找回密码
 立即注册
搜索
查看: 134|回复: 0

[人教版] 06(导学案1)1.4.2 第2课时 有理数的加、减、乘、除混合运算028

[复制链接]

4万

主题

224

回帖

19万

积分

管理员

积分
192579
发表于 2026-2-24 07:21:29 | 显示全部楼层 |阅读模式
1.4.2 有理数的除法
第2课时 有理数的加、减、乘、除混合运算
学习目标:
1、学会用计算器进行有理数的除法运算.
2、掌握有理数的混合运算顺序.
3、通过探究、练习,养成良好的学习习惯
学习重点有理数的混合运算
学习难点运算顺序的确定与性质符号的处理
教学方法:观察、类比、对比、归纳
教学过程
一、学前准备
1、计算         
1)(0.0318)÷1.4)                   2)2+(8)÷2
二、探求新知

266b7500f8942fa3bca66f1bd00bda6f.png
3)(0.1)÷<Object: word/embeddings/oleObject1.bin>×100)
2、师生小结
四、回顾与反思
请你回顾本节课所学习的主要内容
五、自我检测
1、选择题
1)若两个有理数的和与它们的积都是正数,则这两个数(   )
A.都是正数     B.是符号相同的非零数    C.都是负数     D.都是非负数
2)下列说法正确的是(   )
A.负数没有倒数                     B.正数的倒数比自身小
C .任何有理数都有倒数              D.-1的倒数是-1
3)关于0,下列说法不正确的是(   )
A.0有相反数                       B.0有绝对值
C.0有倒数                         D.0是绝对值和相反数都相等的数
4)下列运算结果不一定为负数的是(   )
A.异号两数相乘                     B.异号两数相除
C.异号两数相加                    D.奇数个负因数的乘积
5)下列运算有错误的是(   )
  A.<Object: word/embeddings/oleObject2.bin>÷(-3)=3×(-3)       B. <Object: word/embeddings/oleObject3.bin>
  C.8-(-2)=8+2             D.2-7=(+2)+(-7)

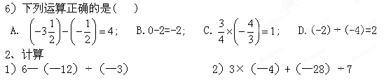
f63fdfd844d80a5558319cf613707ba3.png
3)(48)÷825)×6)       4)<Object: word/embeddings/oleObject4.bin>
六、作业
1、P39第7题(4、5、7、8)、  第8题
2、选做题:P39第10、11、12、1314、15题
您需要登录后才可以回帖 登录 | 立即注册

本版积分规则

Archiver|手机版|小黑屋|5432教案网 ( 蜀ICP备2022024372号-1 |川公网安备51152402000101号 )|网站地图

GMT+8, 2026-4-23 18:22 , Processed in 1.343895 second(s), 32 queries .

Powered by Discuz! X3.5

© 2001-2026 Discuz! Team.

快速回复 返回顶部 返回列表