找回密码
 立即注册
搜索
查看: 117|回复: 0

[人教版] 43(教案1)第1课时 口算除法(1)

[复制链接]

4万

主题

224

回帖

19万

积分

管理员

积分
194028
发表于 2026-2-20 08:46:32 | 显示全部楼层 |阅读模式
第2单元 除数是一位数的除法
第1课时 口算除法(1)
【教学内容】
   教材第11页例1及做一做,练习三第1、2题。
【教学目标】
  1.会口算整十、整百、整千数除以一位数的除法。
   2.利用已有的经验想出多种计算方法,并能熟练地进行计算。
【教学重难点】
重点:探究并掌握用一位数除的口算方法。
难点:弄清用一位数除的算理。
【教学过程】
一、复习铺垫
1.出示。
6÷3       12÷6       16÷4       24÷3       36÷9
32÷8      72÷9       64÷8       49÷7       80÷4
2.组织学生两人一个小组,互相算一算,然后指名口算,出示结果,使学生重温表内除法的计算过程。
3.当学生口算80÷4时,教师适时引出:这道算式和前面的算式有什么区别?
(被除数是80,这样的除法算式以前没有学过)
二、探究新知
教学例1。
1.课件出示教材第11页例1的情境图。
师:从这幅图中,你获得了哪些信息?
2.出示例1问题。
3.学生自己列出算式后,教师揭示课题:二年级时我们已经学过了简单的口算除法,今天我们继续学习口算除法。
[板书课题:口算除法(1)]
4.提问:60÷3等于多少呢?
学生独立思考,再小组进行交流,教师巡视指导,对于个别学习存在困难的学生可以提示用小棒摆一摆。
5.各小组派代表在班级中反馈本小组想到的计算方法。预设学生出现以下三种算法。
(1)20×3=60          60÷3=20。
(2)6÷3=2            60÷3=20。
(3)通过摆小棒看出,把60根小棒平均分成3份,每份是20根。
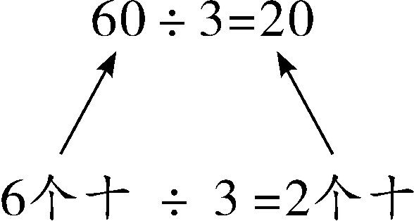
6.结合摆小棒的过程,引导学生进一步理解一位数除整十数的算理。
(1)60里面有几个十?(6个十)
(2)60÷3可以看成什么?(6个十除以3)
(3)6个十除以3等于多少?(2个十,就是20)
教师结合提问和学生的回答板书。

a63310cc8a77721d17f963d3ff682e50.jpg
(4)反馈练习。
教师出示60÷2,90÷3让学生说一说自己是怎样想的。
7.想一想:600÷3=
(1)鼓励学生先独立思考,然后在小组内交流。
(2)反馈时多让学生说说算理。
三、巩固练习
    1.完成教材第11页做一做
    先让学生在教材上独立完成。
    指名汇报时让学生说说自己是怎样想的,然后引导学生比较每组中上下题的异同,看能够发现什么规律。
    2.完成教材练习三的第1题。
组织学生进行口算比赛,看谁算得又对又快。
    3.完成教材练习三第2题。
分析题意,独立解答。
    四、课堂小结
师:同学们,通过今天的学习你们有什么收获?
【板书设计】        
  口算除法(1)
6÷3=2
60÷3=20
600÷3=200
【教学反思】
本课教学时重视学生已有的知识经验,培养学生的迁 移能力。学生已有的与除数是一位数的口算除法相关联的口算经验有:表内除法和一位数乘整十、整百数的口算。这些口算经验是帮助学生解答除数是一位数的口算除法的基础。教学时积极采取措施,激活学生已储存的相关口算经验,唤起学生对已有知识的回忆,并将它灵活运用在除数是一位数的口算除法这样一个新的情境中。同时重视算理表述,培养学生数学语言的表达能力。教学时不仅要关注学生是否正确计算出结果,还要重视和引导学生用数学语言表述口算除法的过程,因为它是计算过程的提炼和升华。在这个过程中,教师创造条件,给学生一个轻松的学习环境。通过有层次的说算理的过程,使学生自主归纳出口算的基本方法,同时学会用简洁的语言表述自己的思考。
您需要登录后才可以回帖 登录 | 立即注册

本版积分规则

Archiver|手机版|小黑屋|5432教案网 ( 蜀ICP备2022024372号-1 |川公网安备51152402000101号 )|网站地图

GMT+8, 2026-5-4 15:00 , Processed in 0.882346 second(s), 32 queries .

Powered by Discuz! X3.5

© 2001-2026 Discuz! Team.

快速回复 返回顶部 返回列表