找回密码
 立即注册
搜索
查看: 135|回复: 0

[人教版] 46(教案1)第7课时 式与方程(2)

[复制链接]

4万

主题

224

回帖

19万

积分

管理员

积分
194028
发表于 2026-2-23 15:59:35 | 显示全部楼层 |阅读模式
6单元  整理和复习
1.数与代数
7课时  式与方程(2)
【教学目标】
1.使学生掌握解方程的方法及列方程解决问题的步骤;知道解决问题的关键是找出数量之间的相等关系;能根据题意正确的列出方程解答、三步计算的问题。
2.使学生根据问题的特点选择恰当的方法来解答。进一步培养学生分析数量关系的能力,发散学生的思维。
3.培养学生抽象、概括的能力和检查、验算的习惯。
4.探索知识间的内在联系,激发学生的学习兴趣。
【教学重难点】
重难点:找出数量之间的相等关系,能根据题意正确的列方程解决问题。
【教学过程】
一、谈话导入
上一节课我们一起学习了本大节第一部分内容:字母表示数,今天继续学习剩下的内容。
二、复习讲授
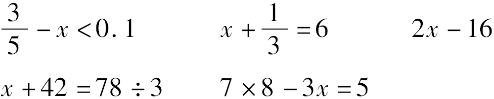
1.复习方程:课件出示:
(1)下面的式子哪些是方程?哪些不是方程?为什么?

650b5835a3eca5cc275144e122e781cd.png
同学们准确的进行了判断,那什么是方程呢?用方程解应用题解决的是什么问题呢?
(2)回忆等式与方程的关系。提问:根据上面的练习,说一说什么是方程,方程与等式有什么关系?
教师小结:方程必须具备两个条件:①必须含有未知数;②必须是一个等式。两者缺一就不是方程。
教师:你知道什么叫“方程的解”,什么叫“解方程”吗?并说一说它们有什么区别?
学生讨论后回答,结合学生的回答,教师板书:
使方程左右两边相等的未知数的值方程的解,它是一个数。求解方程的过程叫做解方程。
教师:说一说,你怎样解方程?解方程时应用什么知识?
学生分小组讨论,讨论后在全班交流。
2.复习列方程解决实际问题。
(1)出示案例:学校组织远足活动。原计划每小时走3.8km,3小时到达目的地。实际2.5小时走完了原定的路程,平均每小时走了多少千米?
(2)学生独立思考并解答下列问题。
①你能用不同的方法解答吗?
②用方程解答的解题步骤是什么?
③在做题时,你想提醒大家注意什么?
④你还有什么不明白的问题需要大家帮助解决的?
(3)订正,汇报。
指名思路。
算术法:3.8×3÷2.5=4.56(km)
方程法:
解:设平均每小时走x千米。
实际的速度×实际的时间=计划的速度×计划的时间
2.5x=3.8×3
x=11.4÷2.5
x=4.56
答:平均每小时走了4.56km。
(4)提问:根据上题的解答,谁能说一说列方程解决问题的步骤是什么?
学生回答后,教师小结。
列方程解决问题的步骤是:
①审题,用x表示未知数;
②找等量关系,列方程;
③解方程;
④检验,写答案。
提问:你认为其中最关键的是哪一步?为什么?
指出:列方程解决问题要按照解题步骤进行,其中最关键的一步是找等量关系列方程。因为方程是根据等量关系列出来的,只有等量关系正确,对照等量关系列出的方程才正确(板书:关键是找等量关系),计算结果不写单位名称。
三、课堂作业
1.教材第81页第二个“做一做”。
解答后说一说数量之间的关系。
2.教材第82-83页第8~10题。
学生独立列方程解答,解答完成后,全班交流。交流各自采用的等量关系。
四、课堂小结
通过这节课的学习,你们有什么收获?
【教学反思】
教师把重点放在“方程”上,在复习方程的意义、等式的性质和解方程后,接着出示案例题,引导学生读题,弄清题意,让学生自主参与列方程解题的过程,提高学生应用代数的初步知识解决问题的能力,培养了学生的初步符号感。
“问题是数学的心脏”,好的问题能促使学生积极思考。本节课教师设计的问题较多,但每一个问题都包含许多知识。如:说一说,你是怎样解方程的?解方程时应用的是什么知识?这样把学生带入了积极思考的境地。
您需要登录后才可以回帖 登录 | 立即注册

本版积分规则

Archiver|手机版|小黑屋|5432教案网 ( 蜀ICP备2022024372号-1 |川公网安备51152402000101号 )|网站地图

GMT+8, 2026-5-4 05:20 , Processed in 0.791149 second(s), 32 queries .

Powered by Discuz! X3.5

© 2001-2026 Discuz! Team.

快速回复 返回顶部 返回列表