找回密码
 立即注册
搜索
查看: 110|回复: 0

[浙教版] 1.1 新生命的诞生-七年级科学下册同步学与练(浙教版)(解析版)

[复制链接]

4万

主题

224

回帖

19万

积分

管理员

积分
196389
发表于 2026-3-21 07:24:47 | 显示全部楼层 |阅读模式
1.1新生命的诞生
学习目标
1.知道人体生殖系统的结构和功能。
2.了解人的受精、胚胎发育、分娩和哺乳的过程。
3.了解人的胚胎在发育过程中与母体进行物质交换的途径。
02预习导学
精子和卵细胞
(1)受精卵
婴儿是从一个细胞--受精卵发育而来的。一个受精卵细胞是由两个生殖细胞一-雄性生殖细胞精子和雌性生殖细胞卵细胞相互结合而产生的。
(2)精子和卵细胞

7e4d08ec937ada1af05ac9fe603612a6.png
①精子
精子是男性的生殖细胞,个体很小,约0.05毫米长,只有在显微镜下才能看到。精子的形状似蝌蚪,由头部和长长的尾组成,能够游动。精子的头部含有细胞核和细胞质,细胞核内携带有遗传信息
②卵细胞
卵细胞是女性的生殖细胞,呈球形,直径约为0.1毫米,成熟的卵细胞是人体中最大的细胞。卵细胞的细胞质内含有较丰富的营养物质,能提供胚胎发育初期所需要的营养。卵细胞的细胞核内携带有遗传信息。
(3)精子和卵细胞的比较
生殖细胞
精子
卵细胞
来源
男性
女性
数量
每天可以产生上亿个精子
大约每个月会排出一个卵细胞
大小
约0.05毫米长,显微镜下可见
直径约为0.1毫米,是人体内最大的细胞
形态
蝌蚪形,有尾,能游动
球形
结构
细胞膜、细胞质、细胞核等
细胞膜、细胞质、细胞核等,细胞质中含有较丰富的营养物质
产生器官
睾丸
卵巢
相同点
精子和卵细胞的细胞核内均携有遗传信息,这些遗传信息决定着新生命的主要特征
二、人的生殖系统
人类的生殖是通过生殖系统来完成的。人的生殖系统分为男性生殖系统和女性生殖系统。
(1)男性生殖系统
组成男性生殖系统的主要器官及各个器官的功能简要介绍如下表。

25aaaf453bc5a36560aecfedf5fc3433.png
结构
主要功能
睾丸
男性生殖系统的主要器官,能产生精子和分泌雄性激素
附睾
储存和输送精子
输精管
输送精子
精囊
分泌黏液
前列腺
分泌黏液
阴囊
裸露在人体外部,保护睾丸和附睾
阴茎
内有尿道,能排出精液和尿液
(2)女性生殖系统
组成女性生殖系统的主要器官及各个器官的功能简要介绍如下表。

f62191b32060cdec9a2941961f61b703.png
结构
主要功能
卵巢
女性生殖系统的主要器官,能产生卵细胞和分泌雌性激素
输卵管
一头靠近卵巢,另一头连接子宫,接受、输送卵细胞并提供受精的场所
子宫
胚胎发育的场所
阴道
精子进入和胎儿产出的通道,也是月经流出的通道
受精与妊娠
(1)受精
①精子和卵细胞在输卵管中结合形成受精卵的过程叫做受精
②过程
a.精子和卵细胞的成熟:精子在睾丸中形成后,会储存在附睾中,并逐渐成熟,与精囊和前列腺分泌的黏液混合形成精液。卵细胞由卵巢排出后进入输卵管。
b.精子和卵细胞在输卵管的结合:如果卵细胞在输卵管中遇到精子,就可能与精子结合,形成受精卵,完成受精过程。在受精时,接近卵细胞的精子有很多个,但能进入卵细胞内的只有一个,即卵细胞只和一个精子结合。通常是精子的头部进入卵细胞,尾留在外面。紧接着,在卵细胞细胞膜的外面出现一层特殊的膜,以阻止其他精子
再进入。精子的头部进入卵细胞后不久,其细胞核就与卵细胞的细胞核相融合形成受精卵的细胞核。
c.精子到达输卵管的路线:阴道→子宫→输卵管。
(2)妊娠
受精卵形成后,一边进行细胞分裂,一边沿着输卵管往下移动,进入子宫。随着分裂次数的增加,受精卵逐渐形成了胚胎,并附着在子宫壁上。这时女性就怀孕了也称为妊娠
(3)避孕
①原理:卵细胞与精子结合形成受精卵,受精卵分裂形成的胚胎附着在子宫壁上,女性才能怀孕。因此,阻止受精卵的形成,即阻止精子和卵细胞的结合,就能达到避孕的目的。
②措施:人们为了避孕,会采取一些避孕措施,如男性使用避孕套,女性口服避孕药,或者结扎输卵管或输精管等。
胚胎的发育
1胚胎的发育
①受精卵分裂形成胚胎:受精卵形成后,一边进行细胞分裂,一边沿着输卵管往下移动,进入子宫。随着分裂次数的增加,受精卵逐渐形成了胚胎,并附着在子宫壁上。
②胚胎在羊水中发育:胚胎附着在子宫壁后,继续发育。在受精后的第2周,出现了一层将胚胎包裹起来的羊膜,并逐步发育成一个充满了羊水的羊膜囊,胚胎悬浮在羊水中,能减少震动对胚胎发育的影响。
③胎盘出现:到了第3周,胎盘出现,它连接着母体和胚胎。胎盘是胚胎与母体之间进行物质交换的器官。
④胎儿形成:胚胎发育到第9周时,只有核桃般大,但已初具人形。从这时起,一直到出生前(第38周),称作胎儿期。其间,胎儿逐渐长大,各器官系统发育生长。
2胚胎的营养
①胚胎通过脐带和胎盘与母体进行物质交换:胚胎在母体子宫内发育时,通过脐带和胎盘与母体相连。胎盘是母体和胚胎进行物质交换的器官。胚胎通过脐带和胎盘可从母体不断获得氧气和营养物质,并将产生的二氧化碳和其他废物排到母体血液里,再由母体排出。
②胎儿的血液和母体的血液不直接混合:在胎盘中,胎儿的血液和母体的血液之间有一层膜作为屏障。这个屏障使得胎儿和母体的血液不必直接混合,就能顺利地进行物质交换。这能避免将母体身上的一些病原体传染给胎儿,但是某些化学物质仍能穿越这个屏障从母体进入胎儿体内。
分娩和养育
(1)胚胎的发育时间
从形成受精卵到胎儿发育成熟,大约经过9个多月的时间(约38周)。
(2)分娩
①概念:成熟的胎儿从母体内产出的过程叫做分娩,产出的胎儿叫做婴儿。
②过程:分娩的全过程共分为三个阶段,也称为三个产程。分娩过程一般需要8~16小时,母亲常常要忍受剧烈的阵痛。
第一产程,宫口扩张期:指从子宫收缩开始到宫口开全,此时子宫的肌肉拉紧引起子宫收缩,子宫不断地收缩使得子宫颈的开口变宽,同时,含有羊水的羊膜囊破裂,羊水流出。
第二产程,胎儿娩出期:指从宫口开全到胎儿娩出。子宫继续收缩,将胎儿推出子宫。一般胎儿的头向下,从阴道中娩出。
第三产程,胎盘娩出期:指从胎儿娩出到胎盘排出的过程。胎儿娩出后,子宫收缩暂时停止,不久子宫又重新开始收缩,促使胎盘从子宫膜上剥落,产后排出体外。这时要切断脐带,使婴儿和母体分离。
(3)婴儿的呼吸
胎儿在母体子宫内通过胎盘和脐带获得氧气,胎儿的肺内没有空气。分娩后,婴儿的肺扩张,外界的空气进入肺,引起婴儿的啼哭或咳嗽,这种行为能除去婴儿鼻、口腔和肺部的液体,并促使呼吸系统工作,从而获得氧气。
(4)婴儿的养育
刚出生的婴儿主要靠母乳喂养。母乳含有婴儿生长发育所需要的各种营养,同时还含有一些抗病物质等,因此母乳是婴儿最好的食品。另外,母乳喂养也是母子感情沟通的重要手段。
婴儿出生后,在较长的时间内,在生活和教育上还要依赖父母,并接受父母的教育。即使到了青春期,还需要父母教导他们怎样照顾自己、怎样为人处世。我们每一个人都应铭记父母的养育之恩。
(二)即时练习:
【小试牛刀1(多选)从受精卵发育成完整个体的过程中,每一个阶段需要的营养来源有所不同,对此下列叙述错误的是(  )
A.人类受精卵在输卵管内细胞分裂所需要的营养由细胞质提供
B.卵生动物的胚胎在发育过程中,全靠卵细胞自身所含的卵黄提供营养
C.人的胚胎着床在子宫后是通过胎盘和脐带从母体获得氧气和营养
D.胎生的动物,其受精卵在母体内发育时,全部由母体直接提供营养
【答案】B,D
【解析】A.人的精子与卵细胞在输卵管处相遇并结合形成受精卵,随后受精卵开始发育成最初的胚胎,此时发育的营养物质来自卵黄,故A正确;B.卵生动物的受精卵孵化是在母体外进行的,胚胎发育所需要的营养物质是由卵黄和卵白提供,故B错误;C.精子与卵细胞在输卵管里融合为受精卵,在由受精卵分裂发育成胚泡的过程中,其所需要的营养物质来自卵细胞的卵黄;胚泡进入子宫植入子宫内膜后,胚泡中的细胞继续分裂和分化,逐渐发育成胚胎,胚胎通过胎盘、脐带从母体获得所需要的营养物质和氧气,同时胎儿产生的二氧化碳等废物,也是通过胎盘经母体排出体外的,故C正确;D.胎生动物受精卵是在输卵管内形成的,受精卵一经形成,就开始进行细胞分裂,及发育到胚胎初期,受精卵还没有结构与母体相连,故营养是都由卵细胞内的卵黄提供的。当受精卵发育成胎儿后,通过胎盘、脐带从母体获得所需要的氧和营养物质;胎儿每时每刻产生的二氧化碳等废物,也是通过胎盘经母体排出的,故D错误。故答案为:BD。
【小试牛刀2】在妈妈的精心呵护下,婷婷从一个受精卵发育成青春美少女(如下图),其中说法正确的是(  )

33079521c7810623294d836457977bf8.png
A.a表示正在受精的卵细胞,此过程是在妈妈体内的子宫内完成的
B.d是由b经分裂和分化等过程形成的,能通过自身消化系统从妈妈体内获得营养物质
C.婷婷上了初中后眼睛就近视了,这跟进入青春期有关
D.进入青春期后,婷婷体内出现的正常生理现象是月经,这与卵巢分泌的雌性激素有关
【答案】D
【解析】A.a表示正在受精的卵细胞,精子在输卵管内与卵细胞相遇,与卵细胞相融合,形成受精卵;这个细胞是在妈妈的输卵管中形成的,故A错误;B.人的生命起点是受精卵,受精卵一经形成就开始分裂,并逐步的分化,形成胚泡缓慢移入子宫中,埋入子宫内膜,逐渐发育 成胚胎。胚胎在子宫内发育,通过脐带和胎盘从母体中获得营养物质和氧,故B错误; C.近视眼与是否进入青春期无关,与不良的用眼习惯有关,故C错误;D.女性的卵巢能产生生殖细胞和分泌雌性激素,性激素能促进第二性征的出现。月经是女孩进入青春期后,子宫内膜每月一次 的周期性出血的生理现象,故D正确。故选D。
【小试牛刀32023年丽水开始实施十条优化生育政策配套措施,促进人口长期均衡发展。下列关于人的生殖相关叙述,正确的是(  )
A.输卵管是受精的场所        B.子宫是产生卵细胞的器官
C.孕妇怀孕期间能酗酒        D.胎儿从羊水中获得营养物质
【答案】A
【解析】
A.在输卵管中,精子和卵细胞结合形成受精卵,故A正确;
B.卵巢的功能是产生卵子和分泌雌性激素,故B错误;
C.孕妇怀孕期间不能酗酒,酗酒会对胎儿造成一定的伤害,故C错误;
D.胎儿通过与脐带连接的胎盘从母体吸收营养物质和氧,故D错误
故答案为:A
03题型精讲
题型一人的生殖系统的组成及功能
【典型例题1】雌性主要生殖器官的功能有    (  )
①产生卵细胞②为胚胎发育初期提供所需要的营养物质  ③输送细胞  ④分泌雌性激素⑤胚胎发育的场所
A.①③⑤              B.②③④
C.①④          D.②③
【答案】C
【解析】
本题主要考查卵巢的功能。雌性主要生殖器官是卵巢,卵巢的功能是产生卵细胞和分泌雌性激素,所以功能①⑤中,①和④是卵巢的功能;而②是卵细胞中卵黄的功能;③是输卵管的功能;⑤是子宫的功能。本题答案是C。
【典型例题2】下列关于生殖和发育的叙述中,正确的是(  )
A.受精作用发生在女性子宫里
B.胎儿与母体进行物质交换的器官是脐带
C.睾丸和卵巢是产生生殖细胞和分泌性激素的器官
D.女性输卵管结扎后将不再产生月经
【答案】C
【解析】A.受精作用发生在女性输卵管里,故A错误;B.胎儿与母体进行物质交换的器官是胎盘,故B错误;C.睾丸和卵巢是产生生殖细胞和分泌性激素的器官,故C正确; D.女性输卵管结扎后不影响月经的形成,故D错误。故选C。
【对点训练1】男女生殖器官中,既能产生殖细胞,又能分泌激素的分别是()
A.附睾和子宫        B.睾丸和卵巢
C.附睾和阴道        D.精囊腺和卵巢
【答案】B
【解析】
男女生殖器官中,既能产生殖细胞,又能分泌激素的分别是睾丸和卵巢 ;故答案为:B.
【对点训练2】为了促进小猪长膘,小猪长到一两个月的时候就会被阉割(去除睾丸或卵巢)。被阉割后的母猪(  )
A.能分泌雌性激素,不能产生卵细胞
B.不能分泌雌性激素,能产生卵细胞
C.能分泌雌性激素,也能产生卵细胞
D.不能分泌雌性激素,也不能产生卵细胞
【答案】D
【解析】卵巢的作用是分泌雌性激素,产生卵细胞,;被阉割后的母猪没有卵巢,所以不能分泌雌性激素,也不能产生卵细胞;故答案为:D.
题型二受精过程
典型例题3】人体新生命的诞生要经过受精、胚胎发育、分娩和哺乳等过程。如图是女性生殖系统示意图,其中受精的场所在(  )

99f798b25be5e46de891345a119c6958.png
A.①        B.②        C.③        D.④
【答案】B
【解析】
A.①是卵巢,产生卵细胞,故A错误;
B.②是输卵管,是受精的场所,故B正确;
C.③是子宫,是胚胎发育的场所,故C错误;
D.④是阴道,是胎儿产出的通道,故D错误。
故答案为:B。
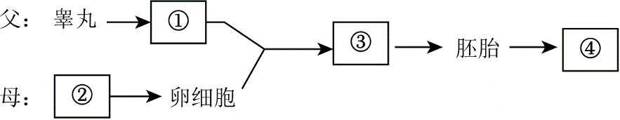
典型例题4】如图表示人类生殖发育的部分过程。代表受精卵的序号是(  )

12875461e39d606e471cb76d2cdeaa56.png
A.①        B.②        C.③        D.④
【答案】C
【解析】
A.1为精子;
B.2为卵巢;
C.3为受精卵;
D.4为胚胎发育后形成的胎儿。
故答案为:C
【对点训练3】人体新生命的诞生要经过排卵、受精、胎儿发育等一系列过程,如图为人体女性生殖系统结构示意图。正常情况下,胎儿发育的场所应在图中的结构(  )

1e06b9a6d5ab4f77b3f6f15f4ab027c5.png
A.①        B.②
C.③        D.④     
【答案】A
【解析】
正常情况下,胎儿发育的场所应在图中的结构是①子宫;
故答案为:A
【对点训练4】
题型三胚胎的发育及分娩               
典型例题5】人类新生命的孕育与诞生和生殖系统息息相关。下列有关叙述正确的是(  )

f7784d7cdbdb5f44b01b15f02865bfca.png
A.精子由睾丸产生,卵细胞由输卵管产生
B.受精卵的形成部位与胚胎发育场所都在子宫
C.胎儿生活在半透明的羊水中,可以用肺呼吸
D.胎儿的代谢废物通过胎儿→脐带→胎盘→母体排出
【答案】D
【解析】
A. 精子由睾丸产生,卵细胞由卵巢产生,A错误;
B. 受精卵的形成部位在输卵管,胚胎发育场所在子宫,B错误;
C. 胎儿生活在半透明的羊水中,通过胎盘和脐带从母体获得氧气和营养物质,C错误;
D. 胎儿的代谢废物通过胎儿→脐带→胎盘→母体排出,D正确;
故答案为:D
典型例题6】用如图模型表示母体与胚胎进行的物质交换,ABCD代表交换的各物质,其中表述错误的是(  )

fabe99045b941578d8fce05854a26b77.png
A.氧气        B.母乳        C.营养物质        D.二氧化碳
【答案】B
【解析】胎儿通过胎盘和脐带和母体进行营养物质交换;胎儿从母体中获取氧气和营养物质,并把二氧化碳和代谢废物给母体;所以ACD正确;B错误,只有当胚胎分娩出来后才会从母体通过吮吸的方式获得母乳,而并非通过胎盘和脐带获得;故答案为:B.
【对点训练5如图是胎儿形成过程,对该过程描述不正确的是(  )

d58d4368e7bc7aa8751753c3f71a2c09.png
A.①表示睾丸,能分泌雌性激素
B.②表示卵细胞,细胞质中含有丰富营养物质
C.③表示受精卵,是新生命的起点
D.④表示发育过程,主要在子宫中完成
【答案】A
【解析】A. ①表示睾丸,产生精子,能分泌雄性激素,A错误; B.  ②表示卵细胞,细胞质中含有丰富营养物质,B正确; C.  ③表示受精卵,是新生命的起点 ,C正确;D.子宫是胚胎发育的场所,所以④表示发育过程,主要在子宫中完成故答案为:A.
【对点训练6】如图是从受精到婴儿的发育过程示意图,有关叙述正确的是(  )

aec3808f738e93a6345990b770ee9ada.png
A.①表示受精过程,是在卵巢内进行的
B.②﹣③表示细胞分裂过程,是在子宫内完成的
C.④是在子宫内进行的,发育所需的营养部分来自卵细胞中的卵黄
D.胎儿呼吸作用产生的二氧化碳由母体排出体外
【答案】D
【解析】A. ①表示受精过程,是在输卵管内进行的,A错误;
B. ②﹣③表示细胞分裂过程,是在输卵管和子宫内完成的,B错误;
C. ④是在子宫内进行的,发育所需的营养通过胎盘和脐带来自母体,C错误;
D. 胎儿呼吸作用产生的二氧化碳通过胎盘和脐带由母体排出体外 ,D正确;
故答案为:D
04体系构建

e39751a7559d373ac1e46aacce54293f.png
05记忆清单
1. 由生殖器官的结构名称记忆其功能
如男性生殖器官的精囊腺和前列腺都是腺体,可分泌黏液;输精管和输卵管都有输送生殖细胞的作用;尿道和阴道都有通道的作用;子宫是胚胎发育的“宫殿”,即胚胎发育的场所。
2.两种生殖细胞
男性生殖细胞--精子,由睾丸产生;女性生殖细胞--卵细胞,由卵巢产生。
3.两个场所
受精及受精卵开始分裂的场所一-输卵管;胚胎发育的场所--子宫。
强化训练
1.吸烟有害健康,烟草中的尼古丁能杀伤大量精子降低受孕率。人产生精子的器官和受精场所分别是(  )
A.睾丸和输卵管        B.卵巢和输精管
C.睾丸和子宫        D.附睾和输卵管
【答案】A
【解析】人体产生精子的场所为睾丸,卵巢产生卵子,其在输卵管中结合,形成的受精卵在子宫中发育成胚胎。故答案为:A
2人体个体发育的起点是()
A.卵子        B.受精卵        C.胚胎        D.婴儿
【答案】B
【解析】人体个体发育的起点是受精卵;故答案为:B.
3如图是人从受精卵到胚胎的部分阶段,下列有关人的生殖和发有的叙述不正确的是

1cbc6107901124ccc33d932926e4548e.png
A.受精卵是在输卵管内形成的
B.人的第一性征在形成受精卵时就已确定
C.从受精卵到胚胎并不属于人体的发育阶段
D.胚胎发育所需的营养主要是通过脐带和胎盘从母体获得
【答案】C
【解析】
A. 受精卵是在输卵管内形成的 ,A正确; B. 人的第一性征在形成受精卵时已经确定,B正确; C. 从受精卵到胚胎并不属于人体的发育阶段,错误;受精卵是人生命的起点; D. 胚胎发育所需的营养主要是通过脐带和胎盘从母体获得 ,D正确;故答案为:C.
4下列有关人类生殖和发育的叙述中不正确的是(  )
A.自然的受精过程发生在女性的输卵管里
B.婴儿出生标志着人体生长发育的开始
C.胚胎在母体内发育时营养主要通过胎盘和脐带提供
D.青春期的男性和女性在外表上表现出来明显的差异称为第二性征
【答案】B
【解析】
A.受精的场所在输卵管,故A不符合题意。
B.人体生长发育的起点是受精卵,故B符合题意
C.胎盘是连接胚胎和母体的器官, 通过脐带、胎盘从母体中获得所需要的营养物质和氧,胎儿每时每刻所产生的二氧化碳等废物,也是通过脐带、胎盘经母体排出的。 故C不符合题意。
D. 第二性征是指人进入青春期后的身体变化。所以青春期的男性和女性在外表上表现出来明显的差异称为第二性征 故D不符合题意。
故答案为:B
5据说杭州一名父亲18年坚持为女儿拍“生日照”,记录了“女大十八变,越变越漂亮”的过程。与“女大十八变”直接相关的器官和物质分别是(  )
A.子宫和月经        B.卵巢和雌性激素
C.子宫和雌性激素        D.输卵管和雌性激素
【答案】B
【解析】子宫是胚胎发育的场所;输卵管是受精的场所;卵巢是分泌雌性激素的器官,女大十八变主要是由于雌性激素引起的女性外形上的变化,属于第二性特征。故答案为:B
6“请不要在孕妇身旁吸烟”,烟雾中的有害物质会通过孕妇影响胎儿。孕妇和胎儿之间联系的“纽带”是(  )
A.卵巢        B.胎盘        C.子宫        D.输卵管
【答案】B
【解析】
孕妇与胎儿之间的物质交换是通过胎盘进行的。胚胎通过脐带和胎盘可从母体不断获得氧气和营养物质,有害物质也会通过脐带和胎盘进入胎儿体内。故答案为:B。
7子宫移植为因子宫问题而不孕的妇女们实现生育的梦想。子宫的功能是(  )
A.产生卵细胞        B.产生雌性激素
C.受精场所        D.胚胎发育场所
【答案】D
【解析】
A. 产生卵细胞 ,是卵巢的功能; B. 产生雌性激素 ,是卵巢的功能; C. 受精场所是输卵管;D.子宫是胚胎发育的场所,D正确;故答案为:D.
8如图是胎儿与母体间物质交换的模型图,图中物质交换方向不正确的是 (  )

38f0d0826d3b099745a2b1ab5db639ad.png
A.二氧化碳        B.氧气        C.营养物质        D.其他废物
【答案】A
【解析】
胎儿和母体之间通过胎盘和脐带进行物质交换,胎儿将二氧化碳和代谢废物给母体,母体把氧气和营养物质给胎儿。所以A中二氧化碳的交换方向不合理。故答案为:A.
9据说长沙一名父亲18年坚持为女儿拍“生日照”,记录了“女大十八变,越变越漂亮”的过程。与“女大十八变”直接相关的器官和物质分别是(  )
A.子宫和月经        B.卵巢和雌性激素
C.子宫和雌性激素        D.输卵管和雌性激素
【答案】B
【解析】
与“女大十八变”直接相关 的器官是卵巢,它是主要的生殖器官,会分泌雌性激素,维持女性的第二性征,同时会产生卵细胞。故答案为:B.
10如果一位女性因肿瘤摘除子宫,她将表现出(  )
A.不出现第二性征        B.不能形成生殖细胞
C.不能分泌性激素        D.不能形成月经
【答案】D
【解析】
A.女性的第二性征是由卵巢分泌的雌性激素所维持的,A错误;B. 卵巢产生生殖细胞,B错误;C.卵巢分泌雌性激素,C错误;D.月经是每个月有一个成熟的卵细胞从卵巢中排出,如果卵细胞没有受精,子宫内膜就会自然脱落,引起子宫出血。如果没有子宫就不会出现月经。 故答案为:D.
11图甲为人类生殖发育过程示意图,图乙为女性生殖系统结构示意图,请据图回答相关问题。

cee5d571b3cc2c74b8c128ec8d28340f.png
(1)[A]有长长的尾巴,能游动。
(2)[C]形成的场所在图乙中的[]
(3)胚胎发育的主要部位是图乙中的[]
【答案】(1)精子
(2)受精卵;2;输卵管
(3)3;子宫
【解析】
(1)精子有长长的尾巴,能游动,游去与卵细胞结合。(2)C是由精子和卵细胞结合形成的受精卵,形成的场所是在2输卵管中。(3)胚胎发育的主要部分是3子宫中故答案为:(1)精子  (2)受精卵  2  输卵管   (3)3    子宫
12如图表示人的受精及胚胎发育过程,请据图回答:

c58a66668648279ac8acb2cde70fed82.png
(1)B表示的器官是
(2)过程D发生的场所是
【答案】(1)卵巢
(2)输卵管
【解析】
(1)卵巢产生卵细胞,故B为卵巢;(2)过程D为受精过程,在母体的输卵管中进行。
13生物的生殖使生物得以繁行,生物有多种多样的生殖方式,回答下列问题:
(1)试管婴儿是让卵细胞在体外受精,然后再将受精卵形成的早期胚胎置于女性的内发育成胎儿。
(2)用如图模型可表示母体与胚胎进行的物质交换,ABCD代表交换的各物质,下列表述一定正确的是______。

5ab1a46a8f48a873939922d7d0d9f927.png
A.氧气        B.母乳        C.营养物质        D.二氧化碳
【答案】(1)子宫
(2)A;C;D
【解析】
(1) 受精卵形成的早期胚胎置于女性的子宫内发育;(2)母体将氧气,营养物质,二氧化碳都给了胚胎。
14为积极应对人口老龄化问题,修改后的《中华人民共和国人口与计划生育法》规定,一对夫妻可以生育三个孩子。如图所示是女性生殖系统结构示意图,请回答下列问题:

f32198f89fec523622d671d78c86e798.png
(1)人的生命起始于父母生殖细胞的结合,这个结合过程在母体的(选填字母)内完成。
(2)孕期吸烟,香烟中尼古丁等有毒害作用的物质可以由母亲的血液通过和脐带进入胚胎,造成胎儿畸形。
(3)胎儿娩出后,可以直接根据第性征判断婴儿的性别。
(4)高龄妇女若再孕困难可以借助试管婴儿技术提高成功率,这是一种(选填“有性”或“无性”)生殖技术。
【答案】(1)B
(2)胎盘
(3)一
(4)有性
【解析】
(1)精子和卵细胞结合的场所是输卵管,图中的B;
(2) 胎盘和脐带是连接胎儿和母体的纽带,孕期吸烟,香烟中尼古丁等有毒害作用的物质可以由母亲的血液通过胎盘和脐带进入胚胎,造成胎儿畸形。
(3)生殖器官的差异成为第一特征, 胎儿娩出后,可以直接根据第一性征判断婴儿的性别。
(4)试管婴儿是指卵细胞和精子在体外结合形成受精卵,等到分裂成早期胚胎后移入子宫的生育方式,属于有性生殖;高龄妇女若再孕困难可以借助试管婴儿技术提高成功率,这是一种有性生殖技术。
故答案为:(1)B(2)胎盘(3)一(4)有性

您需要登录后才可以回帖 登录 | 立即注册

本版积分规则

Archiver|手机版|小黑屋|5432教案网 ( 蜀ICP备2022024372号-1 |川公网安备51152402000101号 )|网站地图

GMT+8, 2026-5-19 22:28 , Processed in 2.728138 second(s), 32 queries .

Powered by Discuz! X3.5

© 2001-2026 Discuz! Team.

快速回复 返回顶部 返回列表