找回密码
 立即注册
搜索
查看: 90|回复: 0

[人教版] 06(教案1)第2课时 口算除法(2)

[复制链接]

4万

主题

224

回帖

19万

积分

管理员

积分
194028
发表于 2026-2-20 08:32:37 | 显示全部楼层 |阅读模式
第2单元 除数是一位数的除法
第2课时 口算除法(2)
【教学内容】
   教材第12页例2、例3及做一做,练习三第3、4、7、8题。
【教学目标】
  1.让学生在交流讨论活动中理解和掌握除数是一位数的口算除法的方法,并能运用方法熟练地进行口算。
   2.培养学生的发散思维和合作意识。
【教学重难点】
重点:熟练掌握用一位数除的口算方法。
难点:提高一位数除法的口算能力。
【教学过程】
一、复习引入
1.口算。
80÷4        40÷2        6000÷2       90÷3
2.师:上节课我们学习了除数是一位数的口算除法,这节课我们继续学习口算除法。
[板书课题:口算除法(2)]
二、探究新知
1.教学例2。
(1)课件出示例2。
(2)学生独立列式,提示:120÷3等于多少呢?
学生先独立思考,小组内交流。
教师巡视指导,也可以让学生先用小棒摆一摆。
(3)反馈学生的计算方法。
学生可能出现以下三种算法:
40×3=120,120÷3=40。
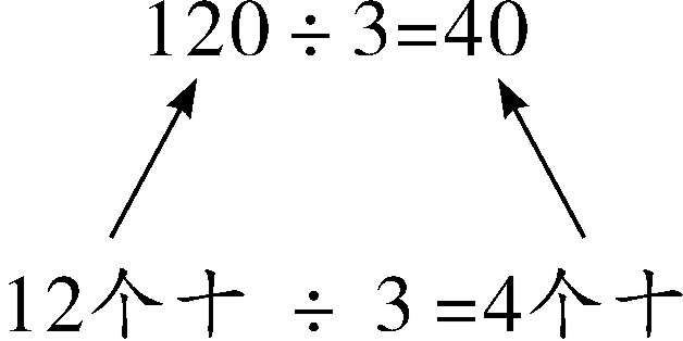
12÷3=4,120÷3=40。
通过摆小棒看出:把120根小棒平均分成3份,每份是40根。
教师结合摆小棒的过程引导学生理解算理。

595d345fc0ebea07bcbbe712f8843b5a.jpg
2.教学例3。
(1)课件出示例3。
(2)鼓励学生先独立思考,然后小组内交流,也可以让学生用小棒摆一摆。
学生可能出现以下几种算法:
60÷3=20,6÷3=2,20+2=22。
通过摆小棒可以看出:先把66根小棒分成6捆(每捆10根)和6根,6捆小棒平均分成3份,每份2捆(20根);再把6根小棒平均分成3份,每份2根,2捆和2根合起来就是22根。
三、巩固练习
1.完成教材第12页做一做
先让学生在教材上独立完成,再指名汇报,指名汇报时让学生说说自己是怎样想的,然后引导学生比较每组中上下两题的异同,看能够发现什么。
2.完成练习三第3题。
学生独立完成,按从上到下的顺序计算,进一步巩固口算方法,熟练口算技巧。
3.完成练习三第4题。
4.完成练习三第7、8题。
    四、课堂小结
师:同学们,通过这节课的学习你有什么收获?
【板书设计】        
  口算除法(2)
例2:方法一:40×3=120         方法二:12÷3=4
              120÷3=40                 120÷3=40
例3          66÷3=22
             60÷3=20
             6÷3=2
             20+2=22
【教学反思】
本节课我把握了以下两点:
   算法的多样化。算法多样化是计算教学改革的一个新的理念,探索口算方法的过程,体会从不同的角度思考问题。另外,无论是用哪一种方法计算,对学生后面的学习都是有用的,所以教学时特意对学生说明,计算时要用自己喜欢的方法。课堂上,学生学得轻松,又通过倾听和交流得到了能力上的提高。
   多方面的评价。本节课我从计算的方法、计算的速度、学习态度以及参与活动的积极性等方面,都适时地对学生进行了恰当的评价,使每个学生都能获得成功的喜悦,充分感受到学习的快乐,从而调动了学生学习数学的积极性。
您需要登录后才可以回帖 登录 | 立即注册

本版积分规则

Archiver|手机版|小黑屋|5432教案网 ( 蜀ICP备2022024372号-1 |川公网安备51152402000101号 )|网站地图

GMT+8, 2026-5-4 16:22 , Processed in 0.736799 second(s), 32 queries .

Powered by Discuz! X3.5

© 2001-2026 Discuz! Team.

快速回复 返回顶部 返回列表