找回密码
 立即注册
搜索
查看: 142|回复: 0

[浙教版] (八下)4.6保护土壤(解析版)

[复制链接]

4万

主题

224

回帖

19万

积分

管理员

积分
196389
发表于 2026-3-24 07:08:28 | 显示全部楼层 |阅读模式
4.6保护土壤
0401学习目标
1、知道我国土壤资源地基本状况。
2、了解保护土壤和防止土壤污染的重要性及主要措施
3、关注全国和当地的水土流失、土地沙漠化、土壤污染的情况及其危害性。
02预习导学
知识点一:土壤是重要的资源
  • 地球上陆地面积仅占地表总面积的 29% 。陆地面积中 89% 的土地目前尚不适宜农业生产。

558ca5651fa06facd379452c6e2865c2.png
2.我国陆地面积 9.6×10122,其中湖泊面积8×10102。耕地、林地、牧草地只占陆地面积的63.8% 。耕地面积为 1.35×10122,其中高产耕地仅 3.98×10112
含水量过高:
26609cdc0d52746f0e735e254918cd5a.png 含水量过低:
5e6b4563245b51a605526ac0cbde78ee.png
永久冻土:
f75f607ba0695905168273ac077414d0.png   被污染的土壤:
55d57eb9bd787e39ec624c840ea7a67e.png
  • 土壤资源是 有限 的,我们必须保护好土壤。
  • 我国的土壤资源状况
土地类型
国土
总面积
陆地
总面积
耕地、林地、草地
耕地
总面积
高产耕地总面积
土地面积(平方千米)
960万
877万
438万
137万
29.4万
所占的比
占全球6.8%
占国土91.39%
占陆地总面积50%
占陆地总面积15%
占耕地总面积21%
我国人均占有的耕地面积、林地资源非常低。理解我国耕地资源的有限性,可以从农用耕地面积占地表面积的比例与我国人均占有耕地资源两方面去理解。
1.土壤资源的最大威胁来自于土壤的 污染 和过度开发。
2.土壤污染的种类

654ed9edc8bbd7f255c3214a85dcef77.png
1d801928d26573c1b0f0a71643ccb1d9.png
(1)物理污染:核反应带来的辐射性污染。
(2)化学污染:工农业生产和生活 废水 固体废物 的任意排放, 农药、化肥 的大量使用等。
(3)生物污染:某些 病菌 寄生虫 病毒 对土壤产生的污染。
3. 耕地被蚕食 水土流失 土地荒漠化 盐渍化等,都会造成土壤资源的流失。

bec4c2fc0820e9662f324033cb2f7e7a.png (1) 水土流失 是全球环境中存在的大问题。 黄土高原 是我国甚至世界上水土流失最严重的地区,每年被冲刷走了大量的氮、磷、钾元素,相当于流失了数量可观的化肥。
(2)我国沙漠化现象严重,所以频频出现 沙尘暴 天气。
(3)土壤盐渍化是指易溶性盐在土壤表层 积累的现象或过程,也称盐碱化。我国的盐渍化土地主要分布于干旱、半干旱和半湿润地区,具有分布范围广面积大 类型多等特点。土壤的盐渍化严重影响了耕地的质量,导致农业减产
注意点
1.含有污染物的工业废水排入土壤时,土壤环境不一定会遭到破坏。在土壤中存在很多微生物,这些微生物具有消除污染物的能力,我们把这种能力称为土壤的自动调节能力。当污染物在土壤的自动调节能力范围内时,土壤环境就不会遭到破坏;反之则会被破坏。
2.保护土壤的有效措施:(1)控制和消除土壤污染源,加强对工业“三废”的治理,合理施用化肥和农药;(2)针对土壤污染物的种类,种植有较强吸收力的植物,降低有毒物质的含量;(3)施加抑制剂,改变污染物在土壤中的迁移转化方向,减少作物的吸收;(4)增施有机肥,改变耕作制度,或采取换土、深翻等手段

57eaf8037e72c8e71b2229fdc6598785.png
  • (2022春•仙居县期末)下列各项农业生产措施中,有利于保护土壤的是(  )
A.大量使用农药        
B.将工业废水直接灌溉农田        
C.实行稻草还田        
D.将废旧电池深埋于土壤中
【解答】解:AB、大量使用化肥农药,为节约水资源,用工业废水直接灌溉农田,易造成土壤的污染,不利于保护土壤。
C、实行稻草还田,使土壤变得肥沃,有利于保护土壤。
D、电池中含有有毒的重金属,因此将废旧电池填埋土壤中会造成土壤污染和地下水污染,不利于保护土壤。
故选:C
  • (2022春•诸暨市期末)下列人类活动最可能造成土壤污染的是(  )
A.在荒山上大量种植树木        
B.在农田中大量施用化肥        
C.在干旱地区喷灌或滴灌        
D.在适宜的耕地上玉米与大豆套种
【解答】解:在荒山上大量种植树木可以防风固沙,调节气候,有利于保护环境,不会造成土壤污染;在农田中大量施用化肥会污染环境,造成土壤污染;在干旱缺水的地区实行喷灌或滴灌,不会造成土壤污染;在适宜耕作的土地上进行玉米和大豆的间作套种,有利于提高植物的光合作用,不会造成土壤污染。综上所述,故B符合题意。
故选:B
  • (2021秋•定海区期末)为了研究植被对水土流失的影响,兴趣小组的同学们进行了如下实验:
2个一端开口的容器标为AB,用松散的泥土在容器内堆制成一个斜坡模型;
B容器的斜坡模型表面铺上一层草皮,A组斜坡不做处理;
另取一个空的容器置于装置下方(图中该容器已省略),用洒水壶在斜坡上方洒水;
观察和记录实验现象。
1)这是一个模拟实验,实验中草皮模拟的变量是指自然界的  植被 
2)为了排除其他因素对实验结果的干扰,在用洒水壶洒水时,两组实验中有哪些量需要保持一致(写2项)  洒水的水流大小  洒水的高度 
3)实验中需要观察和记录的实验现象是  斜坡底下泥沙堆积的多少 

444f58f453102f68597c6cbd3b50754f.png
【解答】解:(1)实验中草皮模拟的变量是指自然界中植被。 2)为了排除其他因素对实验结果的干扰,在用洒水壶洒水时,洒水壶在同样的高度,洒水的水流一样大。
3)观察并记录斜坡底下泥沙堆积的多少。
故答案为:
1)植被;
2)洒水的水流大小、洒水的高度;
3)斜坡底下泥沙堆积的多少。
  • (2021秋•温州期末)为了研究管道中水流动快慢与管道倾角的关系,某科学兴趣小组按如图进行实验。
将软管A端与水龙头连接,在软管B端与管道接触处放置泡沫粒,调节管道倾角为10°。调节水龙头使水流速最大时,让水流冲击B端泡沫粒,记录泡沫粒经过长度为60厘米管道到达水槽所用的时间。重复3次实验并计算平均值。
改变管道倾角,使其分别为20°、30°,重复步骤
记录数据如下表。
组别
管道倾角
流经时间(s
1
2
3
4
1
10°
4.0
4.1
3.9
4.0
2
20°
2.5
2.4
2.4
2.43
3
30°
1.3
1.4
1.4
1.37
1)该实验是通过  水的流经时间 来比较水流的快慢。
2)本实验得出的结论是: 管道倾角越大,管道中水流动越快 
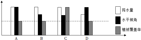
3)据研究发现,水流速度越大,对土壤的侵蚀力度就越大。请结合实验数据判断下列图中哪个地区土壤侵蚀最严重 A

f1d637d5246f8d732c13f2e98c74e1b5.png

461e3d0546c41bc44073aaaa7be3a23d.png
【解答】解:(1)由表格中的数据可知,水流的流经距离相同时,用的时间不同,故该实验是通过测量水的流经时间来比较水流快慢的;
2)在实验中,水流的流经距离是相同的,都为60cm,在前三次实验中,管道倾角越大,管道中水流动用时越少,由此本实验得出的结论是:管道倾角越大,管道中水流动越快。
3)由实验结论可知,在降水量越大,坡度较大且植被覆盖率较低的区域,水流速度越大,其土壤被侵蚀的可能性就越大。在下列图中A地区与BC地区相比,ABC地区降水量相同,但是A地区倾角最大,植被覆盖率低,所以A土壤侵蚀最严重;A地区与D地区相比,水平倾角相同,但是A地区A地区降水量大,植被覆盖率低,所以A土壤侵蚀最严重。
故答案为:(1)水的流经时间
2)管道倾角越大,管道中水流动越快
3A

681f9940b66215489d45530c31679c1a.png

767a1a912c135913bb604abbb41f5c97.png
  • (2022春•湖州期末)下列各项农业生产措施中,有利于保护土壤的是(  )
A.实行秸秆还田        
B.用生活污水灌溉农田        
C.灌溉农田采用大水漫灌        
D.将垃圾进行填埋处理
【解答】解:实行秸秆还田有利于保护土壤,用生活污水灌溉农田会污染农田,采用大水漫灌灌溉农田会浪费水资源,将垃圾分类回收后进行填埋处理有利于对环境的保护,故A正确;BCD错误。
故选:A
  • (2021春•鄞州区期末)下列能有效保护土壤的措施是(  )
A.城市发展尽量少占用农田        
B.植树造林,退耕还草        
C.严格控制、合理使用化肥和农药        
D.以上说法都正确
【解答】解:土地是人类赖以生存的基本自然资源,我国重视对土地资源的利用和保护。城市发展尽量少占用农田;植树造林,退耕还草;严格控制、合理使用化肥和农药,以上措施都能有效保护土壤。
故选:D
  • (2021秋•临平区校级月考)《读者》杂志社倡议开展“保护母亲河,营建读者林”活动,在长江、黄河流域植树造林,其主要作用是为了减小下列哪一方面的作用(  )
A.流水        B.风力        C.冰川        D.生物
【解答】解:长江、黄河流域植树造林,是为了防止水土流失,作用就是减小水的作用。
故选:A
  • (2022秋•杭州期中)小华、小英、小美、小明进行“影响土壤侵蚀因素”的探究实验。下表是他们的实验情况与结果。
姓名实验编号
变量
小美
小华
小英
小明








水的流量








土壤坡度








有无植物








结果
土壤被侵蚀情况
明显
不明显
明显
不明显
明显
不明显
明显
不明显
小美要探究的是什么问题(  )
A.水的流量大小,对土壤侵蚀的影响        
B.土壤坡度不同,对土壤侵蚀的影响        
C.有无植物生长,对土壤侵蚀的影响        
D.土壤种类不同,对土壤侵蚀的影响
【解答】解:对照实验只有一个变量,这就是所要探究的问题,其它量皆相同,并且是适宜的。根据表格信息可知,小美设计的甲乙两组实验对照,实验变量是水的流量的大小,其它条件均相同,因此小美要探究的是水的流量大小,对土壤侵蚀的影响。而小华、小英、小明三者设计的实验均有两个变量,不能形成对照实验。
故选:A
  • (2021春•柯桥区期末)今年,为保护耕地,我区及周边不少地区出现“退林还耕”,尤其不建议在适合耕种的壤土类土壤上继续种植树木、草皮和花卉等,以下对此类土壤描述正确的是  ①③⑤ 。
土壤中矿物质颗粒、空气、水、有机质等组成比例合理;通气性好、透水性差;
通气性好、透水性强;保水保肥能力差;土壤黏性适度;
为保护耕地土壤资源,你认为还可以采取什么有效措施? 合理使用化肥农药(或宣传耕地土壤环境保护或开展秸秆综合利用或注重农业废弃物回收) (任写一种)
【解答】解:壤土土壤中矿物质颗粒、空气水、有机质等组成比例合理;通气性好、透水性强;土壤黏性适度,适合大部分植物生长,故选:①③⑤。为保护耕地土壤资源,还可以合理使用化肥农药或宣传耕地土壤环境保护或开展秸秆综合利用或注重农业废弃物回收。(合理即可)。
故答案为:①③⑤;合理使用化肥农药或宣传耕地土壤环境保护或开展秸秆综合利用或注重农业废弃物回收(合理即可)

47f57eb310cc92707db5d7753b13b37d.jpg
  • (2020春•萧山区期末)人们利用根系分布的特点在山坡和沙地造林种草,其最主要的目的是(  )
A.保持水土        B.绿化环境        
C.放牧牲畜        D.增加经济效益
【解答】解:大多数陆生植物的根在地下分布深而广,形成庞大的根系,比地上的枝叶系统还发达。可谓“根深叶茂”,“树大根深”,可见根在植物生长过程中的重要作用。例如梨的水平根大于树冠的34倍,深约2米,树冠下的根基本与地面平行,冠外的根渐向深处生长。根系深度约0.20.4米分布最密。利用根系在土壤中的分布范围大的特点,植物的根系牢牢抓住土壤从而起到了保持水土的作用。
故选:A
  • (2020春•长兴县期中)人类的生存与发展离不开土壤,而土壤资源是有限的,你认为下列人类活动可能造成广泛的土壤污染的是(  )
A.经无害化处理的人畜粪便作肥料        
B.大量使用塑料地膜而未能回收        
C.综合防治植物病虫害,减少农药的用量        
D.合理施用化肥
【解答】解:塑料地膜属于塑料制品,在土壤中不易被自行降解,会使得土壤板结、通气性变差,塑料中的有害物质也会进入土壤,所以大量使用塑料地膜而未能回收会造成土壤污染,B符合题意。
故选:B
  • (2020春•慈溪市校级期中)下列防止土壤污染的具体措施比较合理的是(  )
A.关闭所有产生污染的厂矿企业        
B.不使用任何农药和有机化肥        
C.禁止使用农用地膜        
D.对污水灌溉区进行监测与管理
【解答】解:A、关闭所有产生污染的厂矿企业,不利于经济发展,应该加强这些企业的污染处理,A错误;
B、不使用任何农药和有机化肥,肥料对农业的生长作用很大,要合理使用农药和化肥,B错误;
C、禁止使用农用地膜,地膜使用对农业有着巨大的作用,要注意废弃地膜的处理,但不能禁止,C错误;
D、对污水灌溉区进行监测与管理,有利于污水处理后的再利用,措施合理,D正确。
故选:D
  • (2020秋•婺城区校级期中)“莫使旱地变荒漠”是2006年的世界环境日主题,为了研究植被对土壤的保护作用。小科做了以下实验:把泥土按30°的坡度分别堆在玻璃箱的两侧在A坡种上草皮(如图),用洒水壶以相同水量、相同速度先后对两个坡面洒水。实验过程中,如果观察到  A面少有水土流失,B面有水土流失 ,这就说明植被可以减少水土流失;据此,请你提出一个保护土壤的具体措施: 植树造林 。

a3cd49ddb534b7c7d05f2919d75de179.png
【解答】解:(1)读图A坡植被多,B坡植被少,实验过程中,小红观察到A坡汇入引水沟的水量和泥沙量少,B坡的比较多,故这说明植被可以减少水土流失。植被可以保持水土防止水土流失,因此增加植被是减少水土流失,保护土壤的最有效措施。
故答案为:
A面少有水土流失,B面有水土流失;植树造林。
  • (2021春•鄞州区期末)根据提供的资料回答问题:我国的人均耕地面积远远低于世界平均水平,所以保护和合理利用现有的土地资源是我国的一项重要国策。提高单位面积的粮食产量、防止水土流失等都是正在研究并且可行的方法。
1)除草可以除去和庄稼争夺生存条件的杂草以保证粮食产量。除草的方法有多种,“锄禾日当午”中的“锄禾”和喷洒除草剂都能除草,但是“锄禾”的方式更有利于庄稼的生长,因为“锄禾”不只是能除草,还能  保留水分 
2)农民不光除草,有时还种草,例如在冬季农田闲置的时候,种上学名是“紫云英”、俗称“红花草籽”的草,到来年春天犁田毁草,把紫云英翻压在土里,这样可以增加土壤肥力,这是因为  腐草是土壤的一种肥料 
3)水土流失已经严重威胁我国的土地资源,请写出防治水土流失提出两个合理建议: 植树种草、退耕还草 
【解答】解;(1)除草可以除去和庄稼争夺生存条件的杂草以保证粮食产量。“锄禾日当午”中的“锄禾”和喷洒除草剂都能除草,但是“锄禾”的方式更有利于庄稼的生长,因为“锄禾”不只是能除草,还能保留水分。
2)农民不光除草,有时还种草,例如在冬季农田闲置的时候,种上学名是“紫云英”、俗称“红花草籽”的草,到来年春天犁田毁草,把紫云英翻压在土里,这样可以增加土壤肥力,因为腐草是土壤一种的肥料。
3)水土流失已经严重威胁我国的土地资源,防治水土流失的措施:植树种草、退耕还草。黄土高原是我国水土流失最严重的地形区。
故答案为:(1)保留水分;(2)腐草是土壤的一种肥料;(3)植树种草、退耕还草。

您需要登录后才可以回帖 登录 | 立即注册

本版积分规则

Archiver|手机版|小黑屋|5432教案网 ( 蜀ICP备2022024372号-1 |川公网安备51152402000101号 )|网站地图

GMT+8, 2026-5-20 00:30 , Processed in 6.348606 second(s), 31 queries .

Powered by Discuz! X3.5

© 2001-2026 Discuz! Team.

快速回复 返回顶部 返回列表