找回密码
 立即注册
搜索
查看: 105|回复: 0

[人教版] 01(五上)第三单元 小数除法

[复制链接]

4万

主题

224

回帖

19万

积分

管理员

积分
194028
发表于 2026-2-22 08:46:39 | 显示全部楼层 |阅读模式

b9329eb0d1f045da6ad90847d1df8168.jpg

fdbb64b2c046ba3b18a503a74672ea97.jpg

ca4fb9abb6d100b5a3f9d98a9e91bcba.png

068bff6ae5cf75aac390cb756b4d8646.jpg
1.使学生掌握小数除法的计算方法。
2.使学生会用“四舍五入”法,结合实际情况用“进一”法和“去尾”法取商的近似数。初步认识循环小数、有限小数和无限小数。
3.使学生能借助计算器探索计算规律,能应用探索出的规律进行小数乘除法的计算。
4.使学生体会解决有关小数除法的简单实际问题,体会小数除法的应用价值。

e7d493dec4543aa8b51e92283b457904.jpg
1.抓住新旧知识的连接点,为小数除法的学习架设认知桥梁。
本单元内容与旧知识联系十分密切。小数除法的计算法则是以整数除法商不变的规律,以及小数点位置移动规律等知识为基础来说明的。小数除法的试商方法、除的步骤和整数除法基本相同,不同的只是小数点的处理问题。
2.联系数的含义进行算理指导,帮助学生掌握小数除法的计算方法。
小数除法的重点是小数点的处理问题,而商的小数点为什么要和被除数的小数点对齐,这涉及数的含义。计算22.4除以4时,用4除22,商5以后,余数是2,化为20个十分之一,与十分位上的4合起来是24个十分之一。4除24个十分之一,商是6个十分之一,所以6应该写在商的十分位上。在说明小数除法的计算方法时要联系数的含义帮助学生理解算理。

cab65d9d64349d95ac900a702111e495.jpg
1除数是整数的小数除法..................................................3课时
2一个数除以小数........................................................2课时
3商的近似数............................................................1课时
4循环小数..............................................................2课时
5用计算器探索规律......................................................1课时
6解决问题..............................................................1课时
        整理和复习............................................................1课时

78ecce19842f9ef0bfe681648237c4f6.jpg

9b2649a68f7edc8b9171a61afdb9af25.jpg

2f2db504cf804974c452557feaa1e944.jpg
除数是整数的小数除法()(教材第24)

104ac7490a3d87e5380001f4ceaffa52.jpg
1.初步理解除数是整数的小数除法的计算方法,会计算小数除以整数。
2.培养学生的分析能力和类推能力。
3.体验所学知识与现实生活的联系,能应用所学知识解决生活中的简单问题,从中获得价值体验。

f0c662282980d8f268f429b6c4af206e.jpg
重点:理解并掌握小数除以整数的计算方法。
难点:理解商的小数点要与被除数的小数点对齐的道理。

fcb3f28b81931f8922c1d951a8002c61.jpg
例题主题图及投影片。

035820233f11dfa76328ca3df8e6b6b4.jpg

932c62399970e07904ea3dc2445a1786.jpg
1.回忆整数除法的意义。
2.计算。
        268÷4224÷4256÷6345÷15
(1)分组指定一题,独立完成。
(2)投影展示学生的计算过程并集体订正。
(3)重点说一说224÷4这道题是怎样算的。
教师随学生的回答板书:
c854cd6948dd0801a6b9c3800b2b06af.jpg
师:这节课我们就用同学们掌握的这些知识来学习新知识。
   
ddbf751aa9764077ac3b12dd5d369055.jpg
讲解教材第24页例1。
创设故事情境,引出王鹏晨练的故事。
(1)谈话:了解学生晨练的益处。
(2)投影出示主题图。
引导学生观察图并说图意。
师提问:王鹏坚持晨练,按计划他平均每周应跑多少千米?
(3)引导学生列出算式:22.4÷4
(4)观察算式并回答。
师:这里的除法和前面学的除法相比,有什么不同呢?
通过观察,学生发现原来学的是整数除法,现在是用小数除以整数。
思考:被除数是小数的除法怎样算?请大家先独立思考,再把自己的意见在小组内交流。
学生独立思考和小组讨论时,教师巡视并给予必要的指导。
(5)先思考,再尝试解答。
提问:在不改变商的大小的前提下怎样把小数变成整数呢?
学生独立思考,并大胆阐述自己的想法。教师在聆听学生想法的同时,及时概括出学生的方法,说明方法的弊和利。
方法一:把被除数和除数同时扩大到原来的10倍,再计算。但在算224÷40时会遇到不能整除的问题,所以学生仍然不会做。
方法二:把22.4千米化成22400米,再计算。教师板书学生的思考过程:
22.4千米=22400米22400÷4=5600(米)5600米=5.6千米
提问:在用方法二计算时有什么感觉?(比较麻烦)
师:下面我们一起探讨一种简便算法,就是直接用小数除以整数。
(6)理解小数除以整数的计算方法。
指导学生列出竖式  后,教师用纸盖住被除数小数点后面的4,问学生:  这样的计算会吗?
学生算出来后,提问:这个余下的2表示什么呢?(表示2个一)

d51558fd9fc8d95006d3de3a95aea5e6.jpg
这时把盖住的纸揭去,并且把小数点后面的4写在2的后面,问学生:这个24又表示什么呢?

f7bdbf3428b2dd3a42c29330b63bfb22.jpg
学生讨论后回答:表示24个十分之一。
师:用24个十分之一除以4,每份应该是多少呢?(每份是6个十分之一)怎样在商上面表示6个十分之一呢?(在6的前面点上小数点)
教师随学生的回答板书:

79a0506ccbf322194622027205cd1f7b.jpg
提问:用这种方法计算的结果和把22.4千米化成米计算的结果相同吗?(相同)说明了什么?(说明这道题的结果是正确的)观察这个竖式中被除数和商的小数点,你发现了什么?(商的小数点和被除数的小数点是对齐的)
(7)观察比较。
22.4÷4与前面准备题中224÷4比较,有哪些地方相同?哪些地方不同?

1d2e071c3d2ece103a4a6cb0283cf67f.jpg
学生观察后,小组内探讨交流。集体反馈。
计算的方法基本相同,不同的是在计算22.4÷4时,商的小数点要和被除数的小数点对齐。

b079dd70cd13d3863bc45c3ba2606340.jpg
1.算一算。
      57÷35.7÷3
2.计算下面各题。
          (1)6.25÷5(2)26.4÷4(3)14.7÷7(4)43.5÷15
3.张新买了7本《冒险小虎队》,共计46.9元。每本售价多少元?
4.一根绳子全长21.6米,把它剪成12根跳绳。平均每根跳绳长多少米?

8f9a34d70c6774502b2d4825b73e6569.jpg
课堂作业新设计
1. 191.92. (1)1.25(2)6.6(3)2.1(4)2.9
3. 46.9÷7=6.7(元)4. 21.6÷12=1.8(米)
教材习题
第24页做一做:2.44.22.3竖式略

a396d76a92fa65ffa48e9f5603f64fd5.jpg
1.创设情境,使数学知识生活化。上课时能够精心创设教学情境,结合学生的生活实际,巧妙地将学生置身于“问题情境”解决中去,使学生产生好奇心,从而激发了学生的学习兴趣,使学生积极主动地参与知识的发现,经历知识形成、发生、发展的过程。
2.鼓励学生自主探索与合作,引导学生主动地从事观察、尝试、合作交流等教学活动,从而使学生形成自己对数学知识的理解和有效的学习策略。

036260df42461c0ecb5e745e5a153936.jpg

6fc0306f212cbd254350687df0bfe6bf.jpg
在例1的计算过程中,教材呈现了两种思考方法,其中第一种方法是采用转化的思路,借助“千米”和“米”的联系,把小数除法转化成整数除法来做。第二种则直接从小数的意义去理解小数除以整数的算理。启发学生用已有的经验来参与新的学习活动,让学生从中感受到除数是整数的除法的意义与整数除法的意义有相同之处,达到初步体会小数除法意义的目的。

7ec5088561c30d16e1ff7f06b56737e5.jpg
例列竖式计算79.154÷38。
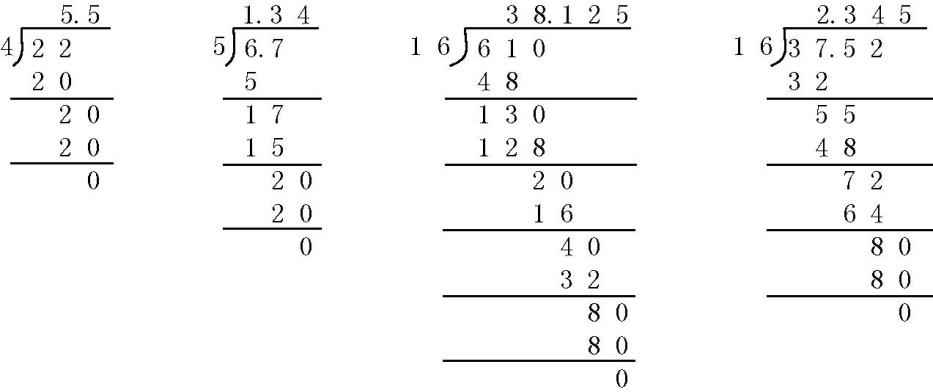
分析:这是小数除以整数的除法,也称为“除数是整数的小数除法”。依据小数除法的计算法则进行解答。先用被除数的整数部分除以38,商2,余数是3。余数3是3个一,把3个一可以化成30个十分之一,加上1个十分之一,得31个十分之一;把31个十分之一平均分成38份,每份不够1个十分之一,即不够商1,于是商0。把31个十分之一化成310个百分之一,加上百分位上的5个百分之一,共315个百分之一;把315个百分之一平均分成38份,每份可分得8个百分之一,即可商8,余11。余下的11个百分之一,可化成110个千分之一,加上千分位上的4个千分之一,共114个千分之一;把114个千分之一平均分成38份,每份是3个千分之一,故应商3,余数是0。这样,计算就完成了,最后的结果是2.083。

5ea0ff1895bac4aef266bffbe1082530.png

b0574442dc3dbfd75ea5ea332f9add2e.jpg

2f2db504cf804974c452557feaa1e944.jpg
除数是整数的小数除法()(教材第25)

104ac7490a3d87e5380001f4ceaffa52.jpg
1.进一步理解除数是整数的小数除法的意义。
2.使学生知道被除数比除数小时,不够商1,要先在商的个位上写0占位。
3.理解被除数个位有余数时,可以在余数后面添0继续除。
4.正确计算除数是整数的小数除法。

f0c662282980d8f268f429b6c4af206e.jpg
重点:能正确计算除数是整数的小数除法。
难点:正确掌握小数除以整数中比较特殊的两种情况。

fcb3f28b81931f8922c1d951a8002c61.jpg
口算题卡。

035820233f11dfa76328ca3df8e6b6b4.jpg

932c62399970e07904ea3dc2445a1786.jpg
1.口算。
      5.5÷57.6÷49.6÷814×0.50.12×312.5÷5
2.笔算。
      9.8÷716.8÷12
指名板演,集体订正,说一说是怎样计算的。

ddbf751aa9764077ac3b12dd5d369055.jpg
1.学习教材第25页例2。
(1)板书教材第25页例2。
(2)读题,理解题意。
(3)分析数量关系,列出算式。
教师板书:28÷16
(4)尝试计算。
(5)发现问题。
被除数比除数小,整数部分不够商1时,在商的个位写0,然后点上小数点,再在被除数的末尾添0继续除。
(6)展开讨论。
请同学说明自己的想法。
(7)解决问题。
讨论后,引导学生明确:被除数小于除数,就在被除数后面添0再继续除。
学生在练习本上完成计算过程。
(8)完整复述计算过程。
教师请同学完整复述这道题的计算过程。
教师板书:

eaab99a369f90d69866930bd51edd948.jpg
(9)讨论,思考。
教师出示思考题:小数除以整数的计算步骤是怎样的?计算除数是整数的小数除法时要注意什么?
分组讨论。
集体交流反馈,相互补充。
教师根据学生回答进行板书。
小数除法要按照整数除法的法则去除,商的小数点要和被除数的小数点对齐。
被除数比除数小,整数部分不够商1时,要先在商的个位上写0,点上小数点后再除。
如果除到被除数的末尾仍有余数,就在余数后面添0再继续除。
2.学习教材第25页例3。
(1)教师板书教材第25页例3。
(2)学生读题,理解题意。
(3)指名分析数量关系,列出算式。
教师板书:5.6÷7
(4)让学生观察被除数与除数有什么特点。(被除数的整数部分比除数小)
(5)想一想:被除数的整数部分比除数小,商会出现什么情况?(不够商1,商是纯小数)
不够商1,我们在竖式中应该怎样写商?回忆一下,在整数除法中,不够商1时是怎样处理的?(就在那一位上写0来占位)
(6)学习算法。
现在5.6的整数部分比除数小,不够商1,怎么办?注意什么问题?(在商的个位上写0,注意点上小数点)
把被除数的整数部分个位上的数与十分位上的数合起来,看作56个十分之一,够不够除?怎样写商?(够除,对齐商的十分位写8)
教师板书:

f3968ba9bd325fa083aca253816e4679.jpg
(7)同桌互相叙述计算过程。
(8)小结。
在什么情况下,小数除法中商的最高位是0?(被除数比除数小,整数部分不够商1时,要先在商的个位上写0占位,点上小数点后再除)
引导学生明确:除到哪一位不够商1,就要在商的那一位上写0占位。

b079dd70cd13d3863bc45c3ba2606340.jpg
1.用竖式计算下面各题。
          (1)6.23÷7(2)0.48÷6(3)7.56÷8
          (4)3.6÷24           (5)36÷15              (6)18.24÷6
2.下面各题的商哪些是小于1的?在括号里面画“√”。
          (1)4.03÷5        ()
          (2)36.4÷27        ()
         (3)0.84÷26        ()

8f9a34d70c6774502b2d4825b73e6569.jpg
课堂作业新设计
1.(1)0.89(2)0.08(3)0.945(4)0.15(5)2.4(6)3.04竖式略
2. (1)√(3)√
教材习题
第25页做一做:(1)4.82.034.25(2)0.870.090.45(3)5.3750.0450.013

a396d76a92fa65ffa48e9f5603f64fd5.jpg
1.在尝试计算中讨论遇到的新问题,通过学生的相互启发、相互影响,获得解决问题的方法。
2.适时点拨,这样每个学生都经历了知识的形成过程,即“整数部分不够除,商0,点上小数点再除”和“除到被除数的小数末尾还不能除尽,要添0再除”。这样,小数除以整数的一般、特殊情况都讲到了。
3.练习相对较少,应多加一些练习,以巩固小数除以整数的计算方法。

036260df42461c0ecb5e745e5a153936.jpg

6fc0306f212cbd254350687df0bfe6bf.jpg
本课难度较大,特别是例3,应引导学生思考其计算依据。到“为什么以往除法有余数时都是写商几余几,可今天却要在小数点后面添0继续除呢”?这反映出新知与学生原有知识产生了认知冲突,在此应帮助学生了解知识的学习是分阶段的,逐步深入的。以往无法解决的问题在经过若干年后就可以通过新的方法、手段和途径来解决,从而引导其构建正确的知识体系。学生归纳综合能力的培养在高年级阶段显得尤为重要。虽然教材中并没有规范的计算法则,但作为教师有必要让学生经历将计算方法归纳概括并通过语言表述出来的过程。

7ec5088561c30d16e1ff7f06b56737e5.jpg
例列竖式计算6.032÷104。
分析:这是小数除以整数,商为小数的计算题。计算时,先用被除数的整数部分除以104,因不够商1,就用0占位,在商的个位上写0。然后在商的个位0的右下角点上小数点(即商的小数点和被除数的小数点对齐位置),再把6个一化成60个十分之一,被除数十分位上没有数,就用60个十分之一除以104。这时,商的十分位上还是不够商1,也用0占位,在商的十分位上写0。又把60个十分之一化成600个百分之一,被除数百分位上有3个百分之一,合起来是603个百分之一;603个百分之一除以104,可以商5,余83个百分之一,在商的百分位上写5。然后将余下的83个百分之一化成830个千分之一,加上被除数千分位上的2个千分之一,共是832个千分之一,用832个千分之一除以104,得商为8,没有余数。所以,此题的商就是0.058。
解:

6628e027eb40f00615f44b0ee68cc3e6.jpg

f0e5847f00086af7a043d2faac44db04.jpg

2f2db504cf804974c452557feaa1e944.jpg
小数除以整数的练习。(教材第26~27)

104ac7490a3d87e5380001f4ceaffa52.jpg
1.使学生能比较熟练地计算除数是整数的小数除法。
2.进一步培养学生的概括能力。
3.培养学生的应用能力和验算习惯。

f0c662282980d8f268f429b6c4af206e.jpg
重点:熟练地计算除数是整数的小数除法。
难点:能正确计算除数是整数的小数除法。

fcb3f28b81931f8922c1d951a8002c61.jpg
口算题卡,投影仪,练习题投影片。

035820233f11dfa76328ca3df8e6b6b4.jpg

320fd67754fb93f363565dd692e0ca4d.jpg
1.填空。
          (1)除数是整数的小数除法,按照()除法的法则去除。
          (2)商的小数点要和()的小数点对齐。
          (3)如果除到被除数的末尾仍有余数,就在余数(),再继续除。
          (4)

63e36065b6f40157f35db1576f9d91e8.jpg
2.把竖式补充完整。

e491eb5c60de0d2723737b0d583c8db4.jpg
   
667f7acfce901edfeedcfa2bd05ab93f.jpg
1.下面各题的商哪些是大于1的?在后面画“√”。
           (1)3.25÷25(2)128.7÷66(3)53.2÷4(4)2.56÷25
2.口算。
      1.3×50.75÷52.8÷14
      2.7×3                    6.4÷8                     7.2÷9
          (做题前,老师先提醒学生,这是除数是整数的小数除法和小数乘法口算题。做题时,要考虑得数中小数点的位置)
3.妈妈买了5千克马铃薯,给了售货员15元,找回2.5元。每千克马铃薯多少元?
(指导学生读题审题,分析数量关系,然后列式计算)

8f9a34d70c6774502b2d4825b73e6569.jpg
基本练习
1.(1)整数(2)被除数(3)后面添0(4)90十
    2.

ff6b866e4798a6b6921924eae3dcbd56.jpg
巩固练习
1. (2)√(3)√2. 6.50.150.28.10.80.83. 2.5元
教材习题
练习六
1. 14216.51.42.10.65
2. 分析:求单价,用总价除以数量。26.8÷4=6.7(元)
3. 8.4÷12=0.7(元)
4. 1.651.50.70.096.252.60.850.07
5. 7.74÷3=2.58(米)
6. 不对24÷15=1.6不对1.26÷18=0.07
7. 1.320.50.050.034验算略
8. 319.46÷5=63.892(万只)
9. (√)()()(√)
10. (1)分析:首先求出卖废品的总钱数,再根据“总价÷数量=单价”解决问题。
        24.2+16.4=40.6(元)40.6÷7=5.8(元)40.6÷14=2.9(元)
             (2)略
11. 分析:求速度就用路程除以时间。
        上山:7.2÷3=2.4(千米/时)下山:7.2÷2=3.6(千米/时)
        可以根据速度、时间和路程三者之间的关系提出问题,答案不唯一。
12. 0.30.30.3

9dad14fd0c941dfa238a366d34f25910.jpg

9b2649a68f7edc8b9171a61afdb9af25.jpg

2f2db504cf804974c452557feaa1e944.jpg
一个数除以小数。(教材第28)

104ac7490a3d87e5380001f4ceaffa52.jpg
1.使学生理解并掌握除数是小数的除法计算法则,能正确地进行计算。
2.初步掌握将除数是小数的除法转化为除数是整数的除法的推导过程,培养学生转化的数学思想。

f0c662282980d8f268f429b6c4af206e.jpg
重点:除数是小数的除法的计算法则。
难点:理解除数是小数的除法算理及应用。

fcb3f28b81931f8922c1d951a8002c61.jpg
投影片。

035820233f11dfa76328ca3df8e6b6b4.jpg

932c62399970e07904ea3dc2445a1786.jpg
1.口算。(投影片)
根据12÷6=2,算出下面各算式的结果,并说出你是根据什么算出来的。

93388d8c0638b5138b80fbf21836a305.png
2.计算下面各题,并说出计算法则。
(1)7.65÷85(2)7.65÷0.85
学生在课堂上独立完成。
学生能很快做完第一题,并说出计算法则:除数是整数的小数除法,按照整数除法的法则去除,商的小数点要和被除数的小数点对齐;如果除到被除数的末尾仍有余数,就在余数后面添0再继续除。
提问:你们为什么很快做出了第一题,还说出了它的计算法则。为什么做不出第二题呢?两道题有什么不同呢?(第一题的除数是整数,第二题的除数是小数。如果第二题的除数是整数就好计算了)
如果除数是整数就好办了,那我们有什么办法把0.85变成85,而又使商不变呢?
学生独立思考并交流想法,尝试用旧知识解决新问题。

ddbf751aa9764077ac3b12dd5d369055.jpg
1.出示教材第28页例4,探讨计算法则。
(1)尝试独立完成7.65÷0.85。
(2)指名板书,展示学生做法。
方法一:
      
388f16af8f70a8ff4400831b9727a082.jpg 方法二:0.85米=85厘米           7.65米=765厘米           765÷85=9
d769c21888a1e1e050d1390b4c9d7414.jpg
方法三:        
11c9fbcc0461ac87a14c80ff43d0e6f4.jpg
(3)观察、讨论、分析。
这几种方法哪个正确?(方法二和方法三是正确的)
比较两种做法:是怎样把除数由小数转化成整数的?哪种做法简便,为什么?
方法二是把米都换算成厘米,这种做法是对的,但每次都要这样改写,比较麻烦。
方法三是在竖式上直接把被除数和除数的小数点都向右移动两位,然后按照除数是整数的除法进行计算。
(4)指导。
教师指导学生用第三种方法,写出计算过程,注意学生是否画去小数点,帮助学生理解算法。
(5)小结做题步骤。
先做什么?再做什么?怎样计算?
   
b079dd70cd13d3863bc45c3ba2606340.jpg
1.把下面的式子变成除数是整数的除法算式。
          (1)3.36÷1.2=()÷12(2)1.19÷0.17=()÷()
          (3)0.44÷0.275=()÷275             (4)15÷0.75=()÷()
          (5)28÷1.4=()÷()
2.在下面的里填上“>”“<”或“=”。
      0.9÷0.50.510.35÷230.450.38÷190.2326.4÷0.32326.4
3.在()里填适当的数。
      0.75时=()分1.6时=()时()分
          ()时=30分        ()时=4时15分
4.计算下面各题并验算。
          (1)3.24÷0.36(2)4.38÷0.73(3)35.88÷2.76
          (4)48.07÷4.37              (5)293.4÷32.6              (6)74.1÷13

8f9a34d70c6774502b2d4825b73e6569.jpg
课堂作业新设计
1. (1)33.6(2)11917(3)440(4)150075(5)28014
2. > = < >
3. 451时36分0.54.25
4. (1)9(2)6(3)13(4)11(5)9(6)5.7验算略
教材习题
第28页做一做:除数和被除数需要同时扩大到原来的10倍,小数点都向右移动一位。24
除数和被除数需要同时扩大到原来的100倍,小数点都向右移动两位。7
被除数和除数同时扩大到原来的100倍,小数点都向右移动两位。3.4

757c908263158c3222a8377149169dc6.jpg
一个数除以小数
一个数除以小数,先去掉除数的小数点,看除数有几位小数,被除数的小数点也向
右移动几位,然后按照除数是整数的计算法则计算。除数大于1时,商小于被除数;
除数小于1时,商大于被除数。

a396d76a92fa65ffa48e9f5603f64fd5.jpg
1.由情境引入一个数除以小数,激发了学生学习的兴趣。
2.注重知识的迁移,学生很轻松就接受了新知识。
3.对比练习,突出特点,巩固了学生对新知识的掌握。

036260df42461c0ecb5e745e5a153936.jpg

6fc0306f212cbd254350687df0bfe6bf.jpg
教材在探讨计算方法的过程中,尽可能突出上一节知识和本节知识的紧密联系,突出转化的思路;用虚线框的方式直观地呈现出把除数是小数的除法转化成除数是整数的除法的过程,并强调要扩大多少倍是由除数决定的而不是由被除数决定的,强化这方面的意识,学生掌握了除数是整数的除法和商不变的规律,这些对于本节课的学习是非常重要的。

b0574442dc3dbfd75ea5ea332f9add2e.jpg

2f2db504cf804974c452557feaa1e944.jpg
被除数的小数位数比除数少的除法。(教材第29~31)

104ac7490a3d87e5380001f4ceaffa52.jpg
1.使学生掌握小数除法的计算方法,能正确地计算。
2.培养学生利用旧知识解决新问题的能力。
3.培养学生转化矛盾、解决问题的能力。

f0c662282980d8f268f429b6c4af206e.jpg
重点:掌握小数除法的计算步骤。
难点:被除数的小数点向右移动时,如果位数不够,在被除数末尾用0补足。

fcb3f28b81931f8922c1d951a8002c61.jpg
投影片。

035820233f11dfa76328ca3df8e6b6b4.jpg

932c62399970e07904ea3dc2445a1786.jpg
1.填写下表。
被除数
12
120

4
40
400

3
请同学填写并观察上表。
提问:第二组与第一组比较,被除数和除数有什么变化?商怎么样?(被除数和除数同时扩大到原来的10倍,商不变)
第三组与第二组比较,除数有什么变化?(除数扩大到原来的10倍)商呢?(商不变)那么被除数呢?(被除数也应扩大到原来的10倍)
第三组与第一组比较,被除数、除数、商有什么变化?
2.试做。
教师板书:1.26÷0.2812.6÷0.28
学生尝试在练习本上完成,同桌可互相启发。
师:上节课我们共同学习了除数是小数的除法,对于1.26÷0.28这道题同学们经过思考,能够正确解答出来:先把被除数和除数的小数点同时向右移动两位,把被除数和除数中的小数点画去,然后按除数是整数的除法进行计算。在计算中,除到被除数的末尾仍有余数,我们在它后面添0继续除。同学们能把新旧知识结合起来,通过自己的努力创造性地解决问题。你们真棒!

c44d835016566a3509db2bb1e45509b6.jpg
那么12.6÷0.28也是一道除数是小数的计算题,计算过程中,你们遇到了什么问题,又该怎样解答呢?
   
ddbf751aa9764077ac3b12dd5d369055.jpg
1.教学教材第29页例5。
(1)指名说出学习中遇到的问题。
(2)同学间相互解疑,阐述自己的解答方法。
(3)按同学提供的思路,再次尝试计算。
(投影出示思考题)
这道题中被除数和除数各有几位小数?
怎样才能把除数变成整数?
被除数只有一位小数,小数点要移到哪里?
(4)学生做完后集体交流。
教师先请同学回答上面的思考题,再板书计算过程。
通过学生的回答,引导学生明白:被除数中只有一位小数,除数中有两位小数,要想把除数变为整数,就要把被除数和除数中的小数点都向右移动两位,也就是使其同时扩大到原来的100倍。如果原来的小数位数不够时,要在末尾用0补足。所以除数的小数点向右移动了几位,被除数的小数点也要相应地向右移动几位,位数不够时,少几位就补几个0。
请学生在黑板上把例题做完。

b6a6d669ae688938c8eddba0587b727b.jpg
教师指名学生叙述计算过程。
2.分析错例。
教师投影出示学生做题时出现的错例。

01d8b833d6ab9c0be19a3e0dcd0c9f26.jpg
(1)观察错例,寻找错误。
(2)思考。
这样做对不对?
错在哪儿?原因是什么?
怎样改正?
在计算除数是小数的除法时应该注意什么?
3.明确强调。
(1)位数不够用0补足。
(2)商的小数点应和被除数的小数点对齐。
4.概括法则。
(1)想一想:除数是小数的除法是怎样计算的?
先让学生自己思考,然后师生相互补充,最后总结成文字。
(2)提问:除数是小数的除法,计算时先做什么?(移动除数的小数点,使它变成整数)怎样移动除数和被除数的小数点?(除数的小数点向右移动几位,被除数的小数点也向右移动几位,位数不够的,在被除数的末尾用0补足)然后怎样计算?(按照除数是整数的除法进行计算)
师:把刚才我们总结的计算过程连起来,就是除数是小数的小数除法的计算法则。
教师投影出示法则。
除数是小数时,先移动除数的小数点,使它变成整数,除数的小数点向右移动几位,被除数的小数点也向右移动几位,位数不够的,在被除数的末尾用0补足。然后,按照除数是整数的除法进行计算。

b079dd70cd13d3863bc45c3ba2606340.jpg
1.不改变下面各题商的大小,把除数是小数的改成整数。
      
dae083dbe93f5520a1bde6139e309200.jpg 改为:
2e5affff707eec6558a595a97f25e74f.jpg 改为:
2e5affff707eec6558a595a97f25e74f.jpg
       改为:
2e5affff707eec6558a595a97f25e74f.jpg
2.根据5406÷53=102,直接写出下面各题的商。
          (1)540.6÷5.3=  (2)54.06÷0.53=  (3)5.406÷0.053=  (4)54060÷530=
3.判断下列各式得数是否相等,说明为什么。
          (1)5.04÷0.6与50.4÷6(2)0.84÷0.28与84÷28
          (3)319.4÷0.05与3194÷5               (4)0.224÷0.04与224÷4
4.下面的计算对吗?如果不对,错在哪儿?

885df09677098f1c91a83e838c118851.jpg
5.笔算下面各题。
          (1)2.688÷1.12(2)50÷0.05(3)1.089÷72.6
          (4)514.5÷147               (5)21÷0.07             (6)43÷25

8f9a34d70c6774502b2d4825b73e6569.jpg
课堂作业新设计
1.
5354be0688c3ce5ecdd412b67b4d41a0.jpg 2. (1)102(2)102(3)102(4)102
3. (1)相等(2)相等(3)不相等(4)不相等理由略
4.

7f8e688e2fe5e7d0d297ac3db9a2e653.jpg
5. (1)2.4(2)1000(3)0.015(4)3.5(5)300(6)1.72
教材习题
第29页做一做:1. 7.31.80.241519080010.5200竖式略
2.第一题不对,除数和被除数的小数点都向右移动一位,所以商是0.8。
       第二题不对,除到被除数的个位还有余数,在商的个位后面点上小数点后,在余数的后面补0继续除,商应该是4.5。
       第三题对。
练习七
1. 46.8238345201610046
2. 263.82.40.36155.2207250竖式略
3. 134.9÷9.5=14.2
4. 7.57.57.50.4545450
5. 分析:根据两个苹果的质量提出问题。(答案不唯一)如苹果冠军是这个苹果质量的几倍?
       1.67÷0.25=6.68
6.分析:根据长方形的面积计算公式,知道面积和宽,就可以求它的长。
       68.4÷7.2=9.5(米)
7. 130212.7321
8. 分析:根据数量=总价÷单价,用除法计算。
       455÷6.5=70(平方米)
9. 461211.21.54549.5110发现略
10. 分析:明白题中的隐含条件:上半年有6个月,第二季度有3个月。求平均数用除法,用总钱除以月数就是要求的答案。
        34.5÷6=5.75(元)21÷3=7(元)7>5.75李奶奶家平均每月节约的水费多。
11. 分析:根据题中提供的具有相互联系的相关数据问题,如已知买门票的总价和单价,可以求数量。
王老师买门票多少张?58.5÷4.5=13(张)(答案不唯一)

757c908263158c3222a8377149169dc6.jpg
被除数的小数位数比除数少的除法
1.26÷0.2812.6÷0.28
被除数的小数位数比除数的小数位数少时,划掉除数中的小数点,使除数变成整
数,要注意除数的小数点向右移动了几位,被除数中的小数点也要相应地向右移动几
位,位数不够的,在被除数的末尾用0补足。

a396d76a92fa65ffa48e9f5603f64fd5.jpg
1.在引导学生感受算理与算法的过程中,放手让学生尝试,让学生主动、积极地参与新知识的形成过程,适时调动了学生大胆地说出自己方法的积极性,使学生用自己的思维方式感受算理与算法,既明于心又说于口。
2.由于除数是小数的除法转化成整数后,被除数可能出现多种情况,在教学时又针对这些情况作了专项训练,学生反应良好。

036260df42461c0ecb5e745e5a153936.jpg

4b39a7e4da7bc6b22e01060aef6d855f.jpg
新授课围绕转化过程,精心安排设计提问,引导学生通过比较异同发现联系,促进迁移,实现转化,使学生在理解算理的基础上,概括出除数是小数的除法的计算方法。练习的设计突出了小数点移动的方法,使学生集中精力解决主要矛盾。为了强化算理,加强口算训练,培养学生思维的敏捷性,填空练习,简化纯粹的计算,突出了技能的训练。

7ec5088561c30d16e1ff7f06b56737e5.jpg
例列竖式计算71.4÷4.25。
分析:这是除数为小数的小数除法,计算时,我们可以运用“商不变的性质”把除数转化为整数,再按照除数是整数的除法计算。
解:

9bfa8516167b90a9007b4d3bacd825a8.jpg

adddb4552a044612316c29560adcf27e.jpg

d6d5588980832032e7ca411ae3097eac.jpg

2f2db504cf804974c452557feaa1e944.jpg
四舍五入法取商的近似数。(教材第32)

104ac7490a3d87e5380001f4ceaffa52.jpg
1.使学生会用“四舍五入”法取商的近似数。
2.培养学生的思维的灵活性,提高学生实践能力和解决实际问题的能力。
3.引导学生根据生活中的实际情况多角度思考问题,灵活地取商的近似数。

f0c662282980d8f268f429b6c4af206e.jpg
重点:使学生会用“四舍五入”法取商的近似数。
难点:使学生能根据生活中的实际情况灵活地取商的近似数。

fcb3f28b81931f8922c1d951a8002c61.jpg
投影片,计算器。

035820233f11dfa76328ca3df8e6b6b4.jpg

932c62399970e07904ea3dc2445a1786.jpg
1.用“四舍五入”法将下面各数保留一位小数。
        2.614.179.257.038.96
2.用“四舍五入”法将下面各数保留两位小数。
        1.8324.3473.29510.403
3.求下面各题积的近似数。
        0.34×0.78(得数保留两位小数)
        1.32×4.08(得数保留三位小数)
师:在实际应用中,小数除法所得的商也可以根据需要用“四舍五入”法保留一定的小数位数,求出商的近似数。

ddbf751aa9764077ac3b12dd5d369055.jpg
1.教学教材第32页例6。
(1)教师板书例题。
(2)读题,理解题意。
(3)根据题意列式计算。
板书:19.4÷12
学生列竖式计算,也可用计算器计算。
(4)质疑。
计算中出现了什么问题?你是怎样解决的?(这道题除不尽。平时计算实际钱数时,只算到分就可以了)
(5)想一想。
这时需要保留几位小数?除的时候该怎么办?(算到分,就要保留两位小数,即算出三位小数,再按“四舍五入”法省略百分位后面的尾数)
(6)小结方法。
师:怎样求商的近似数?
学生思考,然后集体交流,从而总结出求商的近似数的方法。
首先要看题目的要求,应该保留几位小数;其次,求商时,要比需要保留的小数位数多除出一位,再“四舍五入”。
(7)提问。
例6如果要算到角,需要保留几位小数?除的时候该怎么办?(如果要算到角,要保留一位小数,除的时候要算出两位小数,再按“四舍五入”法省略十分位后面的尾数)
2.观察比较。
师:在复习时,我们已经求过积的近似数,请同学们想一想:求商的近似数和求积的近似数有什么相同点和不同点?
引导学生得出下面的结论。
相同点:都是用“四舍五入”法取近似数。
不同点:取商的近似数,只要计算时比要保留的小数位数多除出一位就可以了;而取积的近似数时则要计算出整个积的值(计算完成)之后再取近似数。
   
b079dd70cd13d3863bc45c3ba2606340.jpg
1.填空。
          (1)15.6÷4.6的商保留两位小数的近似数是(),保留一位小数的近似数是()。
          (2)3.9536保留三位小数的近似数是(),保留两位小数的近似数是(),保留一位小数的近似数是()。
          (3)一个数保留两位小数的近似数是4.10,则这个数的准确值应在()和()之间。
2.计算下面各题。(得数保留两位小数)
      34.7÷9.78.26÷0.382.9×0.37
3.一批货共重35吨,用一辆汽车运,每次最多运4.8吨。至少几次才能运完?
4.星华小学要给学生宿舍换窗帘,共买布150米,每个窗帘要用布2.6米。请你帮忙算算用这些布最多可以做多少个窗帘。

8f9a34d70c6774502b2d4825b73e6569.jpg
课堂作业新设计
1. (1)3.393.4(2)3.9543.954.0(3)4.0954.104
2. 3.5821.741.07
3. 35÷4.8≈8(次)
4. 150÷2.6≈57(个)
教材习题
第32页做一做:2.10.404

757c908263158c3222a8377149169dc6.jpg
商的近似数

02d68c046b033694aed9cfc923d1821e.jpg
在实际应用中,小数除法所得的商的小数位数太多或除不尽时,
可以用“四舍五入”法保留一定的小数位数,求出商的近似数。按要
求保留商的近似数时,要比需要保留的小数位数多除出一位,然后
“四舍五入”。若所求得的近似数末尾有0,这时0不能去掉。

a396d76a92fa65ffa48e9f5603f64fd5.jpg
1.让学生在生活中体验。数学源于生活,生活中充满数学,并最终服务于生活。为抽象的教材内容选择、补充生活背景,使数学贴近学生生活,变得易于感受。
2.让学生在比较中体验。比较是常用的一种数学思想方法。只有经历这样的过程,才能使学生直观感受到数学知识形成的过程,学习能力得以提升。

036260df42461c0ecb5e745e5a153936.jpg

6fc0306f212cbd254350687df0bfe6bf.jpg
本节课是在学生已经掌握小数除法的基本计算方法的基础上进一步教学的。以人民币的计量单位引出商的近似数,说明求商的近似数在实际应用中的作用。通过用近似数表示钱数,掌握求商的近似数的方法,为后面学习循环小数作铺垫,为学生今后的学习打下基础。

4b39a7e4da7bc6b22e01060aef6d855f.jpg
传统教学的种种封闭压抑了学生个性的发展,学生迫切需要一种展现自我、发展个性的体验式学习。教师只有创造性地教,学生才能创造性地学。用动态的眼光钻研教材,营造体验式的学习氛围,学生深刻体验了数学学习的过程,并获得了积极的情感体验,最大限度促进了自身发展。

2161f4c17effb23f8c43961bea496da6.jpg

9b2649a68f7edc8b9171a61afdb9af25.jpg

2f2db504cf804974c452557feaa1e944.jpg
循环小数。(教材第33)

104ac7490a3d87e5380001f4ceaffa52.jpg
1.使学生初步认识循环小数、有限小数和无限小数,掌握循环小数的简便记法。
2.让学生经历猜想、验证的探究过程,培养学生的探究精神。
3.学生能在学习过程中获得成功体验,培养学生积极的数学情感。

f0c662282980d8f268f429b6c4af206e.jpg
重点:理解无限循环小数的意义。
难点:循环节的判断方法。

fcb3f28b81931f8922c1d951a8002c61.jpg
投影片,扑克牌。

035820233f11dfa76328ca3df8e6b6b4.jpg

932c62399970e07904ea3dc2445a1786.jpg
做游戏,找规律。
同学们,你们喜欢玩扑克牌吗?老师这里有6张扑克牌,现在我们来做个游戏。
教师出示:
a1fdf26bda1104e7939e7ef347edef73.jpg
bcf6f0bd49130177a79da61bcb63e8ec.jpg
67e15a257814270bd48545161ee6aa41.jpg
a1fdf26bda1104e7939e7ef347edef73.jpg
bcf6f0bd49130177a79da61bcb63e8ec.jpg
67e15a257814270bd48545161ee6aa41.jpg
老师又摆出
a1fdf26bda1104e7939e7ef347edef73.jpg
bcf6f0bd49130177a79da61bcb63e8ec.jpg ,你能猜出下一张要摆哪张牌吗?(
67e15a257814270bd48545161ee6aa41.jpg )请一名学生到投影前摆出
67e15a257814270bd48545161ee6aa41.jpg
再往后摆,你知道怎么摆吗?为什么?
(因为它们是按Q、J、K的顺序依次不断重复出现)
师:从这道题中可以看出,有依次不断重复出现的图案,我们把它叫做“循环”,这节课让我们共同走进数学王国的乐园,探究“循环小数”的秘密吧!(板书课题:循环小数)

ddbf751aa9764077ac3b12dd5d369055.jpg
1.主动探索。
(1)教师出示算式:42.135÷5400÷7578.6÷11
学生在练习本上做题。

72fcd47b033afc79af55431662963a88.jpg
教师给学生充分的时间,让学生做完题后,去体会“无限”与“有限”,“循环”与“不循环”的数学现象。
(2)学生观察思考。
在计算和观察同学计算过程中,你发现了什么奇怪的现象?
学生交流讨论。
第一题可以除尽,第二题、第三题的商除不尽,总也除不完。
(3)提问。
如果第二题、第三题继续往下除,商会出现什么情况呢?(第二题还继续商3、3、3……第三题还是先商4,再商5……)继续除下去商一定重复,你是从哪儿看出来的?(因为余数重复出现,商必然重复出现)继续第二题、第三题的计算,要分别商多少个3,多少个4、5呢?(要商无数个)
2.建立有限小数和无限小数的概念。
讨论:第一题与第二题、第三题的商有什么不同?
第二与第三题的商又有什么不同?
引导学生发现,第一题可以除尽,它的商的位数是有限的,第二、第三题都除不尽,它们的商的位数是无限的。
第二、第三题中商的数字虽然都出现了循环、重复,但第二题的商是一个数字循环,第三题的商则是两个数字循环。
我们把小数部分位数是有限的小数叫做有限小数。
我们把小数部分位数是无限的小数叫做无限小数。
3.初步认识循环小数。
教师指着400÷75的竖式提问。

ee3ee50cd26c63d6cc6ce1ee80c569c2.jpg
师:为什么商的小数部分总是重复出现“3”,它和每次出现的余数有什么关系?
引导学生发现:当余数重复出现时,商就要重复出现;商是随余数重复出现才重复出现的。
刚才同学们说,如果继续除下去,无论是哪一位,只要余数重复出现25,它的商就重复出现3。
教师带领学生验证。
那我们怎么表示400÷75的商呢?
引导学生说出:可以用省略号来表示除不尽的商。
教师随学生的回答进行板书:400÷75=5.333…
教师:我们所说的重复也叫做循环,像5.333…这样小数部分有一或几个个数字依次不断地重复出现的小数,就是循环小数。
4.进一步认识循环小数。

66e7b31562a20f52a7c0942077c8d7a3.jpg 师生共同观察竖式78.6÷11。
(1)观察78.6÷11的商是如何循环的。
师生共同验证。
(2)比较5.333…和7.14545…,这两个循环小数有什么不同?
生:前一个循环小数是一个数字循环,后一个循环小数是两个数字循环。
(3)尝试用循环小数的方式表示这个算式的商。
教师根据学生的叙述板书:78.6÷11=7.14545…
(4)提问。
你觉得这样的算式除到哪一位就可以不除了呢?(只要余数重复了,就可以不除了)为什么?(因为像这样的算式余数循环,商也会跟着循环)
教师指着5.333…和7.14545…告诉学生:像5.333…和7.14545…这样的小数都是循环小数。你能写出几个循环小数吗?
学生写后,组织全班交流。
(5)观察这些循环小数,说说它们有什么共同之处。
引导学生观察、讨论后,指导学生说出:都是从小数部分的某一位起,都有一个数字或几个数字依次不断地重复出现。
5.建立“循环节”的概念,指导循环小数的写法。
请学生任意说出几个循环小数,教师板书,如:
0.343434…3.888…17.2393939…26.0764764…
师讲述:一个循环小数的小数部分,依次不断重复出现的数字,就是这个循环小数的循环节。
请同学们指出上面那些小数的循环节。
教师指导书写:写循环小数的时候,为了简便,小数的循环部分只写出第一个循环节,并在循环节的首位和末位数字上面各记一个圆点。

6f46ecc09238a15e9e3f076f058a6cec.png
ec8a82b729bbf27335191bc6dd5fd838.png

757c908263158c3222a8377149169dc6.jpg
循 环 小 数
42.135÷5=8.427400÷75≈5.333…78.6÷11≈7.14545…
小数部分位数是有限的小数叫做有限小数;
小数部分位数是无限的小数叫做无限小数。

97c20f533c910573f454129ec28df0a1.png
一个数的小数部分,从某一位起,一个数字或者几个数字依次不断重复出现,这
样的小数叫做循环小数。一个循环小数中依次不断重复出现的数字叫做这个循环小
数的循环节。写循环小数时,可以只写第一个循环节,并在这个循环节的首位和末
位上面各记一个圆点。

a396d76a92fa65ffa48e9f5603f64fd5.jpg
1.创设问题情境,让学生成为发现者。初步感知有限小数、无限小数,让学生体验“循环”的含义,从而说出生活中的“循环现象” ,将生活与数学融合在一起,使学生真正理解了“循环”的含义。
2.引导学生自主探索,参与知识形成的全过程。数学知识只有通过学生参与、探索才能转化为自己的知识,本节课通过算一算、想一想、观察、比较、讨论,让学生获得了循环小数的概念。在学习过程中,为学生提供了一个思考与合作交流的空间,充分调动了学生的学习积极性。
3.运用新知,解决问题。设计不同层次的练习题,巩固所学知识,再通过讨论、师解、生自评,让不同的学生在数学学习中得到不同的发展,享受了不同的成功。

036260df42461c0ecb5e745e5a153936.jpg

6fc0306f212cbd254350687df0bfe6bf.jpg
循环小数是在学生学习了小数除法的意义、小数除法的计算及商的近似数的基础上进行教学的。这部分内容概念较多,又比较抽象,是教学的一个难点。

4b39a7e4da7bc6b22e01060aef6d855f.jpg
1.关注学生已有的生活经验和知识背景,为学生架起知识迁移的桥梁,数学教学活动必须建立在学生的认知发展水平和已有的知识经验基础之上。
2.关注学生发展,给学生提供自主合作探究的空间。数学学习不应是简单个体接受知识的过程,而是一个以学生为主体探究与发展的过程。
3.关注学生实际应用,让学生在练习中巩固、内化。

b0574442dc3dbfd75ea5ea332f9add2e.jpg

2f2db504cf804974c452557feaa1e944.jpg
循环小数的练习。(教材第34)

104ac7490a3d87e5380001f4ceaffa52.jpg
1.使学生理解循环小数的概念,会区分有限小数和无限小数。
2.提高学生总结规律的能力,使学生既长知识,又长智慧。
3.培养学生学习数学的积极情感。

f0c662282980d8f268f429b6c4af206e.jpg
重点:理解循环小数的概念。
难点:会区分有限小数和无限小数。

fcb3f28b81931f8922c1d951a8002c61.jpg
投影片。

035820233f11dfa76328ca3df8e6b6b4.jpg
   
932c62399970e07904ea3dc2445a1786.jpg
1.下列哪些小数是循环小数?
        0.666…  ②3.27676…  ③40.03666…  ④100.7878        7.2641
2.用简便记法表示下列各循环小数。
0.06262…写作:3.2727…写作:
16.203203…        写作:        0.33066…        写作:
学生很快独立完成这两道题,交流想法。

ddbf751aa9764077ac3b12dd5d369055.jpg
1.总结概括。
(1)投影出示下列各数。
7.9  ②2.888…  ③2.76565…  ④13.2626…
0.4106106…  ⑥3.1415926…  ⑦2.73636
(2)观察这些数,说说你从中发现了什么。
(3)总结发现。
通过观察,把上面的小数所蕴含的数字都挖掘出来,并根据各个小数的特点,进行总结。
①⑦这两个小数,小数部分的位数是有限的,叫做有限小数;像②③④⑤⑥这五个小数,小数部分的位数是无限的,叫做无限小数。
像3.1415926…这样,没有循环节的无限小数,叫做无限不循环小数。这样的小数是我们今后要研究的内容。
教师总结归纳,如下图。

c999616b8ced2e684e4c700d4cec4d24.jpg
根据刚才同学们的探索学习,我们可以用下图表示它们的关系:

f40f18ada8fb7ea5e22e2e510ba0128d.png

b079dd70cd13d3863bc45c3ba2606340.jpg
1.把下面各数按从小到大的顺序排列。
      2.188…2.18182.812.1818…
2.计算下面各题,指出哪些商是有限小数,哪些商是循环小数。
         (1)4÷5(2)2.75÷6(3)289÷90

8f9a34d70c6774502b2d4825b73e6569.jpg
课堂作业新设计
1. 2.1818<2.1818…<2.188…<2.81
2.(1)4÷5=0.8(2)2.75÷6=0.458(3)289÷90=3.211…
      
5ddaa6a561f7748e4fcd3fe31242a426.jpg             
1982be64edf757facb6348c58ec1e449.jpg             
96487fcfb703a9da831d4cab1bc3ba04.jpg
      有限小数 循环小数循环小数
教材习题
第34页做一做: 1. 1. 1.40.102. 2.0≈2.0821.256.≈6.97
练习八
7. 1.2910.0180.4447.2759. < < >
15. (1)分析:这道题的规律是用前一个数除以2.5就得到后一个数。0.40.16
(2)分析:这道题的规律是用前一个数除以2就得到后一个数。0.8750.4375

1d3c5e595f26fb40069945bb5ace2023.jpg

d6d5588980832032e7ca411ae3097eac.jpg

2f2db504cf804974c452557feaa1e944.jpg
用计算器探索规律,利用规律进行计算。(教材第35)

104ac7490a3d87e5380001f4ceaffa52.jpg
1.使学生能用计算器探索计算规律,能应用探索出的规律进行小数乘除法的计算。
2.提高学生的观察、对比和分析能力。
3.让学生感受发现规律的乐趣,同时体会计算器的作用。

f0c662282980d8f268f429b6c4af206e.jpg
重点:运用规律进行计算。
难点:发现商的规律。

fcb3f28b81931f8922c1d951a8002c61.jpg
计算器。

035820233f11dfa76328ca3df8e6b6b4.jpg

932c62399970e07904ea3dc2445a1786.jpg
谈话。
畅谈生活,学习中你发现有哪些规律?说给同伴听。
提问:你是怎样发现这些规律的?学生叙述发现规律的过程。
师:正如同学们所说,发现规律要经历一个观察、对比和分析的过程。今天我们借助计算器共同探索乘除法计算中的一些规律。
   
ddbf751aa9764077ac3b12dd5d369055.jpg
1.用计算器计算。
(1)出示例题。
1÷112÷113÷114÷115÷11
(2)提问。
看到这些题你有什么想法?
生甲:计算太麻烦,我们用计算器。
生乙:我想用计算器算出结果,这样既省时间,又能保证答案正确。
师:老师尊重你们的意见,可以用计算器计算这些题目,但我要提高难度,要求计算后观察结果,找出其中的规律。
(3)用计算器计算。
学生用计算器独立完成计算任务。
(4)指名说出计算结果,全班订正。
1÷11=0.0909…
2÷11=0.1818…
3÷11=0.2727…
4÷11=0.3636…
5÷11=0.4545…
2.观察发现规律。
(1)自己观察、独立发现。
(2)小组交流、互相借鉴。
(3)全班交流。
教师结合学生的发现,板书规律。
商的规律:都是循环小数,且循环节都是被除数的9倍。
(4)引导学生观察。
1÷11=0.0909…循环节是09;
2÷11=0.1818…循环节是18;
3÷11=0.2727…循环节是27;
……
3.用规律写商。
(1)教师板书:6÷11=    7÷11=    8÷11=    9÷11=
(2)学生运用发现的规律写商。
独立完成,略有困难的,可请同伴帮助完成,也可问教师。
(3)提问。
集体订正后,教师提问:你是根据什么来写这些商的?
引导学生说出应用规律的思维过程,加深对规律的理解。
4.拓展练习。
探究乘法的计算规律。
(1)板书:3×7=
           3.3×6.7=
           3.33×66.7=
           3.333×666.7=
           3.3333×6666.7=
           3.33333×66666.7=
(2)明确要求。
用计算器计算前4题,找出积的规律,试着写出后2题的积。
(3)交流反馈。
根据学生计算的结果和发现的规律板书:
3×7=21
3.3×6.7=22.11
3.33×66.7=222.111
3.333×666.7=2222.1111
3.3333×6666.7=22222.11111
3.33333×66666.7=222222.111111
(4)提问。
你是根据什么写出这些题的结果的?(根据积的规律,写出了它的计算结果)
积的规律:第一个因数中有几个3,积就由几个2与几个1组成。

b079dd70cd13d3863bc45c3ba2606340.jpg
1.教材第37页第12题。
2.教材第38页第13题。
3.用计算器计算,写出结果,找出规律。
      111111111÷9=
      222222222÷18=
      333333333÷27=
      555555555÷45=
      888888888÷72=
      999999999÷81=
4.看规律,写得数。
      12×9=108
      123×9=1107
      1234×9=11106
      12345×9=111105
      123456×9=()
      1234567×9=()
      12345678×9=()
      123456789×9=()

8f9a34d70c6774502b2d4825b73e6569.jpg
课堂作业新设计
1.11111.111122222.222233333.333344444.444455555.555566666.6666
2. 444.2224444.2222
3.123456791234567912345679123456791234567912345679
4.1111104111111031111111021111111101
教材习题
第35页做一做:2122.11222.1112222.111122222.11111222222.111111

a396d76a92fa65ffa48e9f5603f64fd5.jpg
1.大部分学生都能利用计算器找出规律。
2.注重提高学生的表达能力,更多的时间让学生归纳他们所发现的规律,学生对于表达他们的观察成果也很感兴趣。

036260df42461c0ecb5e745e5a153936.jpg

6fc0306f212cbd254350687df0bfe6bf.jpg
学完小数除法和循环小数之后,开始学习《用计算器探索规律》一课。在学生的学习中,计算器能提供很多的方便,学生比较有兴趣。

9af62234684f380eef11866c36cd2510.jpg
9.4÷6=1.5666666 (正确为1.566…) 32.8÷2.7=12.148148(正确为12.148148…)12.4÷11=1.1272727(正确为1.2727…) 3.7÷2.2=1.6818181(正确为1.68181…)在以前的学习中,学生接触计算器的体验让学生认识到:用计算器计算具有迅速、方便、正确的优点。因为以前的经历使学生对计算器充满好感,所以无比信任它。题例中出现的错误有个共同点:照抄计算器显示屏的结果。“计算器算的还会错吗?”其实学生用的计算器一般都是只能显示8位的计算器,若结果多于8位就显示不出来了。照抄结果当然就错了,这都是过分相信计算器惹的祸。

eb22f4ae293916dc96dddac10f8b729e.jpg

b4120091a6234df7e418af0258d7fecd.jpg

2f2db504cf804974c452557feaa1e944.jpg
解决问题。(教材第39)

104ac7490a3d87e5380001f4ceaffa52.jpg
1.使学生能够根据实际情况用“进一”法或“去尾”法取商的近似数。
2.进一步巩固小数除法。
3.提高学生灵活解决问题的能力和语言表达能力。

f0c662282980d8f268f429b6c4af206e.jpg
重点:会灵活运用“进一”法或“去尾”法取商的近似数。
难点:熟练掌握小数除法的计算。

fcb3f28b81931f8922c1d951a8002c61.jpg
口算卡,投影仪。

035820233f11dfa76328ca3df8e6b6b4.jpg

932c62399970e07904ea3dc2445a1786.jpg
口算。
10-2.480.45×22.36-2.3
0.51÷1.7                 0.96÷0.6                0.4÷0.04

ddbf751aa9764077ac3b12dd5d369055.jpg
1.学习教材第39页例10(1)。
(1)读题,理解题意。
(2)分析解题思路。
求需要准备几个瓶,就是看2.5kg里有几个0.4kg。
(3)猜一猜。
请同学猜一猜,需要几个瓶,把结果和理由告诉同伴。
(4)算一算。
在练习本上独立计算出结果。
集体订正,教师根据同学口述,板书如下:
2.5÷0.4=6.25(个)
(5)提问。
按“四舍五入”法,准备6个瓶子可以吗?(不可以)为什么?(因为6个瓶子只能装2.4kg香油,还剩下0.1kg香油)怎么办?(需要再准备1个瓶子装剩下的0.1kg香油,所以需要准备7个瓶子才行)
师:所以我们在答题的时候,要答需要准备7个瓶子。
(6)验证。
刚才你猜对了吗?理由符合实际情况吗?
(7)讲述。
在前面的学习中,我们学习过一种求近似数的方法——“四舍五入”法。“四舍五入”法的原则是:如果被舍去的部分的首位数字小于5时,就舍去这些数字,如果被舍去部分的首位数字等于或大于5时,就要在保留部分的末位数字上加1。
今天通过例10(1)的学习,我们又学习了一种根据实际需要取近似数的方法。在除法计算中,根据实际情况,有时需要把一个数某位后面的数字舍去,无论舍去的最高位是几,都要向保留部分的末位进一,这种取近似数的方法叫做“进一”法。
(8)想一想。
生活中哪些情况用到了“进一”法,你能举出这样的例子吗?
2.学习教材第39页例10(2)。
(1)读题,理解题意。
(2)分析解题思路。
(3)独立列式计算。
(4)集体交流。
教师根据学生的回答板书:25÷1.5=
提问:计算时你遇到了什么问题?(计算结果出现了循环小数)教师在横式后写上得数:25÷1.5=16.666…(个)。
(5)想一想。
包装17个礼盒,丝带够吗?(不够)为什么?(因为余下的不够再包装一个礼盒,所以不能用“进一”法取商的近似数)不能用“进一”法取近似数,这时需要用什么方法取商的近似数呢?(小组讨论)
教师归纳学生的方法,引导学生知道什么是“去尾”法。
“去尾”法也是一种取近似数的方法,在实际计算中,根据情况有时需要把一个数某位后面的数字全部舍去,这种计算方法叫做“去尾”法。
(6)举例。
生活中哪些时候选择运用“去尾”法,你能举出一些例子吗?
   
b079dd70cd13d3863bc45c3ba2606340.jpg
1.一罐橙汁粉450克,每冲一杯需要14克橙汁粉和8克方糖。冲完这罐橙汁粉,大约需要多少克方糖?
2.幸福小学有382人去秋游,每辆客车限乘40人。需要几辆客车?
3.电信局为新建小区的680户居民安装宽带,工人平均每周安装70条。电信局需要几个星期才能安装完?
4.装订一种笔记本需要用纸60页,现有同样的纸2859页,可装订多少本笔记本?
5.一棵树4.5米高,一只小猫从下向上爬。它每次向上爬3米,向下滑2米,第几次能爬到树顶?

8f9a34d70c6774502b2d4825b73e6569.jpg
课堂作业新设计
1. 450÷14≈32(杯)32×8=256(克)2. 382÷40≈10(辆)
3. 680÷70≈10(个)4. 2859÷60≈47(本)
5.第3次能爬到树顶。
教材习题
练习九
1. 1.2÷3÷2=0.2(公顷)
2. 分析:根据速度=路程÷时间,用除法求出客车和货车的速度,再用客车的速度减去货车的速度。
336÷3.2=105(千米/时)336÷3.5≈96(千米/时)105-96=9(千米)
3. 300÷3÷4=25(棵)
4. 分析:先算85份周报卖的钱数,再算卖晚报的钱数,最后算出卖晚报的份数。
1.5×85=127.5(元)230-127.5=102.5(元)102.5÷0.5=205(份)
5. 902013.88.56
6. 分析:先求雨燕的速度,再求雨燕的速度是信鸽的几倍。510÷3=170(千米/时)170÷74≈2
7. 分析:用面粉的总质量除以每个蛋糕用的面粉的质量,再根据实际情况用“去尾”法求出近似数。
4÷0.32≈12(个)
8. 分析:用葡萄的总质量÷每个纸箱装的质量=用纸箱的个数,计算出结果后,用“进一”法取近似值。
680÷15≈46(个)
9. (1)分析:先求出买钢笔用的总钱数,再求出可以买几支钢笔,计算出结果后,用“去尾”法取近似值。
80-45.6=34.4(元)34.4÷2.5≈13(支)
(2)可根据题中的实际数量提问题,答案不唯一。
10. 13.616.810.51913.616.810.519
11. 450÷16≈28(杯)28×9=252(克)
12. 分析:因为50000平方米是10000平方米的5倍,可以求出10000平方米森林每天吸收的二氧化碳的吨数,再求出50000平方米8月份吸收二氧化碳的吨数。
50000÷10000=56.3÷7=0.9(吨)0.9×5×31=139.5(吨)
13. 3.69÷2.46=1.5

757c908263158c3222a8377149169dc6.jpg
用“进一”法和“去尾”法解决问题
25÷1.52.5÷0.4
根据实际情况对小数的商取整。例如求所需的容器、布袋等物品的数量时,根据
需要求得的结果要用“进一”法。当知道了总量求可以得到几个分量时用“去尾”法,例
如一段绳子可以做几个中国结,一片铁皮可以做多少个盒子等。

a396d76a92fa65ffa48e9f5603f64fd5.jpg
1.把学生的学习活动同现实生活紧密联系起来,激发了学生的好奇心和求知欲望,体验到生活是数学的源泉,了解了数学的价值,增强了应用数学的意识。
2.为学生提供了自主探究、主动获取新知识的时间和空间,感知新知和旧知的内在联系,教师穿针引线,适时点拨,帮助学生完成新知的主动建构。
3.把小组合作学习作为一种主要的学习方式,通过学生之间讨论、交流,每一位学生充分地参与认知活动,提高了课堂教学效率,保证每一位学生都得到应有的发展,增强了学生的合作意识和合作能力。

036260df42461c0ecb5e745e5a153936.jpg

6fc0306f212cbd254350687df0bfe6bf.jpg
在学习了小数除法及用“四舍五入”法求商的近似数的基础上,又安排了根据实际情况用“进一”法和“去尾”法取商的近似数的内容。一方面是在进一步巩固商,另一方面也是在培养学生根据具体情况灵活处理商,解决实际问题的能力,使学生真切地感受到了数学与生活的紧密联系,也使学生真正体会到了学习数学的价值。因此,这部分内容的教学很重要。学生已有一定的生活经验,具有一定的分析、判断的能力,思维较活跃,但有可能受思维定式的影响,机械地使用“四舍五入”法去取商的近似数。因此,要让学生在产生认知冲突的过程中,根据具体情况,联系生活经验,小组讨论交流等形式来确定是“舍”还是“入”,从而认识取商的近似数的另外两种方法“进一”法和“去尾”法。

4b39a7e4da7bc6b22e01060aef6d855f.jpg
联系生活,为学生创设学习情境,使学生感受到数学就在我们身边,容易激发学生探究新知的欲望。给学生充分的时间和空间讨论交流,使学生在认知冲突中思考、在讨论交流中产生共鸣,建立起新的知识体系,使思维得到训练。因为数学来源于生活又服务于生活,因此要选取学生感兴趣的、熟悉的事物,为他们提供实践的平台,使他们感受到数学的作用,体会到数学的价值。留不同层次的作业,使不同程度的学生得到不同程度的训练。

0d15435c74a0f1f810cf9e9ed9dcbe72.jpg

d6d5588980832032e7ca411ae3097eac.jpg

2f2db504cf804974c452557feaa1e944.jpg
整理和复习。(教材第42~43)

104ac7490a3d87e5380001f4ceaffa52.jpg
1.使学生掌握本单元所学知识。
2.培养学生归纳、整理的能力。
3.教给学生整理知识的方法。

f0c662282980d8f268f429b6c4af206e.jpg
重点:灵活运用小数除法的知识解决实际问题。
难点:熟练掌握有关小数除法的运算。

fcb3f28b81931f8922c1d951a8002c61.jpg
投影仪。

035820233f11dfa76328ca3df8e6b6b4.jpg

9ae1403637d520683c8b94a639388f0f.jpg
1.回忆本单元所学的知识点。
2.小组交流。
重点说说本单元的主要知识点。
   
e379aed470be40d3ccebf43715c2c354.jpg
1.小组整理单元知识网络图。
2.集体交流。
教师根据学生反馈,板书:

e4f99d4d2b7ff964a9f136789d39aacb.png
取商的近似数的方法——“四舍五入”法。
循环小数的意义。
用计算器探索规律,运用规律计算。

beaeba089f7a628d8f0bca90840febb4.png
   
b06d6ca8f6545359a0b999e48188d1cc.jpg
请学生根据本单元所学内容,自出一份综合练习。
交换自出练习,相互做。

d97707de68898b1065e95b615dd2145f.jpg
做完后互评。

8f9a34d70c6774502b2d4825b73e6569.jpg
教材习题
第42页整理和复习
1. 5.0257.2962.093.528.40.23320.2874.14.7
2. (1)2.8×6.34≈17.52(元)
            (2)100÷6.34≈15.77(美元)
            (3)500×0.82=410(元)5500×0.08=440(元)410<440香港标价低
            (4)略
练习十
1. 1.683705.812817.59041竖式略
2. 43.3324.110.72
3. 84.50338.0086.80
4. 分析:先求李大伯用了多少分钟,再求出李大伯跑1km用的时间。
       9.7+2=11.7(分)11.7÷1.5=7.8(分)
5. 3.236.1122.37
6. 100÷18.5≈5(本)
7.

a396d76a92fa65ffa48e9f5603f64fd5.jpg
1.在数学复习整理活动过程中,鼓励学生根据自己已有的知识去经历自主整理过程,用他们自己整理的方式去探索和重建数学知识。学生从中体会到了自主学习的乐趣。
2.本单元知识点多,且不易记忆。采用创设情境的全新教学方法,用“与众不同的数” 的概念来激活学生脑海中原有的零碎知识点。这一主题情境的开展,为学生自主整理活动提供了一个有效的平台。
3. 建构一个循序渐进的过程,是一个探索实践、纠偏再实践的循环过程。本课最大特色是在对知识进行自主整理与创设合作交流相结合的过程中,培养了学生整理归纳知识的能力。

036260df42461c0ecb5e745e5a153936.jpg

6fc0306f212cbd254350687df0bfe6bf.jpg
这部分内容主要是对小数除以整数、一个数除以小数、商的近似数、循环小数、用计算器探索规律及应用规律和解决问题等内容进行整理和复习。

4b39a7e4da7bc6b22e01060aef6d855f.jpg
1.使学生初步理解采用表格法和树状图进行整理和复习的方法。
2.使知识网络化、系统化。
3.培养学生的合作能力。
4.采用自主探究、合作学习方式。
                                                
99e9826d8dfca4d08acaadfc47334987.jpg
您需要登录后才可以回帖 登录 | 立即注册

本版积分规则

Archiver|手机版|小黑屋|5432教案网 ( 蜀ICP备2022024372号-1 |川公网安备51152402000101号 )|网站地图

GMT+8, 2026-5-4 06:56 , Processed in 0.850488 second(s), 32 queries .

Powered by Discuz! X3.5

© 2001-2026 Discuz! Team.

快速回复 返回顶部 返回列表