找回密码
 立即注册
搜索
查看: 411|回复: 0

[人教版] 05(六上)第一单元 分数乘法

[复制链接]

4万

主题

224

回帖

19万

积分

管理员

积分
194028
发表于 2026-2-23 07:54:36 | 显示全部楼层 |阅读模式

d213a8dd35564ed3faedf7acde4ba713.jpg

fdbb64b2c046ba3b18a503a74672ea97.jpg

7cc48e6cc0486fec9d66906fa4a998bd.png

068bff6ae5cf75aac390cb756b4d8646.jpg
  1.结合具体情境,理解分数乘法的意义,引导学生充分利用已有的知识和经验,探索分数乘法的计算法则及分数连乘的计算方法,并能够熟练地进行计算。
2.使学生会解答“求一个数的几分之几是多少”的简单实际问题,增强应用数学的意识。
3.结合计算和解题过程,进一步培养学生仔细计算、认真检查和及时验算的良好习惯。

e7d493dec4543aa8b51e92283b457904.jpg
1.通过教学活动,体会新旧知识之间的内在联系。
分数乘法包括“分数乘整数”和“一个数乘分数”这两部分内容。先教学分数乘法的意义,通过具体例子,知道一个数乘分数不能再用整数乘法的意义来解释,需要扩展乘法的意义。然后教学分数乘法的计算法则,要与分数乘法的意义紧密联系起来。最后着重教学“求一个数的几分之几是多少”的应用题。教学时,也要紧密结合一个数乘分数的意义,突出把哪个量看作单位“1”,为学生更好地掌握分数乘法应用题的分析方法做好准备。
2.教学分数乘法的计算时,应注意与学生的现实生活紧密联系,激发学生学习的兴趣。
计算问题是在现实生活中产生的,有着丰富的现实背景。老师要立足现实基础,把计算问题还原到需要通过分数乘法计算解决的现实问题中去,使学生充分感受到通过计算可以解决一些实际问题,体会到学习计算的必要性。
3.抓住本单元的知识重点,给学生提供探索与交流的空间,在探索的过程中,理解算理和算法。
本单元的教学重点是分数乘法的计算法则,教学难点是使学生在具体情境中理解一个数乘分数的意义。在学习分数乘分数时,老师可以用折纸的方法让学生理解算理与算法,可以通过“动手操作—学生展示操作方法—老师演示—学生联想操作过程,尝试计算—小组讨论,归纳算法—概括计算方法”的过程来完成对一个数乘分数意义的理解以及算法的探索。
4.练习的内容和形式要有新意、有深度,以增强学生的学习兴趣。
(1)加强思考性,学生不仅要算,而且还要想,使学生在思考中计算。
(2)富于趣味性。
(3)体现教育性。

cab65d9d64349d95ac900a702111e495.jpg
1 分数乘法……………………………………………………………………………..5课时
2 解决问题…………………………………………………………………………….2课时
整理和复习……………………………………………………………………………...2课时

8584b6f2f04136591ab1b2c1b6bbb69e.jpg

43993e4217627ea85f58063ccb57d7ee.jpg

2f2db504cf804974c452557feaa1e944.jpg
分数乘整数
教材第2、第3页的内容及练习一的第1、第2题。

104ac7490a3d87e5380001f4ceaffa52.jpg
1.在具体情境中,使学生理解分数乘整数的意义。在理解算理的基础上,掌握分数乘整数的计算方法。
2.能运用“先约分再相乘”的方法正确计算,提高计算能力。
3.培养学生认真书写、仔细审题的良好习惯。

f0c662282980d8f268f429b6c4af206e.jpg
重点:理解分数乘整数的意义,在理解算理的基础上正确计算。
难点:运用“先约分再相乘”的方法正确进行计算。

fcb3f28b81931f8922c1d951a8002c61.jpg
实物投影。

035820233f11dfa76328ca3df8e6b6b4.jpg

932c62399970e07904ea3dc2445a1786.jpg
1.512是多少。
用加法算:12+12+12+12+12=60
用乘法算:12×5=60
提问:12×5这个算式的意义是什么?
2.计算。

433f7d401e726135e0795aac2dc5a5c1.png
提问:
f657a3a38ee6c6f04326bfd84cf59394.png 这个算式有什么特点?应该怎样计算?
3.小结。
老师:整数乘法的意义就是求几个相同加数的和的简便运算。
同分母分数的加法计算法则:分子相加的和作分子,分母不变。

7d81ade351abfc4809c7457fa2d09106.jpg
1.出示例1
(1)用加法计算。
b5b01d2e7781bc33f24bae66ce4e749d.png
(3)提问:这里为什么用乘法?乘法的意义是什么?
学生讨论交流。
(4)小结:分数乘整数的意义与整数乘法的意义相同,都是求几个相同加数的和的简便运算。
2.出示例2

d32a3696c0d55550a62438e17c012b94.png
(3)展示学生的做法,让他们分别说一说自己的算法。
(4)归纳总结。
老师:这一道题同学们想出了这么多种解法,观察一下它们有没有什么相同点。
学生发现:分子相乘的积作分子,分母没有变化。
提问:哪种方法更简便,为什么?
老师强调:能约分的可以先约分再计算,这样比较简便,不易出错。
3.练习。
(1)完成教材第2页“做一做”的第1题。
要求学生说清为什么用乘法计算,表示的意义是什么。
(2)完成教材第2页“做一做”的第2题。
要求学生写出计算过程,在订正时叙述过程,强调能约分的要先约分,再计算。
(3)完成教材第6页练习一的第1题。
要求学生讲清分数乘整数的意义,再直接口算出结果。
加强计算方法的对比,可以请计算快的同学说一说自己的口算方法,进一步强化“先约分,再计算”的方法。
(4)完成教材第6页练习一的第2题。
独立列式解答,集体订正。

b079dd70cd13d3863bc45c3ba2606340.jpg
1.先在正方形中涂出2个,再算一算涂色部分一共占这个正方形的几分之几。

575a6e91b27d89b4ee404a3167b6620e.png 2.在 里填上合适的数。
3.×3=
9abacda70239b5f664b6d565ff432c0b.jpg =
思维训练

教材习题
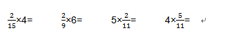
教材第2页做一做

5470d4f52270bddf7f86de305a072980.png

931b1ed26c61af008cd91f4e95879caa.png

a396d76a92fa65ffa48e9f5603f64fd5.jpg
1.学生对整数乘法和分数加法已有一定的经验,可以结合起来进行教学。
2.学生在刚学习分数乘法时可能会有时想不到先约分,老师应该强调这一点。
3.学生不太习惯借助线段图理解运算,要引导学生体验数形结合思想的意义。

036260df42461c0ecb5e745e5a153936.jpg

6fc0306f212cbd254350687df0bfe6bf.jpg
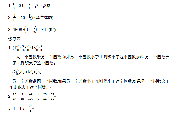
这部分内容是在已学的整数乘法的意义和分数加法计算的基础上进行教学的。分数乘整数的意义和整数乘法的意义相同,只是这里变成了分数。因此,教材通过“吃蛋糕”这一情境来让学生理解什么样的问题可以用乘法来解决。在此基础上再进行分数乘整数的计算方法的学习。通过分数加法来进一步学习分数乘整数的计算方法。学生已学过整数乘法的意义,约分和分数加法计算。学生可以利用分数加法推导出分数乘整数时只需把分子和整数相乘的积作分子,分母不变。在此基础上总结出分数乘整数的计算方法。学生在刚学习分数乘法时可能会有时想不到先约分,所以老师在教学时,还要强调这方面的内容。

4b39a7e4da7bc6b22e01060aef6d855f.jpg
1.引导学生根据线段图直观地理解分数乘法的意义。
在学生已有的分数加法及分数基本意义的基础上,结合生活实例,通过对分数连加算式的研究,使学生理解分数乘整数的意义,掌握分数乘整数的计算方法,能够应用分数乘整数的计算法则,比较熟练地进行计算。通过观察比较,指导学生通过体验,归纳分数乘整数的计算法则,培养学生的抽象概括能力。
2.在教学中突出知识是可以迁移的,沟通加法和乘法间的内在联系。
促进学生自主探索和归纳出分数乘整数的计算方法。虽然分数乘整数和整数乘整数的计算意义完全相同,都是求几个相同加数的和的简便运算,但是计算的方法却有很大的差别,因此我们必须让学生知其所以然,即为什么用分子与整数相乘的积作为分子,分母不变的道理。

ccba47254166758191ab696837a89104.jpg

2f2db504cf804974c452557feaa1e944.jpg
分数乘分数
教材第3、第4页的内容及练习一的第3~6题。

104ac7490a3d87e5380001f4ceaffa52.jpg
1.结合具体情境,理解一个数乘分数的意义并掌握分数乘分数的计算方法。
2.提高学生的计算能力,使学生能够正确、熟练地进行计算。
3.培养学生审题认真、书写工整的好习惯。

f0c662282980d8f268f429b6c4af206e.jpg
理解分数乘分数的意义,掌握分数乘分数的计算方法并能正确计算。

fcb3f28b81931f8922c1d951a8002c61.jpg
练习题投影片,每人准备一张形状规则的纸。

035820233f11dfa76328ca3df8e6b6b4.jpg

932c62399970e07904ea3dc2445a1786.jpg
1.口算。

b5247e0def40bf1d0a37581f10534ca0.png
2.口头出题列式。
强调:求一个数的几分之几是多少,要用乘法计算。

d8d404611954a24141aa61e31399ebf0.jpg
1.出示例3。
学生读题,理解题意。
老师:通过读题,请你找出已知条件和问题。
提问:通过找已知条件和问题,你知道了什么?
引导学生说出:公顷是这块地的总面积,种土豆的面积占这块地的,种玉米的面积占,问题是求种土豆和种玉米的面积分别是多少公顷。
2.确定方法。
提问:这道题用什么方法计算?为什么?
学生:用乘法计算,因为求一个数的几分之几是多少,就用这个数乘分数。

6674a3192841c81fe80330aa69ea03aa.png
学生动手折纸。
老师:涂色部分占这张纸的几分之几?()

47a7a08f543a284f8e6517f01202863c.png
追问:你是怎么算的?
质疑:分数乘分数应该怎样计算?
归纳:分数乘分数,用分母与分母相乘的积作分母,分子与分子相乘的积作分子。
4.练习。
(1)完成教材第6页练习一的第3题。
老师要求学生写出计算过程,并指导书写。
投影展示学生的书写过程,集体订正。
(2)完成教材第6页练习一的第4题。
学生写完后,要求他们说出每个算式的意义。
(3)完成教材第6页练习一的第5题。
这是应用题,要强调书写的规范性。

b079dd70cd13d3863bc45c3ba2606340.jpg
1.口算下面各题。

88072e94df3ce0e535faba6e39166747.png
教材习题
教材第4页做一做

4f52febc477d8412a161c56b3a695a3c.png

81e6e7b72ce4c814fb07989b467b43ae.png

a396d76a92fa65ffa48e9f5603f64fd5.jpg
1.学生已经了解了分数乘整数的意义。
2.学生比较难以理解分数乘分数的意义和算理。
3.学生容易把分数加法与分数乘法的计算混淆,要帮助学生区分。

036260df42461c0ecb5e745e5a153936.jpg

6fc0306f212cbd254350687df0bfe6bf.jpg
分数乘分数的意义是分数乘整数意义的扩展,且计算算理较难理解,所以这部分内容是本节教学的重点,也是难点。记住分数乘法的计算法则并不困难,但让学生理解分数乘法的算理,尤其是分数乘分数的算理,是本节教学的难点。要充分借助学生已有知识基础,通过观察、实验、操作和推理等探索性与挑战性的活动,去理解算理,同时培养学生的观察、动手、分析和推理等能力。另外,学生可能会把分数加法与分数乘法的计算混淆,要通过判断、改错和对比练习等形式帮助学生区分,使学生能够正确计算分数乘法。

4b39a7e4da7bc6b22e01060aef6d855f.jpg
1.在解决实际问题的过程中,借助问题情境将已有的知识迁移。
学生已经理解了分数乘整数的意义,应该让他们通过知识迁移理解分数乘分数的意义。通过直观操作的方法,引导学生自主探索和归纳分数乘分数的计算方法,理解分数乘分数的算理。培养学生用简洁的语言表达思考的过程,发展学生观察推理的能力。
2.利用直观操作的方法,让学生经历、探索分数乘分数的算理形成的过程,并归纳出算理。

9f0fb347c0842f8a74ff9174351e621f.jpg

2f2db504cf804974c452557feaa1e944.jpg
先约分再计算结果的分数乘法
教材第5页的内容、练习一的第7~13题,第8页例5。

104ac7490a3d87e5380001f4ceaffa52.jpg
1.通过学习,理解分数乘分数的计算法则也适用于分数和整数相乘,加深对分数乘法计算法则的理解。
2.进一步提高学生计算的准确性和灵活性。
3.培养学生良好的书写习惯。

f0c662282980d8f268f429b6c4af206e.jpg
正确掌握分数和整数相乘的约分方法,灵活计算。

fcb3f28b81931f8922c1d951a8002c61.jpg
口算卡,练习题投影片。

035820233f11dfa76328ca3df8e6b6b4.jpg

932c62399970e07904ea3dc2445a1786.jpg
  • 说出下面各算式的意义。

da0a60d38dbb71d271fb579beebd8281.png

172fe4c955777b3a0ae76b0d6624a34b.png

7d81ade351abfc4809c7457fa2d09106.jpg
1.揭示课题。
老师:我们已经会计算分数乘分数了,而整数也可以看作分母是1的假分数,所以我们也可以用分数乘分数的法则来计算分数乘整数的算式。
板书课题:分数乘整数的约分方法
2.出示例4。
(1)明确题意。
请学生读题,并找出已知条件和问题。
(2)理解题意。

aa6625302aa20b38ee2b1d108dff0834.png
少千米,用什么方法计算?为什么?
学生甲:应该用乘法计算。因为是在求一个数的几分之几是多少。
学生乙:已知速度和时间,求路程,用乘法计算。
老师:同学们从不同角度说明了这道题为什么用乘法计算,有的同学想到了分数乘法的意义,有的同学想到了“路程、速度和时间”这三者之间的关系,真的很棒。
学生互相交流,得出结论。

(3)计算。
提问:怎样计算更加简便?
明确:能约分的可以先约分再乘。

9314119bb3a6dae063d0992ac7cff63d.png
(5)分析错因。
提问:为什么第三种答案与其他两种不同呢?错在哪里?
学生自由发言。
追问:分数和整数相乘怎样约分?
小结:因为整数都可以看作分母是1的分数,所以分数乘分数的法则也适用于分数乘整数。
3.巩固练习。
(1)完成教材第5页的“做一做”。
学生可以先说意义再计算,集体订正答案时,请学生说出计算方法。
(2)完成教材第6页练习一的第7题。
老师对掌握程度不同的学生可以有不同的要求,引导学生找出当一个数分别乘一个比1大的数、比1小的数和等于1的数时,积与第一个因数之间的大小关系。
(3)完成教材第6页练习一的第8~13题。
学生独立完成后,集体订正答案。
4.出示例5。
(1)明确题意。
请学生读题,并找出已知条件和问题。

7edd55f7a1b14a0f9f0c9f0036f356d9.png
(2)探究算法。
老师:我们已经学会分数乘分数、分数乘整数的计算方法,那么分数乘小数怎么算呢?
板书:分数乘小数的计算方法
学生1:可以把2.1转成分数进行计算。

764948dfdb256f7ca95790c26de85238.png

b079dd70cd13d3863bc45c3ba2606340.jpg
1.在里填上“>”“<”或“=”。

ad90821f79a11e0c7d4aa80855f36a18.png

282473b2adf6a26e3d66b7f11e99dec8.jpg
  • 先计算下面各题,说一说发现了什么规律。

17ae062420889d680239966ab9ff9d62.png

d9a35d5ace259ad63043219d17bf9d4b.png
(2)略

757c908263158c3222a8377149169dc6.jpg
分数乘整数的约分方法


d5a67df276c27fc2282a26e646878db6.png
分数乘分数的简便算法是先约分,后计算,计算结果必须是最简分数。
运用约分对分数乘分数进行简便运算时,约分后分子和分母必须只有公因数1,计
算后的结果才是最简分数。
分数乘小数的计算方法。计算小数乘分数时,可以把小数转化成分数进行计算,即分子与分子相乘,分母与分母相乘,然后约分就可以了;也可以把分数化成小数,按照小数乘小数的计算方法进
行计算;在计算小数乘分数时,如果小数能和分数的分母约分,可以先约分再计算,这
样可以使计算简便。

a396d76a92fa65ffa48e9f5603f64fd5.jpg
1.学生已经了解了分数乘整数和分数乘分数、分数乘小数的意义。
2.学生还不习惯分数乘法先约分再乘。
3.有些学生不清楚整数该与分数的分子还是分母约分。

036260df42461c0ecb5e745e5a153936.jpg

6fc0306f212cbd254350687df0bfe6bf.jpg
本部分内容主要教学分数乘法在乘的过程中的简便的书写格式。教材一方面把分数乘法的两种形式集中呈现,加强它们之间的对比和联系,一方面提出分数和整数相乘怎样约分的问题,让学生知道除了像例4那样进行约分,也可以把分数的分母与整数直接约分。这部分内容是在学生学过分数乘整数的基础上进行教学的,它是后面学习分数除法以及分数乘除法应用题的基础。

4b39a7e4da7bc6b22e01060aef6d855f.jpg
1.加强两种形式的乘法的对比练习。
学生已经理解了分数乘整数和分数乘分数的意义,通过对比练习可以找到两种形式的乘法之间的联系。
2.引导学生观察教材的约分过程,想一想与例2的约分形式有什么不同。特别要注意提醒学生要先观察能否约分,并且注意提醒他们不能把整数与分数的分子约分。

2d7210ab05f46a5954a7695f3f007add.jpg

2f2db504cf804974c452557feaa1e944.jpg
分数混合运算和整数乘法运算定律应用到分数乘法
教材第8、第9页的内容及练习二的第6题。

104ac7490a3d87e5380001f4ceaffa52.jpg
1.使学生知道分数乘加、乘减混合运算与整数混合运算的运算顺序相同,理解整数乘法的运算定律对于分数乘法同样适用,能正确运用这些定律进行分数乘法的简便运算。
2.培养学生的简算意识和简算能力。
3.培养学生养成良好的审题习惯,能认真计算。

f0c662282980d8f268f429b6c4af206e.jpg
运用乘法运算定律正确进行分数乘法的简算。

fcb3f28b81931f8922c1d951a8002c61.jpg
练习题投影片。

035820233f11dfa76328ca3df8e6b6b4.jpg

932c62399970e07904ea3dc2445a1786.jpg
1.说出下面各题的运算顺序。
7×3+5×8  25×(24-19)  (7+25)×4  42+26×17  147÷7×21  28+28÷7
老师:分数乘加、乘减混合运算与整数混合运算的运算顺序相同。
  • 尝试练习。

fcc904242654f356dd6c44c444c326ac.png

7d81ade351abfc4809c7457fa2d09106.jpg
出示例6。
1.知识铺垫。
(1)老师:我们已经学过了长方形的面积的计算方法,请你们说一说,怎样来求长方形的面积。
学生1:我用“(长+宽)×2”来求。
学生2:我用“长×2+宽×2”来求。
学生3:我把四条边直接相加来求。
学生回答,老师板书公式。
(2)根据公式列出算式并求解。


fd7d6c041f2c15dbf167940a6031bbac.png
提问:从上面的算式中,你发现了什么规律?
学生互相交流。
2.归纳小结。
整数乘法的交换律、结合律和分配律,对分数乘法同样适用。
3.用字母表示乘法运算定律。
提问:如何用字母来表示这些运算定律,你还记得吗?
学生回忆,老师板书:
乘法交换律:ab=ba
乘法结合律:(ab)c=a(bc)
乘法分配律:(a+b)c=ac+bc
4.运用定律,解决问题。
老师:应用乘法运算定律,可以使一些计算简便。
出示例7。
1.引导观察。
老师:仔细观察题中的数和运算符号有什么特点,怎样使计算简便一些?
学生审题,思考运用哪个运算定律可以使计算简便。
2.学生尝试计算。
提问:想一想简算的依据是什么。
3.练习。
完成教材第9页的“做一做”。
学生先独立完成,再说一说运用了什么定律。

提问:可以把87分解成什么?(86+1)
这样转化后可以运用哪个运算定律进行简算?
如果班里学生水平较高,可以让做出这道题的同学进行讲解,老师适时给予评价。

b079dd70cd13d3863bc45c3ba2606340.jpg
1.填空。

4584918bb53838bfc3b980c7b3378aef.png 根据(      )    根据(      )                                          
8f9a34d70c6774502b2d4825b73e6569.jpg
课堂作业新设计

4f98d852e806f7eb5368c61b3c6a2371.png

aca10200a1fcf97a42baa4c4d395a7a6.png

026c9a7f7c6bcedb5e266321b46a20c9.png

757c908263158c3222a8377149169dc6.jpg
分数乘法的运算顺序和运算定律
  乘法交换律:ab=ba
乘法结合律:(ab)c=a(bc)
乘法分配律:(a+b)c=ac+bc
  分数乘加、乘减混合运算的运算顺序同整数乘加、乘减混合运算的运算顺序相同。
没有括号的先算乘法,后算加、减;有括号的,先算括号里面的,再算括号外面的。
  整数乘法的交换律、结合律和分配律,对于分数乘法同样适用。

a396d76a92fa65ffa48e9f5603f64fd5.jpg
1.学生已经掌握了分数乘法计算、整数乘法运算定律、整数乘法运算定律推广到小数乘法等相关知识。
2.六年级的学生已经具备了自主探索、合作交流的能力,这一点应该鼓励,并对做得好的同学适当给予表扬。

036260df42461c0ecb5e745e5a153936.jpg

6fc0306f212cbd254350687df0bfe6bf.jpg
本部分教学整数乘法运算定律推广到分数。教材首先说明分数混合运算的顺序与整数混合运算顺序相同。在此基础上安排两个例题。例6结合具体计算,说明乘法运算定律在分数乘法运算中的应用。例7通过观察计算得出“整数乘法的交换律、结合律和分配律,对于分数乘法也适用”。“做一做”安排运用运算定律进行分数乘法的简便计算。整数乘法运算定律学生已经学习了,但掌握不是很牢固,所以课前复习和回顾对本节课的学习非常重要。

4b39a7e4da7bc6b22e01060aef6d855f.jpg
新课教学分为两个层次。
第一层次由整数乘法推广到小数乘法引入,通过教师创设的问题,引发学生的认知冲突,进而组织学生猜想:能否推广到分数乘法。让学生自由地、充分地发表观点后,引导学生自行设计方案来验证猜想,开放了教学的时空。学生的思路突破了教材的束缚,使学习数学的过程真正成为生动活泼的、主动的、富有个性的过程。
第二层次为例题教学。从个体的尝试,到小组间交流,再到全班汇报,步步为营,层层递进,始终紧扣“简算时,运用了什么定律”展开。实践自己探究出的新知,使学生获得了成功的体验,增强了学习数学的自信心;在独立解题后再交流,使小组合作落到实处,也进一步扩充了课堂教学的信息渠道。

6f4e9cce03f2990bd19c5ae9f56ee50a.jpg

2f2db504cf804974c452557feaa1e944.jpg
巩固分数乘加、乘减混合运算及简算
教材第10~12页练习二的第3~17题。

104ac7490a3d87e5380001f4ceaffa52.jpg
1.通过练习,熟练掌握分数乘法的计算法则,能熟练地运用定律进行简便计算。
2.进一步提高学生计算的准确性及灵活性。
3.进一步培养学生养成良好的审题习惯。

f0c662282980d8f268f429b6c4af206e.jpg
能正确灵活地运用乘法运算定律进行简便计算。

fcb3f28b81931f8922c1d951a8002c61.jpg
练习题投影片。

035820233f11dfa76328ca3df8e6b6b4.jpg

932c62399970e07904ea3dc2445a1786.jpg
错例剖析。老师出示下面3道题。

292cd508620c72e9c89f17fc5208b78d.png
学生认真审题后,说一说以上3道题哪些做得不对,错在哪里,应怎样改正。

7d81ade351abfc4809c7457fa2d09106.jpg
1.基本练习。
(1)完成教材第10页练习二的第6题。
老师可以留出5分钟~8分钟的时间让学生独立完成,做完后请学生说清自己进行简便计算的依据,并指出关键步骤。
老师强调:当算式中含有不同级的运算时,要按顺序计算。
(2)完成教材第11页练习二的第10题。
老师先指导学生观察每道题的特点,再挑出可以简算的题目。
学生在5分钟内完成。
(3)完成教材第10页练习二的第5题。
学生先判断对错,再说明理由,最后改错。
2.综合练习。
(1)完成教材第11页练习二的第8题。
这道题学生可能会用不同方法解答,老师鼓励学生从不同角度考虑问题。学生说出思路时,老师要给予积极评价。
(2)完成教材第11页练习二的第9题。
这道题是长方形面积公式的考查,计算后集体订正。
(3)完成教材第12页练习二的第14题。
指导学生先找出已知条件,再计算。
学生做题之前可以先说明思路,再用不同方法解答。

b079dd70cd13d3863bc45c3ba2606340.jpg
1.说出下面各算式的意义并口算出结果。

6840316bbd02caddafc500cb56d15e41.png

282473b2adf6a26e3d66b7f11e99dec8.jpg
1.在里填上“>”“<”或“=”。

56b4649abbc7ce5bda1f9bbb919d2438.png

bc11ffd543674c9d368353e877cff5ac.png
思维训练
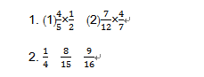
1. < < = < < <
2. (1)B (2)B (3)A (4)A

dc21f3ed4787b0a2a5726b38fe23b721.png

7f68e77b70433a054d35979d94517646.png

8ff0cb75ae9bedd119b517ebe63697cc.jpg

43993e4217627ea85f58063ccb57d7ee.jpg

2f2db504cf804974c452557feaa1e944.jpg
分数连乘应用题
教材第13、14页的内容及练习四第1~3题。

104ac7490a3d87e5380001f4ceaffa52.jpg
1.使学生学会分析分数乘法应用题的数量关系,会应用一个数乘分数的意义解答两步计算的分数乘法应用题。
2.培养学生解决问题的能力,提高学生的分析能力。
3.进一步提高学生思考问题的逻辑性。

f0c662282980d8f268f429b6c4af206e.jpg
重点:掌握分数连乘的计算方法,突出一次计算。
难点:会解答用分数连乘计算的实际问题。

fcb3f28b81931f8922c1d951a8002c61.jpg
练习题投影片。

035820233f11dfa76328ca3df8e6b6b4.jpg

932c62399970e07904ea3dc2445a1786.jpg
1.说出下面算式表示的意义,再口算出得数。

edf5b18178a99f412ba0a8ea8aaff517.png
学生同桌讨论,集体订正。

7d81ade351abfc4809c7457fa2d09106.jpg
1.出示例8。

c701e76740b59587791d7be768732e6e.png
多少平方米?
学生读题,明确题意。
2.指导学生折纸或画图。
提问:怎样用画图表示已知条件和问题?
提问:要求红萝卜地的面积,就要知道哪个量?(萝卜地的面积)
萝卜地的面积和哪个量有关系?(整个大棚的面积)
用下面的图来表示数量关系:

1650f025f686f9b48872cadfe1917360.jpg
3.列式解答。
提问:根据以上分析,这道题应该怎样解答?
提问:怎样列综合算式解答?

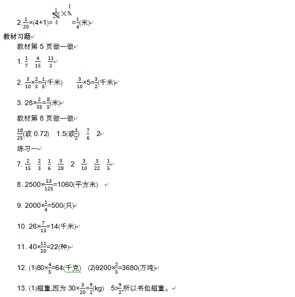
b624f341659af10d29dfd064b7067581.png
根据综合算式,让学生说一说每一步分别求的是什么,每一步分别是把哪个数量看作单位“1”。
强调:分数连乘不必像整数、小数连乘那样,逐次计算,可以一次计算,遇到整数和分数相乘,要用整数与分数的分母约分,不能约分的直接与分数的分子相乘。
4.练习。
(1)完成教材第16页练习三的第1、第2题。
学生做完后,要说明每一步表示的意义,每一步都是把哪个数量看作单位“1”。
(2)完成教材第16页练习三的第3题。

b079dd70cd13d3863bc45c3ba2606340.jpg
1.计算下面各题。

f667f2af1c88682f44d14e4e05b2a559.png
光。小聪、小明和小智三人谁喝到的果汁多?为什么?

8f9a34d70c6774502b2d4825b73e6569.jpg
课堂作业新设计

d1e0f3aa23db07178cdb69888f773646.png
教材习题
教材第14页做一做

a3ac6939ef512796d23685c684dadbf7.png

ccba47254166758191ab696837a89104.jpg

2f2db504cf804974c452557feaa1e944.jpg
求比一个数多几分之几的数是多少的实际问题
教材第14页的内容及练习三的第4~7题。

104ac7490a3d87e5380001f4ceaffa52.jpg
1.使学生会解答“求比一个数多几分之几的数是多少”的应用题。
2.在解答应用题的过程中,进一步培养学生画线段图的能力,从而提高学生解答这类应用题的熟练程度。

f0c662282980d8f268f429b6c4af206e.jpg
掌握分析方法,正确熟练地解决实际问题。

fcb3f28b81931f8922c1d951a8002c61.jpg
练习题投影片。

035820233f11dfa76328ca3df8e6b6b4.jpg

932c62399970e07904ea3dc2445a1786.jpg
1.把计算结果相等的算式连起来。

1922798fd4975084f26fc9c5f359a603.png
如果学生没有理解,老师可以启发。
(3)问题是求谁每分钟心跳的次数?(婴儿)
3.用线段图来表示题中的数量关系。

2d74d3bff9bb058efcb9bf52cc88f27b.jpg
老师:观察线段图,你能想到解决的方法吗?
学生1:我可以先求出婴儿每分钟比青少年多跳的次数,然后加上青少年心跳的次数即为所求。
学生2:我可以先求出婴儿每分钟心跳的次数是青少年的几分之几,然后乘青少年心跳的次数即为所求。
老师:根据两位同学的描述,板书解答过程。

b3904c9197720b72fe07ccd4cf640042.png =135(次)
答:婴儿每分钟心跳135次。
4.小组合作,总结已知一个数量比另一个数量多几分之几,求这个数量是多少的解题方法。
汇报:(1)单位“1”的量+单位“1”的量×另一个数量比单位“1”多的几分之几=另一个数量。
(2)单位“1”的量×(1+另一个数量比单位“1”多的几分之几)=另一个数量。
5.练习。
(1)完成教材第15页的“做一做”。
(2)完成教材第16页练习三的第4~7题。

b079dd70cd13d3863bc45c3ba2606340.jpg
  • 根据题意,把相对应的数量用线连起来。

8dad2b9bf1651eda84ac4632d36432ab.png
2.分析数量关系。

b3348757baf1c87a0a505a0d54bfdad5.png
练习三

05b2a4909de4c9eb3c26d3f154fa394b.png

757c908263158c3222a8377149169dc6.jpg
“求比一个数多几分之几的数是多少”的实际问题

c736c5e98d884c0d568924e3d7ca37d7.jpg
已知一个数量比另一个数量多几分之几,求这个数量的解题方法:
(1)单位“1”的量+单位“1”的量×另一个数量比单位“1”多的几分之几=另一个数量。
(2)单位“1”的量×(1+另一个数量比单位“1”多的几分之几)=另一个数量。
解决这类问题时要注意当多个单位“1”出现时,一定要找准所给分率以哪个量为单位“1”,做到正确对应。

a396d76a92fa65ffa48e9f5603f64fd5.jpg
1.有部分学生不知道把哪一个数量看作单位“1”。
2.利用线段图可以引导学生直观地分析和理解数量关系,应该多采用。

036260df42461c0ecb5e745e5a153936.jpg

6fc0306f212cbd254350687df0bfe6bf.jpg
本节课仍然学习解决较复杂的求一个数的几分之几的问题。例9与例8不同在于它不是整体与部分之间的比较,而是两个数量的比较关系,即已知一个数量比另一个数量多(少)几分之几,求这个数量。解答方法和思路与例8相同,但因为是两个数量间的比较,要区分出把哪一个数量看作单位“1”,理解上相对难一些。

7ec5088561c30d16e1ff7f06b56737e5.jpg

135242874ba23820c07c0048d34b0a37.png
=800+300
=1100(台)
答:今年生产拖拉机1100台。

0752a3b479de0b544304c230b06566eb.jpg

43993e4217627ea85f58063ccb57d7ee.jpg

2f2db504cf804974c452557feaa1e944.jpg
复习分数乘法的意义和计算方法
教材第17页的内容及练习四的第1~3题。

104ac7490a3d87e5380001f4ceaffa52.jpg
1.复习分数乘法的意义和计算法则,掌握乘法运算定律在分数乘法中的推广和分数乘法的简便计算。
2.进一步提高学生计算分数乘法的熟练程度和灵活计算的能力。
3.进一步培养学生认真书写及良好的审题习惯。

f0c662282980d8f268f429b6c4af206e.jpg
巩固分数乘法的意义,提高灵活计算的能力。

fcb3f28b81931f8922c1d951a8002c61.jpg
口算卡,投影片。

035820233f11dfa76328ca3df8e6b6b4.jpg

df3e8a7962d652dff4a4810ac8548435.jpg
1.口算。(老师出示口算卡,指名学生回答)

85c86be8d8fbacf9c89eeadfb2753489.png
提问:以上几道题有的是整数乘分数,有的是分数乘分数,都可以看成是一个数乘分数,一个数乘分数的意义是什么?
学生分别说出以上几道题的意义。

3d1965ad5de149b1598fe030da108ea1.jpg
让学生看教材第17页的第3题,指名读题目要求。
提问:为了计算简便,在分数乘法中应该先做什么?(指名回答)(先约分,再做乘法)
提问:这道题中,有一个因数是整数,约分的时候要注意什么?(整数与分数的分母约分)
请全班同学在练习本上完成各题。

1f067a9a7a1ad2572e6283609523e045.jpg
提问:我们学过哪些乘法运算定律?它们在分数乘法中适用吗?
全班同学完成教材第17页的第2题,老师检查巡视。
课上练习,完成教材第18页练习四的第1~3题。
先让学生独立审题,在练习本上解答,然后请几名学生说一说自己是怎样做的,着重说一说在进行简便运算时运用了什么定律。

78995c7676b7557731942298dd35937d.jpg
直接写出得数。

ae40e8568e51af0bf011de3b2515346e.png
教材习题
整理和复习

1b89349c8cc0de9c998d3bd5878afdec.png

ccba47254166758191ab696837a89104.jpg

2f2db504cf804974c452557feaa1e944.jpg
复习分数乘法的应用题
教材第18页的第4、第5题。

104ac7490a3d87e5380001f4ceaffa52.jpg
1.通过复习分数乘法的应用题,进一步加深对“求一个数的几分之几是多少”的分数意义的理解。
2.提高学生分析、解答分数应用题的能力。

f0c662282980d8f268f429b6c4af206e.jpg
正确分析数量关系,熟练掌握求一个数的倒数的方法。

fcb3f28b81931f8922c1d951a8002c61.jpg
练习题投影片。

035820233f11dfa76328ca3df8e6b6b4.jpg

3125ba2f6101f151b24dc59360fcb3c8.jpg
1.完成教材第18页练习四的第4题。
学生独立审题,分析数量关系,在练习本上解答。老师巡视,进行个别指导。
请一名学生在黑板上板演数量关系式,并讲一讲是怎样分析的,在计算中把什么数量看作单位“1”。
老师结合学生的讲解,进一步强调在解答分数乘法应用题时,一定要找准单位“1”。因为分数乘法应用题是根据分数乘法的意义计算的,求哪个数量的几分之几,就要把那个数量看作单位“1”。在解答两步计算的分数应用题时,更要注意每一步是把什么数量看作单位“1”,在两步计算中的单位“1”可能是不同的。
2.完成教材第18页练习四的第5题。
先让学生自己在练习本上解答,然后请几名学生说一说自己是怎样分析解答的,集体订正。

4571219a36dd7126f3db73f324fdc11c.jpg
1.投影出示。
(1)                                                                               (2)
fb6acf63ba9eba5747bf0cbd64194c9f.jpg                                                    
fe4a633fcde7a8e39394e73626281353.jpg
 指名学生口述已知条件和问题。
学生思考,口答列式。
提问:这两道题有什么相同之处?(单位“1”的量已知,都是整体与部分之间的关系)
2.出示练习。
(1)
d87c0e6b2584a8e7f3e1eec49d6bf7fd.jpg   (2)
28dfb50abdd4c340585aaf2db8a19252.jpg
提问:这两道题有什么相同之处?(单位“1”的量已知,都是两个数量的比较关系)
学生口述条件和问题,并列式解答。

b079dd70cd13d3863bc45c3ba2606340.jpg
1.填空。

65e414718784ded1565835d049fa6b7c.png
2. (1)C (2)A
思维训练
4
教材习题
练习四

365532a48063edbc0ab89168ea61f271.png                                                                                  
4977b236d7fc8f9e94f532402cfe212f.jpg
您需要登录后才可以回帖 登录 | 立即注册

本版积分规则

Archiver|手机版|小黑屋|5432教案网 ( 蜀ICP备2022024372号-1 |川公网安备51152402000101号 )|网站地图

GMT+8, 2026-5-4 05:22 , Processed in 0.768489 second(s), 32 queries .

Powered by Discuz! X3.5

© 2001-2026 Discuz! Team.

快速回复 返回顶部 返回列表