找回密码
 立即注册
搜索
查看: 124|回复: 0

[浙教版] (七下)3.6 摩擦力 (解析版)

[复制链接]

4万

主题

224

回帖

19万

积分

管理员

积分
196389
发表于 2026-3-21 07:11:55 | 显示全部楼层 |阅读模式
3.6 摩擦力
学习目标
1.知道固体、液体、气体都会产生摩擦力以及摩擦力的存在具有普遍性。知道摩擦力是如何产生的。
2.通过实验,探究摩擦力跟物体表面受到的压力以及接触面的粗糙程度的关系。
3.能说明摩擦力的利与弊,说出增大和减小摩擦的具体方法。
02预习导学
摩擦力
1.摩擦力的定义:像这样两个互相接触的物体,当它们要发生或已经发生相对运动时,就会在接触面上产生一种阻碍物体相对运动趋势或相对运动的力,这种力就叫做摩擦力。
2.摩擦力产生的三个条件
①两物体接触面粗糙;②两物体之间正在发生相对运动或有相对运动趋势;③两物体相互挤压,发生形变,有弹力。这三个条件缺一不可。
3.摩擦的种类
滑动摩擦:两个物体之间因相对滑动而产生的摩擦
②滚动摩擦:两个物体之间因相对滚动而产生的摩擦
③静摩擦:两个有相对运动趋势的物体之间存在的摩擦
4.摩擦力的方向
由于摩擦力阻碍物体相对运动或相对运动的趋势,所以摩擦力的方向必定与物体相对运动方向或相对运动趋垫的方向相反。
二、影响摩擦力大小的因素
1.滑动摩擦力的大小既跟压力的大小有关,又跟接触面的粗糙程度有关。接触面粗糙程度相同时,压力越大,滑动摩擦力越大;压力相同时,接触面越粗糙,滑动摩擦力越大。
注意:
(1)滑动摩擦力的大小与接触面积的大小是否有关呢?探究方案:控制对水平面的压力、接触面粗糙程度不变,分别将物体平放、侧放、立放,匀速拉动物体,测出摩擦力的大小并进行比较。
结论:滑动摩擦力的大小与接触面积的大小无关。
增大或减小摩擦的方法
1.增大有益摩擦的方法:增大压力;增大接触面的粗糙程度;用滑动代替滚动。
2.减小有害摩擦的方法:减小压力;减小接触面的粗糙程度;用滚动代替滑动;使两个互相接触的摩擦面彼此分离(如形成气垫)。
(二)即时练习:
【小试牛刀1】在如图所示的实例中,为了减小摩擦的是(  )
A
7cbf712b2134d433bd38982fffe65027.png 旋钮上的条纹        B
00ee85f143874d4b11c4de23169cccce.png 举重前涂防滑粉        
C
62da5871197728ddacc028c9abb4a929.png 用力握刹车把手        D
db9ae5af7c5712313368e13e383232e0.png 气垫船底空气垫
【答案】D
【解答】解:A、旋钮上的条纹,是在压力一定时,通过增大接触面的粗糙程度来增大摩擦力,故A不符合题意;
B、举重涂防滑粉,是在压力一定时,通过增大接触面的粗糙程度来增大摩擦力,故B不符合题意;
C、用力握自行车的刹车把手,是在接触面粗糙程度一定时,通过增大压力来增大摩擦力,故C不符合题意;
D、垫船底部有一层空气垫,是通过使接触面脱离来减小摩擦力,故D符合题意。
故选:D
【小试牛刀2】6.(2023秋•鄞州区期末)北京时间2023822日凌晨,在巴西里约热内卢举行的U15世界中学生夏季运动会女子100米决赛中,来自我校的初二学生陈妤颉以1156的优异成绩夺冠,追平了1982年以来国际中学生体育联合会18岁以下赛会纪录。下列说法正确的是(  )
A.运动员在听到发令枪时,用力蹬助跑器是为了获得更大的推力        
B.在运动员全力冲过终点的过程中,运动员鞋底与地面之间的摩擦力是滑动摩擦力        
C.陈妤颉的最快速度是8.65m/s        
D.在运动员冲过终点时由于惯性作用所以无法立刻停下来
【答案】D
【解答】解:A、相互作用力的大小相同,故A错误;
B、在运动员全力冲过终点的过程中,鞋底与地面脱离的瞬间相对静止,故它们之间的摩擦是静摩擦力,B错误;
C、陈妤颉跑百米的平均速度v8.65m/s,不是最快速度,故C错误;
D、运动员冲过终点时,由于具有惯性,仍然要保持原来的运动状态,所以无法立刻停下来,故D正确。
故选:D
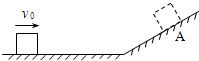
【小试牛刀3】2023秋•宁海县校级期中)如图所示,一个木块在光滑水平面上以v0的速度做匀速直线运动,冲上粗糙斜面后最终静止在A点。关于木块在斜面上受到摩擦力的说法正确的是(  )

9ee044352b81e16e162a176e29bb4c83.png
A.木块在斜面上受到的摩擦力大小始终不变        
B.木块在A点时受到的摩擦力大小等于木块的重力        
C.木块在斜面上受到的摩擦力方向始终沿斜面向下        
D.木块在斜面上受到的摩擦力方向会发生变化
【答案】D
【解答】解:A、一个木块在光滑水平面上以v0的速度做匀速直线运动,不受摩擦力;木块在斜面上运动时,压力不变、接触面的粗糙程度不变,所以摩擦力不变;当木块在斜面上静止时,所受的摩擦力为静摩擦力,大小与滑动时的摩擦力不相等,故A错误;
B、木块在A点静止时,其受到向下的力是重力的一个分力,这个力与木块受到的摩擦力平衡,因此木块受到的重力大于此时的摩擦力,故B错误;
CD、木块冲上粗糙斜面的过程中,摩擦力沿斜面向下,当静止在斜面上有沿斜面下滑的趋势,因此摩擦力的方向沿斜面向上,故C错误,D正确
故选:D
03题型精讲
题型一摩擦力的产生
【典型例题1】如图所示,两块相同的竖直挡板(阴影部分)之间有质量均为m的三块相同的砖,用大小均为F的水平力压住挡板,使砖块保持静止不动,则12块砖之间摩擦力的大小为(  )

29bfb42e4d249d5498cbd7dca7918ec3.png
A0.5mg        Bmg        C2mg        D3mg
【答案】A
【解答】解:先以三块砖组成的整体为研究对象,竖直方向受左右两侧板的向上的静摩擦力和重力3G3mg,设左右两侧板的静摩擦力均为f
2f3mg,得f1.5mg
2受力分析,12的摩擦力和32的摩擦力相等,
由平衡条件:2f12mg,得f120.5mg
故选:A
【典型例题2如图所示,一个物体重10牛,用30牛的力F沿水平方向将物体A压在竖直的墙壁上,则墙壁受到的摩擦力是(  )

1b4e8fe974cd056a8da655142cbe0bc6.png
A10        B20        C30        D40
【答案】A
【解答】解:一个物体重10牛,用30牛的力F沿水平方向将物体A压在竖直的墙壁上,物体静止受力平衡,竖直方向重力与摩擦力平衡,fG10N,根据相互作用力大小相等,墙壁受到的摩擦力等于墙壁对物体的摩擦力,故大小为10N
故选:A
【对点训练1】如图所示,用F6N水平向右的拉力匀速拉动物块A时,物块B静止不动,此时弹簧测力计的示数为4N,则物块A所受地面摩擦力的大小及方向为(  )

4ff8538cfda115b52027804087906971.png
A2N,水平向右        B6N,水平向左        
C2N,水平向左        D6N,水平向右
【答案】C
【解答】解:
匀速向右拉动物块A时,物块B相对于A向左运动,则B所受摩擦力方向向右,大小与弹簧测力计示数相同,fB4N
A在水平方向受B对其向左的摩擦力和地面对其向左的摩擦力作用,因为A匀速运动,所以这三个力平衡,则A所受摩擦力fFFB6N4N2N,方向向左。
故选:C
题型二探究影响滑动摩擦力大小的因素
典型例题3】
小华在训练爬杆和爬绳时,先后顺着杆向下匀速直线滑落和沿着绳匀速向上爬,握杆的力小于抓绳的力,且下滑时速度大于爬升的速度,下列说法正确的是(  )

95382d80b46a2ffc02375d94729ac650.png
A.爬绳和爬杆时受到的摩擦力均竖直向上        
B.绳子更粗糙,所以爬绳时受到的摩擦力更大        
C.抓绳的力更大,所以爬绳时受到的摩擦力更大        
D.下滑时速度更大,所以爬杆时受到的摩擦力更大
【答案】A
【解答】解:小华在爬杆或爬绳时,都受到竖直向下的重力G、竖直向上的摩擦力f;因小华做匀速直线运动,处于平衡状态,则由二力平衡条件知道fG
由于在两种情况下,小华的重力不变,所以两种情况下,他受到的摩擦力相等,与爬的速度和握力的大小没有关系,故A正确,BCD错误。
故选:A
典型例题4】如图所示,甲、乙两位同学做“拔河”游戏。两人分别用伸平的手掌托起木长凳的一端,保持凳子水平,然后各自向两侧拖拉。若凳子下表面各处的粗糙程度相同,两位同学手掌粗糙程度也相同,在乙端的凳面上放四块砖,下列判断正确的是(  )

f11c4c85701fca64f73250884db2a1f0.png
A.由于甲端比较轻,甲容易将凳子拉向自己        
B.由于乙端比较重,可以和手之间产生较大的摩擦,乙可以将凳子拉向自己        
C.谁用的力气大就可以将凳子拉向自己        
D.谁的体重大,人与地面之间产生较大的摩擦,体重大就可以将凳子拉向自己
【答案】B
【解答】解:由图知,乙端对手的压力较大,所以乙端对凳子向右的最大静摩擦力大于甲端对凳子向左最大静摩擦力,由于甲所受最大静摩擦力小,因此甲将较容易相对长凳滑动,即甲容易被从长凳上拉离,因此凳子将向右移动,即乙可以将凳子拉向自己;故A错误,B正确,CD错误;
故选:B
【对点训练2把一根粗糙的木棒按图所示的方式放在分开的两手的食指上。两手指距木棒两端的距离相同。现在缓缓地相向移动两个手指。刚开始移动时。发现右食指相对木棒发生移动,而左手食指相对木棒未发生移动。则此时右食指对木棒的摩擦力 (选填“大于”、“等于”或“小于”)左食指对木棒的摩擦力。当两手指碰到一起时,两手指的位置在木棒中心的 侧(选填:“左”或“右”)。

26e7f78522062c7309c1cc7a7f2d4e03.png
【答案】见试题解答内容
【解答】解:(1)两手指距木棒两端的距离相同,现缓慢地相向移动两个手指,刚开始移动时,发现右手食指相对木棒移动,右手指与木棒之间的摩擦力是滑动摩擦力,假设它们之间的摩擦力分别为ff,且有ff;而左手食指相对木棒未发生移动,但木棒在f的作用下,有向右的运动趋势,此时左手与木棒之间存在静摩擦力,由于木棒处于静止状态,受到平衡力作用,即ff.故右食指与木棒间的摩擦力等于左食指与木棒间的摩擦力。
2)当两手指碰到一起时,两个手指在木棒的重心位置,由于右手先移动,说明木棒的重心偏左,所以当两手指碰到一起时,两手指的位置在木棒中心的左侧。
故答案为:等于;左。
04体系构建

a0969bfabcfa69a0665a719a61de5b0e.png
05记忆清单
2.摩擦力产生的三个条件
①两物体接触面粗糙;②两物体之间正在发生相对运动或有相对运动趋势;③两物体相互挤压,发生形变,有弹力。这三个条件缺一不可。
强化训练
1.探究滑动摩擦力大小影响因素的实验如图所示。要准确测出B所受摩擦力大小,操作中(  )

b9bc40bda8af904168aaebc2d140a41b.png
A.必须匀速拉动A木板,等B物体相对地面静止时读数        
B.必须匀速拉动A木板,等B物体相对地面运动时读数        
C.只需拉动A木板,等B物体相对地面静止时读数        
D.只需拉动A木板,等B物体相对地面运动时读数
【答案】C
【解答】解:木块B固定,抽动木板A,不一定要匀速拉动长木板A,木块B总会处于静止状态,受到的摩擦力与拉力始终是平衡力,大小相等,故C正确,ACD错误。
故选:C
2.如图所示,在做“研究滑动摩擦力大小”的实验时,将木块A放置在水平木板B上,并在木块A上加上一个砝码,把一个弹簧测力计系在木块A上。当向左拉动木板B时,弹簧测力计指针稳定在图示位置。下列说法错误的是(  )

f5bfbaa05d3ec862cb365d77417f9d17.png
A.此装置可研究滑动摩擦力大小与压力的关系        
B.木块A受到木板B的摩擦力与弹簧测力计对它的拉力是一对平衡力        
C.木块A受到木板B的摩擦力的大小为2.4N,方向向左        
D.若增大拉动木板B的速度,则弹簧测力计的示数会变大
【答案】D
【解答】解:A、两物体间接触面的粗糙程度不变,在A上加减砝码可以改变物体间压力的大小,该实验装置可以探究滑动摩擦力大小与压力的关系,故A的说法正确;
BAB的摩擦力与测力计对A的拉力是作用在同一物体上的两个力,弹簧测力计指针稳定,说明木块A处于平衡状态,所以A受到B的摩擦力与弹簧测力计对它的拉力是一对平衡力,故B的说法正确;
C、由图示弹簧测力计可知,其分度值为0.2N,示数为2.4NA处于平衡状态,由二力平衡条件可知,A受到的滑动摩擦力fF2.4N
A相对于B向右滑动,则A受到向左的滑动摩擦力,故C的说法正确;
DAB间的摩擦力是滑动摩擦力,滑动摩擦力与物体间接触面的粗糙程度和物体间的压力有关,与物体的运动速度无关;如果增大拉动B的速度,接触面的粗糙程度、物体间的压力保持不变,物体间的滑动摩擦力不变,由力的平衡条件可知,测力计的示数不变,故D的说法错误。
故选:D
3.(2023秋•杭州月考)小滨用如图一所示的装置探究摩擦力的大小与哪些因素有关。实验时发现:在木块没有被拉动时,弹簧测力计也有示数,且示数会变化。他请教老师,知道可用Ft图像表示拉力随时间的变化情况。若某次实验开始拉动木块直到木块匀速滑动的Ft图像如图二所示;其中04s木块处于静止状态。下列分析正确的是(  )

df6555501c9726300909e6e6f74a8814.png
A.当在木块没有被拉动时,弹簧测力计的示数小于木块所受的摩擦力        
B.当用F2.1牛的水平拉力拉静止的木块时,木块所受摩擦力大小为2.1N        
C.若用F2.6牛的水平拉力拉木块,木块所受摩擦力大小为2.6N        
D.若以更快速度拉动木块滑动,弹簧测力计的示数和木块所受的摩擦力都大于2.0N
【答案】B
【解答】解:A、木块没有被拉动为静止状态,此时的拉力等于静摩擦力,故A错误;
B、当用F2.1牛的水平拉力拉静止的木块时,木块为静止状态,此时的拉力等于静摩擦力,大小为2.1N,故B正确;
C、由图像可知木块匀速直线滑动时的拉力为2N,根据二力平衡,滑动摩擦力大小为2N,用F2.6牛的水平拉力拉木块,压力和接触面粗糙程度不变,滑动摩擦力不变,大小为2N,故C错误;
D、以更快速度拉动木块滑动,拉力的大小要大于2N,压力和接触面粗糙程度不变,滑动摩擦力的大小不变依然为2N,故D错误;
故选:B
4.2023秋•宁波期末)北京时间2023822日凌晨,在巴西里约热内卢举行的U15世界中学生夏季运动会女子100米决赛中,来自我校的初二学生陈妤颉以1156的优异成绩夺冠,追平了1982年以来国际中学生体育联合会18岁以下赛会纪录。下列说法正确的是(  )
A.运动员在听到发令枪时,用力蹬助跑器是为了获得更大的推力        
B.在运动员全力冲过终点的过程中,运动员鞋底与地面之前的摩擦力是滑动摩擦力        
C.陈妤颉的最快速度是865m/s        
D.在运动员冲过终点时由于惯性作用所以无法立刻停下来
【答案】A
【解答】解:A、相互作用力的大小相同,运动员在听到发令枪时,用力蹬助跑器是为了获得更大的推力,故A正确;
B、在运动员全力冲过终点的过程中,鞋底与地面脱离的瞬间相对静止,故它们之间的摩擦是静摩擦力,故B错误;
C、陈妤颉跑百米的平均速度v8.65m/s,不是最快速度,故C错误;
D、运动员冲过终点时,由于具有惯性,仍然要保持原来的运动状态,所以无法立刻停下来,不能说“惯性作用”,故D错误。
故选:A
5.(2023秋•江北区期中)下列四幅图对应的说法正确的是(  )

8d5fe0d6b0d9554150e24347fe9a66e8.png
A.图(甲)中某同学沿杆匀速向上爬升时,该同学受到的摩擦力方向向上        
B.图(乙)中筷子提米在空中静止时,筷子所受的摩擦力方向向上        
C.图(丙)在力F拉动木块B使其速度逐渐变大的过程中,弹簧测力计的示数也逐渐变大        
D.图(丁)为每隔相等时间拍摄的向右运动的某个同学的位置图片,由图可知该同学运动越来越快
【答案】A
【解答】解:A、该同学匀速爬杆时,该同学受到的重力与摩擦力是一对平衡力,重力方向竖直向下,所以摩擦力是竖直向上的,故A正确;
B、用筷子提米时,米受重力和摩擦力的作用而处于静止状态,重力的方向竖直向下,则筷子对米的摩擦力方向竖直向上,因力的作用是相互的,所以米对筷子的摩擦力方向向下,故B错误;
C、在力F拉动木块B使其速度逐渐变大的过程中,AB发生了相对滑动,则A受到滑动摩擦力的作用,由于AB的压力大小和接触面的粗糙程度不变,则A受到的摩擦力大小不变,且物块A相对于地面始终处于静止状态,所以由二力平衡条件可知弹簧测力计的示数不变,故C错误;
D、由图知,该同学向右运动时在相同时间内通过的路程越来越小,根据v可知该同学运动越来越慢,故D错误。
故选:A
6.(2023秋•海曙区期中)如图所示,有一重力不计的方形容器,被水平力F在竖直的墙面上处于静止状态,现缓慢地向容器内注水,直到将容器刚好盛满为止,在此过程中容器始终保持静止,则下列说法中正确的是(  )

c406c638d21720552449f184c3863c5a.png
A.容器受到的摩擦力不变        
B.容器受到的摩擦力逐渐增大        
C.水平力F一定不变        
D.水平力F必须逐渐增大
【答案】B
【解答】解:
AB、由题知容器始终保持静止状态,受力平衡,所受的摩擦力等于容器和水的总重力,所以容器受到的摩擦力逐渐增大,故A错误,B正确;
CD、水平方向上受力平衡,若最大静摩擦力大于重力时,力F可能不变,若最大静摩擦力小于等于重力时F要增大,故CD错误。
故选:B
7.(2023秋•慈溪市期末)如图所示的实例,目的是为了减小摩擦的是(  )
A
df64b2f0adfcb33bc7e9c7c83a23e099.png 轮滑鞋装有滚轮        
B
8e921a8b8793cba7a2dfded08878fe40.png 运动鞋底有凹凸的花纹        
C
0276f5e56a15b565f1e87aa52c9c0732.png 脚蹬面做得凹凸不平        
D
12fdfb362a7e25475cf0d1083d30350b.png 守门员戴着防滑手套
【答案】A
【解答】解:A、轮滑鞋装有滚轮用滚动摩擦代替滑动摩擦来减小摩擦力,故A符合题意;
B、运动鞋底有凹凸的花纹,是在压力一定时,通过增大接触面的粗糙程度来增大摩擦力,故B不符合题意;
C、脚蹬面做得凹凸不平,是在压力一定时,通过增大接触面的粗糙程度来增大摩擦力,故C不符合题意。
D、守门员戴着防滑手套,是在压力一定时,通过增大接触面的粗糙程度来增大摩擦力,故D不符合意题;
故选:A
8.(2023秋•北仑区校级期中)“娃哈哈”、“康师傅”等饮料的塑料瓶盖的外缘上都有细密的凹凸条纹,设计这些条纹的主要目的是(  )
A.为了美观        B.为了增大摩擦        
C.为了增强密封性        D.为了手感舒适
【答案】B
【解答】解:“娃哈哈”、“康师傅”等饮料的塑料瓶盖的外缘上都有细密的凹凸条纹,设计这些条纹的主要目的是在压力一定时,通过增大接触面的粗糙程度来增大摩擦力。
故选:B
9.如图,将弹性球和绳子先后放入瓶中。倒置瓶子,一手拿若瓶一手拉动绳子,直到绳子处于拉紧状态。将瓶子放正后,手拉绳就可将瓶子提起来。下列分析正确的是(  )

c3fdd60f1e69c9330a805fe60eb0d6bd.png
A.增加弹性球的质量有助于实验成功        
B.选择粗细合适的粗糙绳子有助于实验成功        
C.绳子的拉力和瓶子的重力是一对平衡力        
D.绳对手的拉力和绳对瓶的拉力是一对相互作用力
【答案】B
【解答】解:A、绳子在拉出的过程中,被卡在了瓶口,这是弹性球与瓶口、绳子互相挤压,从而对绳子产生摩擦,与弹性球质量无关,故A错误;
B、粗细合适,有一定的粗糙程度,可以在压力一定时,增大接触面粗糙程度,增大摩擦,有助于实验成功,故B正确;
C、绳子的拉力和瓶子的重力大小不同,不是平衡力,绳子的拉力大小等于瓶子与弹性球的重力之和,故C错误;
D、绳对手的拉力和绳对瓶的拉力不是互为施力物体和受力物体,不是一对相互作用力。故D错误。
故选:B

您需要登录后才可以回帖 登录 | 立即注册

本版积分规则

Archiver|手机版|小黑屋|5432教案网 ( 蜀ICP备2022024372号-1 |川公网安备51152402000101号 )|网站地图

GMT+8, 2026-5-20 01:21 , Processed in 8.758580 second(s), 31 queries .

Powered by Discuz! X3.5

© 2001-2026 Discuz! Team.

快速回复 返回顶部 返回列表