找回密码
 立即注册
搜索
查看: 36|回复: 0

[人教版] 9(三上)第二单元 万以内的加法和减法(一)

[复制链接]

2万

主题

224

回帖

13万

积分

管理员

积分
130793
发表于 2026-2-19 10:03:43 | 显示全部楼层 |阅读模式

717a4d51703b8cbc63a407051783607f.jpg

b6ebf574d721b21b085b51c7ca2849fc.jpg
1.本单元主要教学口算两位数加、减两位数(和在100以内),笔算几百几十加、减几百几十以及加、减法的估算。共安排了4个例题。这部分内容是在万以内数的认识以及100以内的加、减法基础上教学的,起着承上启下的作用。一方面通过口算和笔算,复习了数和计算的有关知识,另一方面也为进一步学习万以内的数与计算起了铺垫作用。
2.口算两位数加、减两位数是前几册100以内的口算的延续,是在100以内口算和笔算基础上教学的。掌握这部分口算,不仅在实际中有用,而且是以后学习笔算的基础。例如,一位数除两位数的口算比较熟悉,就能较快地判断出余数的大小以及商是否合适。笔算几百几十加、减几百几十是新增加的内容。是在两位数加、减两位数的基础上编排的。学习这些内容不仅可以进一步巩固两位数加、减两位数,而且还为后面学习多位数的笔算加、减法做准备。

f0be1d84e984b91d03804d3a2b15cbcb.jpg
学生已经认识了万以内的数,掌握了100以内的加、减法计算,学会了竖式计算的法则,本单元的教学是对以前学过的计算法则的延伸,因此培养学生的迁移类推能力就能很好地解决类似的教学问题。

068bff6ae5cf75aac390cb756b4d8646.jpg
  1.使学生能够正确口算两位数加、减两位数(和在100以内),会正确计算几百几十加、减几百几十。
2.使学生能够结合具体情境,进行加、减法的估算,培养估算意识。
3.培养学生根据具体情况选择适当方法解决实际问题的意识,体验解决问题策略的多样性。

e7d493dec4543aa8b51e92283b457904.jpg
1.充分利用学生在已有知识的基础上学习新知识。
本单元的内容是在前面内容的基础上教学的,如口算两位数加、减两位数,本质上都是两位数加减一位数、整十数两种情况的组合。而笔算几百几十加、减几百几十的,是两位数加、减两位数笔算的拓展,它们的算理完全相同,可以通过迁移类推来学习。因此教学时,应注意相关内容的复习。
2.注意把握好计算教学的要求。
本单元计算教学的内容呈现算法多样化的特点,在教学时,一方面应尊重学生的个性差异,允许他们采用不同的算法进行计算,同时也应注意把握好教学要求,如教学几百几十的加、减法时,主要以教学笔算为主,口算时作为另一种算法出现,因此对于这类计算,只要求学生掌握笔算,对于口算不作共同要求。
3.重视估算意识的培养。
重视估算,培养估算意识,是《标准》在计算教学方面强调的内容之一。随着计算内容的进行适时安排一些估算,逐步培养估算意识是本套教材的一个特点,本单元教学应结合几百几十的加、减法,进一步学习根据具体情境运用估算解决实际问题。

cab65d9d64349d95ac900a702111e495.jpg
1 两位数加两位数......................................................        1课时
2 两位数减两位数......................................................        1课时
3 几百几十加、减几百几十..............................................        1课时
4 估算................................................................        1课时
5 整理和复习..........................................................        1课时

82c4a0961a43987b53aadc919dc354bf.jpg

d6d5588980832032e7ca411ae3097eac.jpg

2f2db504cf804974c452557feaa1e944.jpg
两位数加两位数。(教材第9、第10)

035820233f11dfa76328ca3df8e6b6b4.jpg
1.学习两位数加两位数(和不超过100的),会正确口算两位数加两位数。
2.培养学生解决简单实际问题的能力及根据情况选择恰当方法的意识。

d1994a2311eb9d1f3a41b4fd5ce01e6b.jpg
重点:正确口算。
难点:根据情况选择恰当的方法。

fcb3f28b81931f8922c1d951a8002c61.jpg
课件。

035820233f11dfa76328ca3df8e6b6b4.jpg

2dac275d9cb9d95b14f9a821bab69ead.jpg
师:同学们,你们知道这些同学为什么这么高兴吗?(课件出示:教材第9页主题图)
生:因为他们要去参观“世博会”啦!
师:跟小组同学说一说,你从图中了解到哪些数学信息。
学生在小组里交流获得的数学信息。
组织学生汇报交流,把主要信息板书出来。
师:同学们观察得很仔细,获得了很多有价值的信息。
【设计意图:借助主题图吸引学生的注意力,引导学生仔细观察获取有价值的数学信息,为下面提出问题,解决问题做好准备】

ba69353aa5696a80c06352da2ede3156.jpg
1.教学例1。
师:现在老师想知道,一年级一共要买多少张车票呢?你能根据刚才获得的信息解决问题吗?该怎样列式呢?
生:要求一年级一共要买多少张车票,只要把一年级两个班的人数相加就可以了。我们已知一(1)班有35人,一(2)班有34人,所以算式是35+34。
师:你会口算吗?试一试,跟同桌说一说你是怎样口算的。
学生同桌之间交流口算方法。
师:谁愿意把自己的口算方法跟大家分享一下?
学生可能会说:
生1:我把34分成一个整十数30和一个一位数4,先算出35+30=65,然后再算65+4=69。
生2:我是把35和34都分成一个整十数和一个一位数,这样35分成30和5,34分成30和4,然后先算整十数加整十数,30+30=60;再算一位数加一位数,5+4=9,最后把它们的和相加60+9=69。
……
对于学生的不同算法,只要合理就要给予肯定,不必强求算法的统一。
师:二年级一共要买多少张车票呢?谁会列式?
生:我们已经知道二(1)班有39人,二(2)班有44人,所以要买的车票张数就是这两个班的人数和,算式是39+44。
师:谁能很快算出结果?说一说你的算法。
生1:我们可以先算39+40=79,再算79+4=83。
生2:我们还可以先算30+40=70,再算9+4=13,最后算出70+13=83。
……
只要学生算法合理就要给予肯定并表扬鼓励。
2.教学“做一做”。
师:请你利用主题图中的信息完成下面的题目,并说说是怎样计算的。(课件出示:教材第10页“做一做”)
学生尝试独立解答;教师巡视了解情况,指导个别学习有困难的学生。
组织学生交流汇报,重点说说算法:
生1:三年级一共要买的车票数就是三年级两个班的人数之和,33+36=69(张)。口算的时候可以先算33+30=63,再算63+6=69。
生2:要算四年级一共要买多少张车票,就要把四年级两个班的人数相加,36+38=74(张)。口算的时候可以先算30+30=60,6+8=14,再算60+14=74。
生3:模仿上面的问题,我们可以问:五年级一共要买多少张车票?算式是41+42=83(张),也就是说五年级一共要买83张车票。
【设计意图:提倡算法多样化,目的是提倡学生个性化学习,变“学方法”为主动的构建方法。鼓励学生展开思路,在交流比较的基础上不断地完善自己的想法,学习计算方法】

78995c7676b7557731942298dd35937d.jpg
A
用自己喜欢的方法计算,看谁算得又对又快。
54+21=  15+75=  37+24=  81+11=
[考查知识点:两位数加两位数(和在100以内的);能力要求:能正确熟练地口算两位数加两位数(和在100以内的)]
B
一辆玩具汽车29元,一辆玩具坦克47元,如果这两样玩具都买需要多少元钱?
[考查知识点:两位数加两位数(和在100以内的);能力要求:能正确熟练地运用口算两位数加两位数(和在100以内的)解决生活中的实际问题]

8f9a34d70c6774502b2d4825b73e6569.jpg
课堂作业新设计
A类
75  90  61  92
B类
29+47=76(元)

757c908263158c3222a8377149169dc6.jpg
两位数加两位数
            一(1)班35人 一(2)班34人    一年级一共要买多少张车票?
    二(1)班39人 二(2)班44人          35+34=69(张)想:35+30=65 65+4=69
            三(1)班33人 三(2)班36人           或 想:30+30=60 5+4=9 60+9=69
            四(1)班36人 四(2)班38人        
            五(1)班41人 五(2)班42人
            六(1)班39人 六(2)班43人

a396d76a92fa65ffa48e9f5603f64fd5.jpg
1.学生都会算两位数加两位数,然而要他们说出计算方法,大多数学生不会表达。如35+34=?学生有的会说成是3+3=6,5+4=9,所以35+34=69。正确的表达是30+30=60,5+4=9,60+9=69,所以35+34=69。要让学生清楚十位上的3表示的是3个十,应该说成是30。
2.大部分学生基本上能够说出自己的想法,而且计算方法比较多。但是归根结底还是转换到了两位数加一位数和整十数的计算方法上。小部分学生似乎对口算并不感兴趣,仍然使用笔算,老师可以加以引导。

efaa0f188fbd20fbe362a7a639f99b19.jpg

d6d5588980832032e7ca411ae3097eac.jpg

2f2db504cf804974c452557feaa1e944.jpg
两位数减两位数。(教材第11~13)

035820233f11dfa76328ca3df8e6b6b4.jpg
1.学习两位数减两位数,能正确口算百以内的两位数减两位数。
2.培养学生将所学知识应用于生活的意识及创新意识。

d1994a2311eb9d1f3a41b4fd5ce01e6b.jpg
重点:两位数减两位数的口算。
难点:两位数减两位数(退位减)的口算。

fcb3f28b81931f8922c1d951a8002c61.jpg
课件。

035820233f11dfa76328ca3df8e6b6b4.jpg

2dac275d9cb9d95b14f9a821bab69ead.jpg
师:同学们,还记得上节课去“世博会”参观的事情吗?大家把问题解决得真棒!今天我们继续研究参观“世博会”购买车票的问题。说说你从图中知道了什么?(课件出示:教材第11页主题图)
生1:我知道了普通快客的票价是65元,动车的票价是54元。
生2:我知道了乘坐世博专线大巴最便宜,票价是48元。
师:同学们获取了这些有价值的数学信息才能解决下面的问题,大家有信心正确解答问题吗?
【设计意图:引导学生观察主题图,获取有价值的信息,鼓励学生积极解决问题,为新课的探究奠定基础】

ba69353aa5696a80c06352da2ede3156.jpg
1.教学例2。
师:今天老师还想请大家帮帮忙来解决问题!(1)普通快客的票价比动车贵多少钱?
师:你能列出算式吗?说说你的想法。
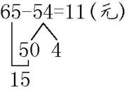
生:我们已知普通快客的票价是65元,动车的票价是54元,要求普通快客的票价比动车贵多少钱,就是计算65比54多多少,用减法计算65-54。
师:你会计算吗?试一试。
学生尝试独立计算;教师巡视了解情况。
师:把你的算法跟大家交流一下吧。
生:我们可以先算65-50=15,然后再算15-4=11。
对于算法合理的学生就要给予肯定并鼓励表扬。
(2)世博专线大巴的票价比普通快客便宜多少钱?
师:你知道该怎样解决这个问题吗?自己试一试。
学生尝试独立解答;教师巡视了解情况,指导个别学习有困难的学生。
师:谁愿意把自己的方法告诉大家?
生:我们已经知道普通快客的票价是65元,世博专线大巴的票价是48元,要计算世博专线大巴的票价比普通快客的票价便宜多少钱,用减法计算65-48。计算的时候,可以先算65-40=25,再算25-8=17,所以结果是便宜了17元钱。
师:你还能提出其他数学问题并解答吗?在小组里跟同学说一说。
学生在小组里进行提问题并解答活动;教师巡视了解情况。
组织学生交流汇报,只要问题合理,解答正确就要给予肯定鼓励。
2.教学“做一做”。
师:你能完成下面的习题吗?看谁算得又对又快。
学生尝试独立解答;教师巡视了解情况。
组织学生开展抢答比赛,汇报交流计算结果;对解答全部正确的学生给予表扬鼓励。
【设计意图:充分利用学生已有的知识学习新知识,给学生足够的时间和空间去自主探究新知识,培养学生的迁移类推能力】

837dc97f6d41207b9e8bd8c8fd0cb8e6.jpg
师:在今天的课上你有什么收获呢?
引导学生自己总结,交流汇报。

78995c7676b7557731942298dd35937d.jpg
A
计算下面各题,看谁算得又对又快。
97-43=    52+16=    34+56=
25+36=    44-19=    82-48=
(考查知识点:两位数减两位数;能力要求:能正确计算两位数减两位数)
B
小红的爸爸体重是65千克,小红的体重是36千克,爸爸比小红重多少千克?
(考查知识点:两位数减两位数;能力要求:能运用两位数减两位数的计算知识解决生活中的实际问题)

8f9a34d70c6774502b2d4825b73e6569.jpg
课堂作业新设计
A类
54 68 90 61 25 34
B类
65-36=29(千克)
教材习题
教材第11页“做一做”
88 32 83 9 45 49
教材第12页“练习二”
1. 47  59  66  78 54  40  72  78
2. 82  99  77  87  90  89  58  51
3. 83 4. 61 5. 略
6. 47  19  52  10
7. 15 24 8. 8  84

757c908263158c3222a8377149169dc6.jpg
两位数减两位数

d6eb91d46d6378b00c0d590457f1c46b.jpg
答:普通快客的票价比动车贵11元钱。

a396d76a92fa65ffa48e9f5603f64fd5.jpg
1.对于不退位的减法学生都会做,而退位减法有小部分学生容易出错,当个位不够减时,就用减数的个位减被减数的个位。对于那些始终不明白计算方法的学生,可采用小棒图帮助他们理解。
2.通过这节课的学习,学生已经掌握了两位数减两位数的口算方法。

c6df447c2aff60800f875b2c222487cb.jpg

d6d5588980832032e7ca411ae3097eac.jpg

2f2db504cf804974c452557feaa1e944.jpg
几百几十加、减几百几十。(教材第14)

104ac7490a3d87e5380001f4ceaffa52.jpg
1.学习几百几十加、减几百几十,能正确计算并掌握笔算方法。
2.培养在众多方法中择优的意识。

d1994a2311eb9d1f3a41b4fd5ce01e6b.jpg
重点:正确计算几百几十加、减几百几十。
难点:几百几十加几百几十的进位加和几百几十减几百几十的退位减。

fcb3f28b81931f8922c1d951a8002c61.jpg
课件。

035820233f11dfa76328ca3df8e6b6b4.jpg

2dac275d9cb9d95b14f9a821bab69ead.jpg
师:今天这节课我们终于进入了世博园,同学们想不想进纪念品商店逛一逛呢?
【设计意图:借助轻松的谈话调动学生的积极性,吸引学生参与课堂学习的注意力】

ba69353aa5696a80c06352da2ede3156.jpg
1.教学例3。
师:说说你了解到哪些信息?(课件出示:教材第14页例3)
生:知道了世博园里的一个纪念品商店,上午卖出380个“海宝”,下午卖出550个“海宝”。
师:根据这些信息你能提出什么问题呢?
学生可能会说:
生:上午和下午一共卖出多少个“海宝”?
师:谁能尝试解答这个问题呢?先试一试。
学生尝试独立解答问题;教师巡视了解情况。
师:谁愿意把自己的想法和算法跟大家分享?
生1:求这一天卖出多少个“海宝”,就是计算上午与下午卖出“海宝”个数的和,用加法计算,算式是380+550。计算的时候,我是这样想的:因为380可以看作是38个十,550可以看作是55个十,这样38+55=93,所以380+550=930。
生2:在计算的时候我们也可以用竖式笔算,注意相同数位对齐,从个位加起,满十就要向前一位进1,这样就是
给予解答正确的学生肯定表扬。
生:下午比上午多卖出多少个“海宝”?
师:会解答这个问题吗?自己试一试。
学生尝试独立解答;教师巡视了解情况。
师:谁愿意把自己的想法告诉大家呢?
生1:求下午比上午多卖出多少个“海宝”,其实就是计算上午与下午卖出的“海宝”相差多少个,用减法计算,550-380=170(个)。
师:你是怎样计算的呢?
生2:因为550可以看作55个十,380可以看作38个十,我们可以先计算55-38=17,所以550-380=170。
生3:我们也可以借助竖式进行笔算,注意相同数位对齐,从个位减起;当哪一位不够减时,向前一位借1,就是这样算:
师:谁能说一说为什么百位上是1呢?
生:因为十位上的5减8不够减,向百位上借走了1,这样百位上还剩4,再减3就得1。
对于解答正确的学生给予肯定鼓励。
2.教学“做一做”。
师:你能用竖式计算出下面各题吗?(课件出示:教材第14页“做一做”)
学生尝试笔算,教师巡视了解情况,指导个别学习有困难的学生。
组织学生交流汇报,展示竖式计算方法及结果,给予解答正确的学生以表扬鼓励。
【设计意图:整个课堂设计以“学生为主体,教师辅助点拨”为主,给每个学生提供参与学习的机会,处理好课堂上可能生成的问题】

837dc97f6d41207b9e8bd8c8fd0cb8e6.jpg
师:笔算加减法要注意什么?
(相同数位对齐,从个位算起;加法满十进1;减法不够减时要向前一位借1……)

78995c7676b7557731942298dd35937d.jpg
A
把下列算式按得数从大到小的顺序排列。
350+170  740-210  290+310
>>
(考查知识点:几百几十加、减几百几十;能力要求:能正确计算几百几十加、减几百几十)
B
解决实际问题。

e95abb1db5109432022cc096d7654c01.jpg
(1)妈妈准备买一部电话和一个电饭煲,共需要多少钱?
(2)一个电饭煲比一台电风扇贵多少钱?
(3)爸爸有700元钱,买一台电风扇和一个电饭煲够吗?
(考查知识点:几百几十加、减几百几十;能力要求:能运用所学知识解决生活中的实际问题)

8f9a34d70c6774502b2d4825b73e6569.jpg
课堂作业新设计
A类
290+310>740-210>350+170
B类
(1)180+310=490(元) (2)310-290=20(元) (3)290+310=600(元) 600元<700元 够。

757c908263158c3222a8377149169dc6.jpg
<Object: word/embeddings/oleObject1.bin>
a396d76a92fa65ffa48e9f5603f64fd5.jpg
1.教师引导学生获取有价值的信息,让学生自主发现问题、提出问题并解答问题,培养了学生的口头表达能力和合作意识。同时,在计算过程中,教师要引导学生反思,培养学生总结归纳的能力。
2.学生能够正确计算像380+550这类题目,若将题目改为100+550,则会出现100+550=5500的情况。将新知转换成旧知来学习是好的,需要让学生注意的是两个加数要统一,如果前面有两个0不看,那么后面也得有两个0不看,若其中一个只有一个0,那么我们只能少看一个0,减法也是一样的。
3.学生虽然能较容易地将两位数减两位数笔算的方法迁移过来,但是在算理上就有些糊涂。有的学生会把“从百位上退1,是100”说成了“退1当十”,教师应该对学生讲清楚笔算法则。

cdd46875dd021b3cef345c558dc6541e.jpg

d6d5588980832032e7ca411ae3097eac.jpg

2f2db504cf804974c452557feaa1e944.jpg
估算。(教材第15~18)

035820233f11dfa76328ca3df8e6b6b4.jpg
1.学习估算的一般方法,能结合具体情境进行加、减法估算。
2.逐步培养学生的估算意识和能力。

d1994a2311eb9d1f3a41b4fd5ce01e6b.jpg
重点:能结合具体情境进行加、减法估算。
难点:逐步培养学生的估算意识和能力。

fcb3f28b81931f8922c1d951a8002c61.jpg
课件。

035820233f11dfa76328ca3df8e6b6b4.jpg

2dac275d9cb9d95b14f9a821bab69ead.jpg
师:同学们,从这幅图中你了解到哪些信息?(课件出示:教材第15页主题图)
生1:我知道了巨幕影院有441个座位。
生2:我知道了一到三年级来了223人,四到六年级来了239人。
师:问题是什么呢?
生:六个年级的学生同时看巨幕电影坐得下吗?
师:这就是我们今天要重点研究的问题。
【设计意图:引导学生完成“阅读与理解”,了解主题图中的信息和要解决的问题,明确学习目标】

ba69353aa5696a80c06352da2ede3156.jpg
师:要解决这个问题,需要利用哪些信息呢?在小组里交流你的想法。
学生在小组里讨论交流各自的想法;教师巡视了解情况。
组织学生交流汇报,学生可能会说:
生1:要想知道六个年级的学生同时看巨幕电影能否坐得下,就要先求出六个年级的总人数,即223+239得多少。
生2:223大于200,239也大于200,223+239一定大于400,但还是不能确定是否大于441。
生3:把223看成220,把239看成230,我们运用所学知识就比较容易算出220+230=450,应该是坐不下。
生4:223>220,239>230,220+230=450,223+239一定大于450,所以坐不下。
生5:223接近220,239接近240,这样220+240=460,所以坐不下。
生6:在计算223+239时,我们可以从223中拿出1,这样就可以看作222;把刚才拿出的1放在239中就成了240,这样222+240=462,说明六个年级是462人,比座位总数441多,所以坐不下这么多同学。
……
只要学生讲解估算方法合乎情理就要给予肯定。
师:如果两个旅行团分别有196名和226名团员,这两个旅行团同时看巨幕电影坐得下吗?
生1:首先要计算出这两个旅行团的总人数,算式是196+226。估算的时候,可以把196看作200,这样200+226=426,应该是能坐下。
生2:可以把196看作200,把226看作230,这样200+230=430,比441小,所以坐得下。
……
只要学生解答合理就要给予肯定鼓励。

837dc97f6d41207b9e8bd8c8fd0cb8e6.jpg
师:在本节课的学习中,你有什么感受?有哪些收获?
(感觉到估算给我们的计算带来了很多方便,并且我学会了多种多样的估算方法。)
【设计意图:在我们的日常生活中,有时候不是都需要精确计算的,这个时候估算给我们带来的好处就是方便而且接近真实情况。所以在课堂上就要模拟生活实际,引导学生探究多种多样的估算方法,培养学生的估算意识,提高学生的估算能力】

78995c7676b7557731942298dd35937d.jpg
A

68ec0311ed585af81040ca9dcd1bf9f8.jpg
不用计算,把苹果准确地放到筐里。
(考查知识点:估算;能力要求:掌握估算方法,能进行合理的估算)
B
育红小学有学生723人,八五小学有学生606人,估算这两所小学的学生数大约相差多少人。
(考查知识点:估算;能力要求:掌握估算方法,能进行合理的估算)

8f9a34d70c6774502b2d4825b73e6569.jpg
课堂作业新设计
A类
比400小的:525-239
比500大的:106+438  349+226  720-112  419+201 864-243
B类
把723看作700,把606看作600,这样700-600=100,所以这两所小学的学生数大约相差100人。
教材习题
教材第16页“练习三”
1. 770  500  360  80 600  810  190  60
2. 850-780=70(千克)
3. 850  690  970  520
4. 300-150=150(度)
5. (1)接近100的: 123  114
       接近200的:203  195  215
       接近300的:285  308
            (2)接近440的:436  441
       接近450的:452 447
       接近460的:458 459 463
6.
6c281da2b767355e9653a7d5dcb9f052.jpg
7. 700-218≈500(元)
8. 把245看作240,把187看作190,240+190=430(元)  430元>400元 不够。
9. 640 990 500  220 530 50
10. 320  11. 100
12. 280+350=630(米) 或350-280=70(米)
13. 610 大约还剩多少瓶饮料? 528-184≈350(瓶)

757c908263158c3222a8377149169dc6.jpg
估  算
223+239想法:①220+230=450,450>441 坐不下。
                  ②220+240=460,460>441 坐不下。

a396d76a92fa65ffa48e9f5603f64fd5.jpg
1.估算使计算更为方便,而有些学生将估算复杂化,先算出计算结果,再估算,这样失去估算本身的意义。
2.在估算时需要注意的是可以把数看成与它接近的整十数或整百数。
3.在实际操作中,很多学生喜欢把算式的各数看成整百数来估算,有的同学喜欢把它们看成几百几十数来估算,所以就导致了估算结果有一些出入,这都是在正常合理的范围之内的。难就难在当他们解决实际问题时,需要对比策略优劣的时候出现了迷茫的情况。

c99955fb13331b9b6f55910374c0b877.jpg

d6d5588980832032e7ca411ae3097eac.jpg

2f2db504cf804974c452557feaa1e944.jpg
整理和复习。(教材第19~20)

104ac7490a3d87e5380001f4ceaffa52.jpg
1.通过具体题目,学生能总结本单元所学的口算、笔算方法和要注意的问题,进一步掌握本单元内容,能正确、熟练地计算。
2.通过创设情境,学生能从中体会估算的意义及估算策略的灵活性。
3.培养学生总结、归纳及灵活运用知识的能力。

d1994a2311eb9d1f3a41b4fd5ce01e6b.jpg
重难点:正确计算两位数加、减两位数,几百几十加、减几百几十。

fcb3f28b81931f8922c1d951a8002c61.jpg
课件。

035820233f11dfa76328ca3df8e6b6b4.jpg

2dac275d9cb9d95b14f9a821bab69ead.jpg
师:对第一单元的学习就要结束了,我们一起来对本单元所学的知识进行归纳梳理,你有信心做好吗?首先来说说你的收获吧。
学生可能会说:
在本单元的学习中,我学会了口算两位数加、减两位数。
我学会了笔算几百几十加、减几百几十。
我能结合具体情境进行估算。
……
师:同学们的收获真多啊!值得表扬,希望大家能再接再厉争取有更大的进步。
【设计意图:使学生明确本节课的学习目标,在实践活动中学会归纳整理阶段性知识】

ba69353aa5696a80c06352da2ede3156.jpg
师:知道两位数加、减两位数和几百几十加、减几百几十的计算要注意什么?
生:相同数位上的数才能相加减,所以要相同数位对齐。
师:它们之间有什么联系呢?举例说一说。
生:几百几十加、减几百几十其实质就是两位数加、减两位数。如650-340,其实就是65个十减34个十。
师:现在请同学们仔细看看,比一比,看谁算得又对又快。(课件出示:教材第19页第1题)
学生尝试完成口算练习;教师巡视了解情况。
组织学生交流汇报,奖励解答全部正确的学生一面小红旗。
师:你能自己笔算下面各题吗?试一试。(课件出示:教材第19页第2题)
学生尝试独立完成笔算;教师巡视了解情况。
组织学生交流展示竖式计算的结果,对于解答完全正确的学生给予奖励。
师:你能运用所学知识解决下面的问题吗?(课件出示:教材第19页第3题)
生1:可以把441看作440,把632看作630,这样630-440=190(个),所以中国科技馆的巨幕影院比上海科技馆的大约多190个座位。
生2:可以把441看作400,把632看作600,这样600-400=200(个),所以中国科技馆的巨幕影院比上海科技馆的大约多200个座位。
……
只要学生估算合理就要给予表扬鼓励。
【设计意图:通过具体的题目,帮助学生总结归纳本单元所学的口算、笔算方法和要注意的问题,进一步掌握本单元内容,从中培养学生的估算意识和能力,掌握估算的策略】

837dc97f6d41207b9e8bd8c8fd0cb8e6.jpg
师:经过这节课的整理和复习,你有什么收获呢?
学生之间互相交流各自的收获。
【设计意图:通过学生间的相互交流,既能锻炼学生的表达能力,又可以及时总结收获,帮助学生树立学好数学的信心,激发学生学习的动力】
   
78995c7676b7557731942298dd35937d.jpg
A
用你喜欢的方法计算下面各题。
750+230=    740-460=    530+380=    540-130=
490+150=    440-350=    230+170=    340-180=
(考查知识点:万以内的加法和减法;能力要求:能正确完成相关计算)
B
认真审题,解决问题。

d1cda474c493163bd15bbc34f354d361.jpg
(考查知识点:万以内的加法和减法;能力要求:能运用相关知识解决问题)

8f9a34d70c6774502b2d4825b73e6569.jpg
课堂作业新设计
A类
980 280  910  410 640  90  400  160
B类
197+201≈400(个)  能坐下。
教材习题
教材第19页“整理和复习”
1. 87 52 80 56 92 44 44 50
2. 990 850 640 820 280 210 290 360
3. 632-441≈190(个)
教材第20页“练习四”
1. 略 2. <  <  >  <  >  <
3. (1)600-405≈200(米)
       (2)(答案不唯一)广州塔比东方明珠广播电视塔大约高多少米?600-468≈130(米)

757c908263158c3222a8377149169dc6.jpg
整理和复习
几百几十加、减几百几十的实质就是两位数加、减两位数的计算。
           笔算加、减法时,要注意相同数位对齐。
           估算的策略:接近整十数、整百数。

a396d76a92fa65ffa48e9f5603f64fd5.jpg
1.复习口算时,做完题后,可以让学生说一说自己是怎样口算的(口算步骤),并说一说口算中要注意些什么,哪些地方容易出错等。
2.复习几百几十加、减几百几十时,可以让用不同方法计算的同学说一说自己是怎样算的,计算时应该注意什么。
3.复习估算时,要结合实际问题,使学生明确估算策略可以不同,只要合理就行,估算策略要根据实际问题进行调整,才能使估算结果与实际相符。
                                             
4977b236d7fc8f9e94f532402cfe212f.jpg
您需要登录后才可以回帖 登录 | 立即注册

本版积分规则

Archiver|手机版|小黑屋|5432教案网 ( 蜀ICP备2022024372号-1 |川公网安备51152402000101号 )|网站地图

GMT+8, 2026-3-19 16:48 , Processed in 0.720882 second(s), 32 queries .

Powered by Discuz! X3.5

© 2001-2026 Discuz! Team.

快速回复 返回顶部 返回列表