13万

积分

管理员

积分
137262
发表于 昨天 08:37 | 显示全部楼层 |阅读模式
[核心素养发展目标] 1.了解常见食品添加剂的种类、作用及使用时注意事项,增强使用食品添加剂的科学态度,提高使用食品添加剂的社会责任。2.了解柠檬黄、味精、膨松剂、抗坏血酸等添加剂的结构及作用原理,增强“宏观辨识与微观探析”的能力。

b8a67ee23932ff250cd3c43ca73af3a5.png
1.食品添加剂
(1)定义
是指为改善食品品质,以及防腐保鲜和加工工艺的需要而加入食品中的人工合成天然物质
(2)分类
来源不同,可分为天然的人工合成的两大类。
2.常见的食品添加剂
名称
主要作用
常用物质
代表物结构或成分
着色剂
改善食品颜色
红曲红、β-胡萝卜素、姜黄、柠檬黄、靛蓝

e314dd4e6253a6887a15b0a6de5c5858.png
增味剂
增加食品的鲜味
味精(谷氨酸钠)

0ab9290e44ba3fbea1fd01bd36ace492.png
膨松剂
使面团疏松、多孔
单一膨松剂、复合膨松剂
NaHCO3、NH4HCO3
凝固剂
改善食品形态
盐卤、葡萄糖酸-δ-内酯
MgCl2、CaSO4
防腐剂
防止食品腐败变质
苯甲酸、苯甲酸钠、亚硝酸钠、山梨酸、山梨酸钾

9b23e718f9916541f99b6cd41d1df33c.png 、NaNO2
cf5b087f064a6a79a19a4c2e4c5e441f.png (山梨酸钾)
抗氧
化剂
防止食品被氧化变质
抗坏血酸(VC)

0658ef1c2519a7bf288514237b0095c4.png
营养强化剂
补充必要的营养成分
维生素、碳酸钙、硫酸亚铁、硫酸锌、碘酸钾
VB、VD、CaCO3、FeSO4、ZnSO4、KIO3
3.食品添加剂使用的基本原则
(1)食品添加剂使用时应符合以下基本要求
①不应对人体产生任何健康危害
②不应掩盖食品腐败变质
③不应掩盖食品本身或加工过程中的质量缺陷或以掺杂、掺假、伪造为目的而使用食品添加剂
④不应降低食品本身的营养价值
⑤在达到预期效果的前提下尽可能降低在食品中的使用量
(2)在下列情况下可使用食品添加剂
①保持或提高食品本身的营养价值
②作为某些特殊食用食品的必要配料或成分
③提高食品的质量和稳定性,改进其感官特性
④便于食品的生产、加工、包装、运输或贮藏
(3)食品添加剂质量标准
按照GB 2760-2014《食品安全国家标准 食品添加剂使用标准》的规定,使用食品添加剂应当符合相应质量标准。

73bba185dc952745feca7181f2887378.png
(1)天然的食品添加剂对人体无害、人工合成的则有害( × )
提示 添加剂的使用量都有严格的标准,超量使用都会损害人体健康。
(2)甜蜜素是一种增加食品甜味的食品添加剂,为了增加食品的甜度,可大量使用( × )
提示 甜蜜素食用过多有可能致癌,国家对此有严格的规定,不能超量。
(3)碳酸钠可以作馒头、面包等食品的膨松剂,因为其受热分解,产生气体使食品疏松( × )
提示 Na2CO3在加热时不会分解。
(4)用盐卤和豆浆作用制取豆腐,是利用了蛋白质胶体聚沉的原理( √ )
提示 豆浆属于胶体,加入盐卤(MgCl2、CaSO4)可使蛋白质胶体发生聚沉。
(5)亚硝酸钠是一种食品防腐剂,有一定毒性和氧化性,如误食,可服用维生素C解毒( √ )
提示 亚硝酸钠有氧化性,维生素C有强还原性,两者可发生氧化还原反应,从而消除亚硝酸钠的毒性。
(6)幼儿生长发育快,钙是幼儿不可缺少的营养元素,因此在幼儿奶粉中可多加入碳酸钙等补钙剂( × )
提示 CaCO3难溶于水,奶粉中添加应不超一定的量。
(7)苏丹红、三聚氰胺都是常用的食品添加剂,可调节食品的颜色及含氮量( × )
提示 两者都不是食品添加剂,严禁用于食品加工。

2eff2d274f6578c30fc390c317ffe84f.png
1.生活中琳琅满目的食品,很多广告中宣扬“绝不含防腐剂”“零添加”,对这样的宣传,作为一名消费者,你是怎么理解的?
提示 “绝不含防腐剂”和“零添加”有着本质区别,“绝不含防腐剂”是产品的质量承诺,表明厂家在生产该产品过程中不仅未添加任何防腐剂,且其生产过程中使用的生产原料已经过严格审查均不含防腐剂,实现真正意义上的不含有。
而“零添加”是企业行为承诺,仅表明厂家在生产加工该产品过程中不添加防腐剂,但并不排除生产原料中携带含有防腐剂。但有些不法小厂家,利用消费者对防腐剂常识匮乏,偷换“防腐剂”概念,在含有防腐剂的情况下也在包装上标注“绝不含防腐剂”坑蒙消费者。
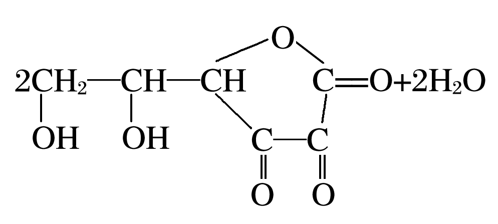
2.抗坏血酸(即维生素C)是水果罐头、饮料中常用的抗氧化剂,它能被氧气氧化为脱氢抗坏血酸,两者的结构简式如下图:

2c7ca303bdc47955f3458c331a3e5971.png

057014555d34308711a0eb61a78132e4.png
回答下列问题:
(1)抗坏血酸分子中含有的含氧官能团名称__________。
(2)1 mol抗坏血酸和足量的钠反应生成________mol氢气。
(3)书写抗坏血酸被氧气氧化生成脱氢抗坏血酸的化学方程式:
________________________________________________________________________。
(4)书写脱氢抗坏血酸在稀H2SO4作用下水解的化学方程式:
________________________________________________________________________。
答案 (1)羟基、酯基 (2)2
(3)
342896f6a32b5191896eaa43ccf439fa.png
a53d9c98085d34f7e501d24c9f074cc3.png
(4)
5ca02e7255fa5372531bd1f63237914b.png
b3b8e66e959451b1654404f270d19d15.png
解析 抗坏血酸分子中含有4个羟基、一个酯基、一个碳碳双键,脱氢抗坏血酸分子中含2个羟基、两个酮基和一个酯基,根据性质求解和书写。

9fa4d096c9ea4a0c4cd52658c5b77e2c.png
1.下列对食品添加剂的作用及原则描述错误的是(  )
A.利于食品的运输和贮藏
B.保持和提高食品的花色品种
C.改善和提高食品的色、香、味等感官指标
D.使用“牛肉精”将猪肉伪造为牛肉出售
答案 D
解析 绝不允许以伪造为目的使用添加剂。
2.下列物质不能作为食品添加剂的是(  )
A.石膏          B.亚硝酸钠
C.维生素C          D.苏丹红
答案 D
解析 石膏可作为制豆腐的凝固剂,亚硝酸钠可作为肉类食品的防腐剂,维生素C可作为水果饮料的抗氧化剂,故A、B、C正确,苏丹红不是食品添加剂,有毒,不能加入到食品中,故D错误。
3.味精是一种常用的增味剂,其结构简式为:
99bd2f3253ad0800362c29c3895c676b.png ,下列有关味精的描述错误的是(  )
A.味精既可以和盐酸又可以和NaOH溶液反应
B.味精可以以淀粉为原料通过发酵法生产获得
C.炒菜时加入味精越多,菜味道越鲜美,吃了更健康
D.碱性食物中忌加味精
答案 C
解析 根据味精的结构,分子中含有—NH2和—COOH,既可以和盐酸又可以和NaOH反应,A正确;味精主要以淀粉为原料发酵制得,B正确;过多食用味精会头昏、心慌、四肢无力,因此,味精不宜过量,故C错误;味精可以和碱性物质反应,从而失去鲜味,D正确。
4.碳酸钠和碳酸氢钠均可以作为食品添加剂,下列有关两者性质的描述说法不正确的是(  )
A.等质量的两种物质和足量的盐酸反应,碳酸氢钠放出的CO2
B.等物质的量的两种物质和足量盐酸反应,碳酸钠放出的CO2
C.可以用BaCl2溶液鉴别碳酸钠和碳酸氢钠溶液
D.可以用加热灼烧的方法除去Na2CO3中的NaHCO3杂质
答案 B
解析 根据反应的化学方程式:
Na2CO3+2HCl===2NaCl+CO2↑+H2O
106 g         1 mol
NaHCO3+HCl===NaCl+CO2↑+H2O
84 g          1 mol
知等质量时,NaHCO3放出CO2多,等物质的量时,两者放出气体一样多,故A正确、B错误;Na2CO3可以和BaCl2反应生成BaCO3沉淀,而NaHCO3不反应,故C正确;NaHCO3不稳定,加热时可以分解生成Na2CO3,故D正确。
5.请将下列常见食品添加剂按其主要功能进行分类(填序号)
①硫酸亚铁 ②碳酸氢铵 ③乳酸钙 ④碘酸钾 ⑤山梨酸钾 ⑥β-胡萝卜素 
⑦葡萄糖酸-δ-内酯 ⑧亚硝酸钠 ⑨谷氨酸钠
(1)着色剂________。(2)增味剂________。
(3)膨松剂________。(4)凝固剂________。
(5)防腐剂________。(6)营养强化剂________。
答案 (1)⑥ (2)⑨ (3)② (4)⑦ (5)⑤⑧ (6)①③④
课时对点练A组 基础对点练
题组一 常用食品添加剂的组成、性质及应用
1.二氧化硫具有还原性,可用于食品防腐剂,下列可用于二氧化硫防腐的食品是(  )
A.葡萄酒          B.馒头
C.面包          D.泡菜
答案 A
解析 二氧化硫是一种抗氧化剂,易溶于水,常用于葡萄酒防腐。
2.下列对有关物质分类的说法中错误的是(  )
A.“面粉增白剂”中过氧化钙(CaO2)属于氧化物
B.“膨松剂”中的碳酸氢钠、制造“毒豆芽”所用的亚硝酸钠都属于钠盐
C.抗氧化剂维生素C在反应中作还原剂
D.“碘片”和“加碘盐”都属于混合物,其中的“碘”是单质
答案 D
解析 “碘片”和“加碘盐”中含碘元素的物质分别是碘化钾、碘酸钾,是化合态碘,不是碘单质。
3.柠檬酸是一种常用的食品增味剂,其结构简式为
714eeee3b46d72f33faf8b1862d21799.png ,下列有关柠檬酸的说法错误的是(  )
A.1 mol柠檬酸和足量的金属钠反应,最多生成44.8 L(标准状况下)的氢气
B.柠檬酸的分子式为C6H8O7
C.柠檬酸在一定条件下既可以和乙酸反应,又可以和乙醇反应
D.1 mol柠檬酸最多消耗4 mol NaOH
答案 D
解析 由柠檬酸的结构简式可知,柠檬酸分子中含三个羧基和一个羟基,羧基和氢氧化钠可以反应,但羟基和氢氧化钠不反应,故1 mol柠檬酸最多消耗3 mol NaOH。
4.下列物质不能作为食品膨松剂的是(  )
A.碳酸氢钠          B.碳酸氢铵
C.发酵粉          D.磷酸钠
答案 D
解析 碳酸氢钠和碳酸氢铵在受热及和酸接触都会产生CO2等气体,都可以作膨松剂,发酵粉是一种生物膨松剂,磷酸钠不能作膨松剂,故选D。
5.下列描述不是食品中加入营养强化剂目的的是(  )
A.弥补天然食物的缺陷
B.补充食品在加工贮存及运输中的损失
C.适应军事及特殊职业及群体的需要
D.获得好的口感和味道
答案 D
解析 食品中营养强化剂就是为了弥补天然食物的缺陷及损失,满足特殊群体所加入的必要的营养成分,并不是为了更好的口感和味道。
题组二 食品添加剂与人体健康
6.下列有关食品添加剂的说法不正确的是(  )
A.苯甲酸钠可作为果汁饮料的防腐剂
B.小孩的肾脏、肝脏发育尚未完全,每天喝防腐剂人工色素的饮品,会影响孩子健康
C.食品添加剂都有毒性,偶尔饮用含苯甲酸的饮料,也会对人体造成危害
D.苏丹红不是食用色素,绝不能对食品进行着色
答案 C
解析 食品添加剂并非都有毒性,饮用少量的含苯甲酸的饮料,对人体不会造成危害。
7.下列有关食品添加剂的说法正确的是(  )
A.食盐可作调味剂,但不能作食品防腐剂
B.亚硝酸钠是一种防腐剂和护色剂,为增强其防腐效果,可在肉制品加入大量的亚硝酸钠
C.苏打是一种膨松剂,可用于制作面包
D.谷氨酸钠是一种增味剂,可增加食品的鲜味
答案 D
解析 食盐既可以作调味剂,又可以腌制肉制品,可以作防腐剂,故A错误;亚硝酸钠有毒性,肉制品中加入量不能超出使用最大量,故B错误;苏打为Na2CO3,不可以作膨松剂,作膨松剂制面包的是小苏打,即NaHCO3,故C错误;谷氨酸钠即味精可以作食品的增味剂,D正确。
8.下列对食品添加剂的使用要求,说法错误的是(  )
A.使用食品添加剂,不应对人体产生任何健康危害
B.不能以掺杂、掺假、伪造营养食品而使用添加剂
C.将即将变质的食品加入添加剂后再重新包装销售
D.不应超出添加剂的最大使用量
答案 C
解析 食品添加剂必须以安全为第一位,不能超出最大使用量,更不能将即将变质的食品加入添加剂后重新销售。
9.下面有关非法食品添加剂的说法正确的是(  )
A.吊白块学名为次硫酸氢钠甲醛,国家严禁在面粉中大量使用
B.三聚氰胺可以提高奶粉中蛋白质的检测量,可以稍加一点
C.苏丹红、孔雀石绿等着色剂可用于食品染色
D.甲醛可以使蛋白质变性,因此可以作食品的防腐剂
答案 A
解析 吊白块、三聚氰胺、苏丹红、孔雀石绿、甲醛都不是食品添加剂,严禁用于食品的着色、防腐等。
10.某种甜味剂A的甜度是蔗糖的200倍,由于它热量值低、口感好、副作用小,已在90多个国家广泛使用。A的结构简式为:

3c60dab091c8c484356f6d41fbd830e1.png
已知:①在一定条件下,羧酸可以和含—NH2的化合物反应生成酰胺。
如CH3COOH+CH3—NH2―→
6025dc05b6c777a27468704b6bf8f98e.png +H2O
②在相同条件下,酯比酰胺更易水解。
请完成下列问题:
(1)在稀硫酸溶液和水浴加热条件下,甜味剂A首先生成的水解产物是________和________。
(2)在较浓硫酸和长时间加热条件下,甜味剂A可以水解生成____________________、____________________和________________。
答案 
(1)
66919c0cc1df763422d3b0426b38fe28.png  CH3OH
(2)
6f2f47cd95b26572723f6f0457072f13.png  
59ef8c9905fab47c3c292f0eb44dcafb.png  CH3OH
解析 利用信息②酯比酰胺容易水解,在条件(1)下,只能是A中的酯基水解,产物中必有甲醇;在条件(2)下,酯和酰胺都水解,产物有三种。
B组 综合强化练
1.丁基羟基茴香醚(BHA)是脂肪、油和乳化脂肪制品常用的抗氧化剂,其结构简式为:
5a5de600315bb5bcd53f472d67135ac4.png ,下列有关丁基羟基茴香醚的说法正确的是(  )
A.该化合物的分子式为C10H16O2
B.该化合物能和金属钠反应生成氢气
C.该化合物所有碳原子可能在一个平面内
D.为防止食用油被氧化变质,可加入足量的丁基羟基茴香醚
答案 B
解析 据化合物的结构简式,该物质的分子式为C11H16O2,A项错误;分子中存在羟基,可以和金属钠反应生成氢气,B项正确;该分子中含有丁基,碳原子为饱和结构,故丁基结构中的4个碳原子为空间四面体结构,不可能在同一平面内,故C错误;食品添加剂在使用时一定按标准加入,不能超过国家规定的最大使用量,故D错误。
2.下面对某些商家的做法正确的是(  )
A.为节约成本,商家可以用工业用蜡对水果进行上蜡
B.为使粉条色泽好看,提高卖相,商贩可以用硫黄熏蒸
C.为防止蔬菜腐烂,商贩用福尔马林溶液喷洒
D.为使糕点松软,商家用碳酸氢铵作膨松剂
答案 D
解析 工业用蜡中含汞、铅等有害成分,对水果上蜡不能用工业蜡代替食用蜡,A错误;硫黄熏蒸粉条,会在粉条中残留大量的有害物质,故B错误;福尔马林溶液为甲醛水溶液,对人体会产生很大毒害,故C错误;碳酸氢铵为食品的膨松剂,在受热时,会产生CO2等气体,从而使糕点松软,故D正确。
3.化学与生活联系紧密,下列有关食品添加剂的说法正确的是(  )
A.食品加工过程中可以加入生石灰作食品的防腐剂
B.向豆浆中加入石膏溶液制成豆腐,主要利用石膏能使蛋白质变性的原理
C.含铝食品膨松剂要特别关注铝元素超标问题
D.吊白块(甲醛合次硫酸氢钠)漂白效果非常好,可作为面粉的增白剂
答案 C
解析 生石灰为氧化钙只能吸水,只能作食品干燥剂,不能作防腐剂,故A错误;向豆浆中加石膏溶液制豆腐,是利用蛋白质胶体聚沉的性质,故B错误;含铝食品膨松剂可导制铝元素超标,会损伤人的神经系统,故C正确;吊白块不是食品添加剂,只能用于工业产品漂白,不能作面粉增白剂,故D错误。
4.食品加工过程中,为提高食品色泽,常加入一些食品着色剂,下列不能作食品着色剂的是(  )
A.姜黄          B.叶绿素铜钠盐
C.苋菜红          D.苏丹红-Ⅰ
答案 D
解析 苏丹红-Ⅰ为工业色素,严禁用于食品着色。
5.内酯豆腐和普通豆腐的口感和保质期都有所不同,其根本原因是两者使用的凝固剂不同,下列凝固剂最有可能是制作内酯豆腐凝固剂的是(  )
A.葡萄糖酸-δ-内酯          B.石膏
C.氯化镁          D.氯化钠
答案 A
解析 葡萄糖酸-δ-内酯是制内酯豆腐的凝固剂,石膏、氯化镁是制普通豆腐的凝固剂。
6.下表是国家对加碘盐含碘量下调后精制碘盐包装说明书。
配料表:氯化钠 碘酸钾KIO3
含碘量:20~30 mg·kg1
重量:500 g
食用注意:烹调时等食品熟后加入碘盐
贮存方法:密封 避光 防潮
下列有关食品营养强化剂KIO3说法错误的是(  )
A.缺碘和碘过量都不利于人体健康
B.碘酸钾见光、受热易分解
C.碘酸钾中碘的化合价为+5价
D.可以用淀粉溶液证明加碘盐中是否含碘元素
答案 D
解析 由碘盐的说明书可以看出,碘酸钾性质不稳定,在加热或见光情况下易分解,碘酸钾(KIO3)中碘为化合态的碘元素,化合价为+5价,淀粉遇单质碘变蓝色,遇碘酸钾无颜色变化,故D错误。
7.从化学的视角看食品添加剂,主要从其元素组成、结构、性质及对人体的影响等方面研究。结合表中信息回答下列问题。
物质的组成与性能
用于食品添加剂
物质名称
组成
主要化学性质
类别
法律规定
碳酸氢钠
NaHCO3
和胃酸反应不稳定、受热易分解
膨松剂
可用
还原性铁粉
Fe
和胃酸反应
抗氧化剂
据国家标准可用
甲醛
HCHO
防腐剂
国家严禁使用
亚硝酸钠
NaNO2
水溶液呈碱性和硝酸银反应生成浅黄色沉淀
护色剂防腐剂
严格按国家标准使用
(1)国家严禁甲醛作食品添加剂的原因是________(填字母)。
A.甲醛有刺激性气味
B.甲醛易溶于水
C.甲醛能使蛋白质发生变性而失去生理活性
D.甲醛和食品反应生成有害物质
(2)还原性铁粉用于食品添加剂,能防止食品氧化而变质,还是一种营养强化剂,可以和胃酸(主要为盐酸)反应,从而为人体补充必要的微量元素铁,写出铁粉和胃酸反应的离子方程式:________________________________________________________________________
________________________________________________________________________。
(3)碳酸氢钠是面食类食品常用添加剂,其作用是______________________________
________________________________________________________________________,
写出反应的化学方程式:__________________________________________________
________________________________________________________________________。
(4)NaNO2外观酷似食盐,有咸味,常被误食而导致中毒事件发生,据表中信息,如何鉴别是NaNO2还是NaCl。
________________________________________________________________________
________________________________________________________________________。
(包括选取试剂、方法、实验现象和结论,写出一种方法)
(4)方法一:取少量固体溶于水,滴加酚酞,若变红则为NaNO2,否则为NaCl
方法二:取少量两固体溶于水,分别加入AgNO3溶液,若有白色沉淀产生的为NaCl,有浅黄色沉淀产生的为NaNO2
方法三:取少量固体溶于水,用pH试纸测定,若pH>7,则为NaNO2,pH=7则为NaCl(三种方法,任写一种)
您需要登录后才可以回帖 登录 | 立即注册

本版积分规则

Archiver|手机版|小黑屋|5432教案网 ( 蜀ICP备2022024372号-1 |川公网安备51152402000101号 )|网站地图

GMT+8, 2026-4-2 05:55 , Processed in 0.730922 second(s), 32 queries .

Powered by Discuz! X3.5

© 2001-2026 Discuz! Team.

快速回复 返回顶部 返回列表