找回密码
 立即注册
搜索
查看: 555|回复: 0

[人教版] (教案1)第八单元 20以内的进位加法

[复制链接]

4万

主题

224

回帖

19万

积分

管理员

积分
194028
发表于 2026-2-17 06:50:32 | 显示全部楼层 |阅读模式

1bf20467e0c8bf50cf043d9f5904e098.jpg

fdbb64b2c046ba3b18a503a74672ea97.jpg
1.能用凑十法熟练地计算20以内的进位加法,并理解算理。
2.选择点数、“凑十法”、交换加数位置和不变的方法,正确计算9加几,8、7、6加几,5、4、3、2加几。
3.利用10以内的加减法和20以内的进位加法解决简单的实际问题,培养用数学的意识。
   
068bff6ae5cf75aac390cb756b4d8646.jpg
  1.在理解算理的基础上,较熟练地口算20以内的进位加法。
2.初步学会用加法和减法解决简单的问题。
3.通过学习数学,初步体验数学与日常生活的密切联系,感受数学在日常生活中的作用。

e7d493dec4543aa8b51e92283b457904.jpg
本单元学习的主要内容有两个,一个是20以内进位加法的口算,另一个是“用数学”的内容。第一部分内容分为三节,即9加几,8、7、6加几,5、4、3、2加几。第二部分内容是用20以内的进位加法解决问题。本小节分为两部分,一是口算,一是“用数学”。
先要创设情境,引入问题,给学生自主学习的空间。先要出示运动会场景,挂图示,配以生动形象的语言描述,吸引学生入境。接着,看会场看台上的饮料图,提出“一共有多少盒?”让学生思考、交流。
1.关于9加几。
教学例1时,要让学生动手操作,理解并掌握“凑十法”。说明时可借助实物或课件演示:先把纸箱里的9盒凑成10盒,装满一箱,再和箱外的3盒相加,一共是13盒,使学生对“见9凑10”形成清晰的印象。
2.进行“做一做”和练习时,要逐步抽象,促使学生通过思考得出结果。
3.关于8、7、6加几。
教学例2时,要注意操作,利用9加几的基础,把8凑成10,通过摆圆片,边摆边数,加深感性认识,强化“把8凑成10,就是把另一个数分成2和几”。
教学例3时,要突出重点,培养思维能力。放手计算8+9,交流方法,提倡用交换加数位置的方法计算。
4.关于5、4、3、2加几。
教学前要组织学生用“交换加数位置”的方法计算;教学例4时,要让学生口述思考过程,如计算5+7就想7+5=12,所以5+7=12。
5. 关于20以内进位加法的应用。
教学例5、例6时,要注意让学生从多角度思考问题。可放手让学生用不同方法解决问题,进行多角度分析。在练习时,要让学生在解决实际问题时加深对加减法的认识。
6.关于整理和复习。
教学时,要注意培养学生的分析和概括能力,可分组研究20以内的进位加法表,发现规律,老师起引导作用。之后,要采取多样的练习巩固本单元所学的内容。
7.需要注意的问题。
(1)要注意让学生通过多种活动学习计算方法,培养计算意识,要注意让学生在情境中学习、感悟数量关系。
(2)要根据实际情况采取多样的练习形式,以提高学生的计算能力。如可利用“扑克牌”游戏、“找朋友”游戏、“接力赛”“对口令”等;还要注意有针对性地练习,提高实效。
(3)“用数学”的内容要注意充分利用学生已有的生活经验,使之在解决问题时体会学数学的重要性。

cab65d9d64349d95ac900a702111e495.jpg
1 9加几……………………………………………………………………………………1课时
2 8、7、6加几……………………………………………………………………………2课时
3 5、4、3、2加几………………………………………………………………………2课时
4 20以内进位加法的应用………………………………………………………………2课时
整理和复习……………………………………………………………………………………1课时

f48260d1f0050d485c7eb64db49810bc.jpg

d6d5588980832032e7ca411ae3097eac.jpg
   
2f2db504cf804974c452557feaa1e944.jpg
9加几
教材第88、第89页的内容及练习二十。

104ac7490a3d87e5380001f4ceaffa52.jpg
1.初步学会计算9加几的题目,初步理解“凑十法”。
2.体验数学与日常生活的密切联系,培养学生学习数学的兴趣。

f0c662282980d8f268f429b6c4af206e.jpg
1.正确计算9加几是重点。
2.理解“凑十法”是难点。

fcb3f28b81931f8922c1d951a8002c61.jpg
运动会场景的课件,卡片,小棒等。

035820233f11dfa76328ca3df8e6b6b4.jpg

4bde4c77e7ab3ad7b0822693e98c641d.jpg
1. 9+(   )=10
2.口答。

6a1d7a229171e22dc4a87b99d9c30bb9.jpg
ffcfde3580a8961b63278855c80d34b6.jpg
99548212d68cec0b599ad5d8c79f9af1.jpg
80ebff9dc5bbf2d514ad3145252cdf27.jpg
0ba76bafc07d2b43372c53f6a79581c5.jpg
93d67f954aaf01cff28cf1eae5f5b39c.jpg
1a8c92985b2edd1303608937fa03b032.jpg
3.口算。
9+1+4=    9+1+3=    9+1+7=
9+1+5=         9+1+6=         9+1+8=

d8d404611954a24141aa61e31399ebf0.jpg
出示运动会场景图,并配有声音:学校春季运动会正在举行,现在进行的比赛有跑步、跳绳等,此外还有啦啦队。
1.解决“一共有多少盒饮料”的问题。
(1)运动员很辛苦,我们给他们送点儿饮料。(出示饮料的画面)
(2)说图意,并出示“一共有多少盒”的问题。
(3)共同解决问题。
①学生思考、讨论。
②交流。(根据学生的汇报,电脑依次显示各种方法)
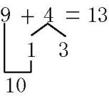
重点演示“凑十法”。边演示边口述:纸箱内有9盒饮料(闪动),箱外有4盒饮料(闪动),把这两部分合在一起,就是现在的饮料,列式是9+4。把4盒中的1盒放进箱里凑成10盒,外面还有3盒,10盒加上3盒一共是13盒。(动态显示)
③学生自己结合图说方法。
④老师充分肯定各种方法,指出欣赏“凑十法”。
2.揭示课题。
今天,我们研究的是9加几的题目。板书:9加几
3.出示:9+4=
小组合作,利用小棒摆一摆,说一说。
请各小组派代表到投影下演示。
老师强调操作过程:9加4等于几,把4分成1和3,把1和9凑成10,10加3等于13。
请学生独立操作一遍。
脱离小棒,抽象算式。
老师边板书边叙述操作过程,即:

0ead6a1f84d3c5678f6322fd9c2c585c.jpg

b079dd70cd13d3863bc45c3ba2606340.jpg
1.教材第89页“做一做”的第1~3题。
2.练习二十的第1~3题。

282473b2adf6a26e3d66b7f11e99dec8.jpg
1.练习二十的第4题。
2.练习二十的第5题。

8f9a34d70c6774502b2d4825b73e6569.jpg
课堂作业新设计
1.教材第89页“做一做”的第1题:略
教材第89页“做一做”的第2题:(按列算)12 12 15 15 18 18
教材第89页“做一做”的第3题:11 13 15 17  12 14 16 18
2.练习二十的第1题:9+7=16
练习二十的第2题:13 14 16 9 10 18 17 19 15 12
练习二十的第3题:8 13 18 9 15  12 8 10 11 2  16 4 4 17 2
思维训练
1. 9+5=14 5+9=14
2. < = < > < >

757c908263158c3222a8377149169dc6.jpg
9 加 几
  “凑十法”是计算进位加法常用的一种方法,它具有规律性强、易于理解和过程简
捷等特点,它包括多种方法,如“拆小数,凑大数”、“拆大数,凑小数”。
  计算9加几时,因为9和1可以凑成10,所以把小数拆成1和几,先算9+1=10,
再算10加几,求出得数。如
4356d873f6c5148d9fd36df7c4c3b004.jpg
   
a396d76a92fa65ffa48e9f5603f64fd5.jpg
1.创设富有情趣的活动情境,以激发学生学习的浓厚兴趣。新课开始,根据一年级学生的好动、坐不住的特点,创设情境,以学校开运动会为切入点,激发学生的兴趣,调动积极性,并使学生感到生活中处处有数学,从而体验数学与生活息息相关。
2.教学体现算法多样化,允许学生采用自己认为合适的方法进行计算。尊重学生的想法,鼓励独立思考,通过同学间的相互交流,让学生了解计算的多种方法。
3.利用教材资源,初步培养学生提出问题、解决问题的能力。由于一年级学生年龄小,自己提出问题有一定难度,因此教学中应引导学生充分利用这些资源,提出简单的数学问题,并加以抽象,列出算式,选择自己喜欢的方法计算结果,这样使学生从中体会到数学与日常生活的密切关系,逐步学会用数学的眼光去观察和认识周围的事物,使其数学能力得到培养和发展。
   
036260df42461c0ecb5e745e5a153936.jpg

6fc0306f212cbd254350687df0bfe6bf.jpg
9加几是在学生学习了11~20各数认识及10加几的基础上进行教学的,是20以内进位加法的第一课。学生掌握好本节知识,可为进一步学习20以内的进位加法奠定良好的基础。
教材第88页,通过将学生在现实生活中熟悉的运动会的场景图引入,让学生在其中发现问题、提出问题并解决问题。在第89页例1中,解决9+4等于几的时候,我们学习了大数点数及“凑十法”等计算方法。画面上还有一个小学生在问:“你是怎样算的?”体现了允许学生用不同的算法进行计算的编写意图。

4b39a7e4da7bc6b22e01060aef6d855f.jpg
本节课给学生提供了一个学生比较熟悉的运动会的情景图,以学生亲身经历的运动会为切入点,创设情境,激发学生的学习兴趣,激起学生解决问题的意识。引导学生充分利用教材资源,从中选择信息,提出简单的数学问题并加以抽象,列出算式,选择自己喜欢的方法计算出结果。让学生切实经历提出问题、解决问题的全过程,并体验成功,充分调动学生学习的积极性。鼓励学生用多种方法解决问题,打破了以往“凑十法”的唯一思路,培养学生敢于探索的精神。关注学生学习结果的同时,更关注他们的学习过程以及学习活动中表现出来的情感和态度。给学生提供动手操作、自主探究、合作交流的机会,让学生动手摆一摆,边实际操作边对照算式进行计算,使具体形象的操作过程和抽象的计算过程一一对应,便于学生理解和掌握算法,增强学习和应用数学的信心,进而调动学生学习的积极性。

1986cad2cd82acc16d0d776746810232.jpg

43993e4217627ea85f58063ccb57d7ee.jpg
   
2f2db504cf804974c452557feaa1e944.jpg
876加几
教材第91页的内容及练习二十一的第1~3题。

104ac7490a3d87e5380001f4ceaffa52.jpg
1.学习8、7、6加几的题目,正确计算,理解“凑十法”。
2.培养学生的迁移能力和操作能力。

f0c662282980d8f268f429b6c4af206e.jpg
1. 正确计算8、7、6加几的题目是重点。
2. 进一步理解“凑十法”是难点。

fcb3f28b81931f8922c1d951a8002c61.jpg
主题图,视频投影,小棒等。

035820233f11dfa76328ca3df8e6b6b4.jpg

4bde4c77e7ab3ad7b0822693e98c641d.jpg
1.口算。
9+4=   7+3=   9+7=   9+5=
9+6=        9+8=        9+9=        9+2=
口算后请学生说一说计算9加几的方法。
2.填空。
8+(  )=10    6+(  )=10    7+(  )=10
8+2+6=(  )        7+3+2=(  )        6+4+2=(  )
3.口答。

e81fb4fc283308aa0f8f85d21db103b0.jpg
a0aec6e41e6be0dd9b7c7a0f9757acad.jpg
d49959079fef4d55c6987f318b4b9b23.jpg
1048a0431851e16a4b79c91b5168a245.jpg
8af0d509298a8d5854ba9c20c159775e.jpg
bae2715191cdba11dfd52b4001cecae3.jpg

d8d404611954a24141aa61e31399ebf0.jpg
1.出示主题图。
(1)跑步的一共有多少个学生?
(2)怎样做就能解决“跑步的一共有多少个学生”的问题?
学生答,老师板书:8+5=
(3)探索8+5的计算方法。
①小组合作学习。
②汇报。
方法有多种,老师重点请学生操作“凑十法”。
问:这名同学把几凑10?把几分成了两部分?你能完整地边摆边说这个过程吗?试一试。
再请一人说凑十的过程,并请学生完成板书:
        
389a60c5bab84060e94002fa702c43ee.jpg
2. “做一做”的第1题。
(1)出示第一幅图。
①学生独立思考、完成,有困难的学生借助小棒。
②学生汇报,老师归纳。板书:
63e8127dafc95c4af99e84e79d69b5de.jpg
原来,7加几的题目,只要把7凑10,就容易计算了。
(2)出示第二幅图。
①你能不能也用“凑十法”算一算?(可适当点拨)
②学生汇报,老师归纳。板书:
668ec274be066924eee62fa6f66f1a48.jpg
请学生用迁移方法,独立计算,再汇报。
3.看板书小结归纳。
计算8加几,7加几,6加几的题目都可以运用“凑十法”,只不过8加几的题目是把8凑10,把第二个加数分成2和几;7加几的题目是把7凑10,把第二个加数分成3和几;6加几的题目是把6凑10,把第二个加数分成4和几。

b079dd70cd13d3863bc45c3ba2606340.jpg
1. 教材第91页“做一做”的第2、第3题。
2.练习二十一的第1题。
3.练习二十一的第2题。
4.练习二十一的第3题。

282473b2adf6a26e3d66b7f11e99dec8.jpg
1.写出8加几,7加几,6加几的题目,观察,看看能发现什么。
2.填空。
8+4=8+2+   8++=8+7   7++=7+5
3. 在 里填上合适的数。
8+ <15   7+ <14   6+ <12

8f9a34d70c6774502b2d4825b73e6569.jpg
课堂作业新设计
1.教材第91页“做一做”的第2题:(按列算)13 13 12 12 12 12
教材第91页“做一做”的第3题:10 12 14 16  11 12 13 14  11 12
2.略
3.8 10 15 13 16 11 18 14 17
把8换成6:10 6 8 13 11 14 9 16 12 15
把8换成7:11 7 9 14 12 15 10 17 13 16
4.略
思维训练
1.略
2. 8+4=8+2+2 8+2+5=8+7 7+3+2=7+5
3. 0~6 0~6 0~5
   
757c908263158c3222a8377149169dc6.jpg
8、7、6加几
  想8、7、6加几凑成10,8和2凑成10,所以把另一个加数分成2和几;7和3凑
成10,所以把另一个加数分成3和几;6和4凑成10,所以把另一个加数分成4和几。
如:
389a60c5bab84060e94002fa702c43ee.jpg   
63e8127dafc95c4af99e84e79d69b5de.jpg   
668ec274be066924eee62fa6f66f1a48.jpg
   
a396d76a92fa65ffa48e9f5603f64fd5.jpg
1.引导学生自己探究出正确的算法。老师给学生提供了一个轻松的探究范围,其中有同学之间的互相合作,也有自己的独立思考。本节课探索的目标比较集中,借助学具,学生自己解决了8加几的研究,对自己有了一定的信心,急于证明自己的能力是可以解决7加几、6加几的,这就是学生探究的欲望。
2.本节课的情境、练习都充分照顾到了学生的年龄特点。一年级的学生,注意力集中的时间比较短,需要不断地有他们感兴趣的事物刺激。整节课都是在轻松愉快的气氛下度过的,练习的设计也做到了开放活泼,锻炼了学生的思维。
   
036260df42461c0ecb5e745e5a153936.jpg

6fc0306f212cbd254350687df0bfe6bf.jpg
本节课的内容是在9加几的基础上学习的,要求学生能用“凑十法”进行计算。
教材第91页的例2通过一群小学生跑步的场景引入计算问题。通过让学生摆一摆、算一算,加深对“凑十法”的理解。

4b39a7e4da7bc6b22e01060aef6d855f.jpg
本节课是在学生对“凑十法”有一定认识的基础上,来学习8加几、7加几及6加几,在设计本节课的教学过程时,可按照“创设情境导入→探索8加几的计算方法→巩固8加几的计算方法→探索7、6加几的计算方法→巩固7、6加几的计算方法→综合练习”的过程来设计。因为学生有了9加几的铺垫,他们已经基本能借助手中的学具进行凑十的计算,学生在学习8加几时已经比较得心应手了,放手让学生大胆地进行尝试,自主探索,经历整个学习的过程,体会到如何去学习,积极得出计算的方法,突出了学生学习的主体性。

ccba47254166758191ab696837a89104.jpg
   
2f2db504cf804974c452557feaa1e944.jpg
876加几
教材第92页的内容及练习二十一的第4~10题及思考题。

104ac7490a3d87e5380001f4ceaffa52.jpg
1.继续学习8、7、6加几的题,学会用交换加数位置的方法计算。
2.培养学生思维的灵活性。

f0c662282980d8f268f429b6c4af206e.jpg
掌握用交换加数的方法口算8、7、6加几。

fcb3f28b81931f8922c1d951a8002c61.jpg
算式卡片,口算转盘等。

035820233f11dfa76328ca3df8e6b6b4.jpg

4bde4c77e7ab3ad7b0822693e98c641d.jpg
1.计算,同桌说方法。
9+6=   8+4=   7+5=   6+5=
2.口算。
9+7=   7+6=   8+6=   9+8=
8+5=        6+6=        9+4=        8+7=
   
d8d404611954a24141aa61e31399ebf0.jpg
出示例3:8+9=
1.学生独立想办法计算。
2.学生汇报,老师板书。

a3c91200e9645090214484b76d3392e3.jpg   想:8+9=?
3.看板书提问。
哪种方法能很快算出得数?为什么?(第三种方法能很快算出得数,因为9+8=17是我们已经学过的,交换9和8的位置,得数不变)
4.有哪些题目能用这种方法做?请同桌议论,把你想到的写下来。
5.汇报。
7+9=   7+8=   6+7=   5+6=   4+9=
6+8=        5+7=        2+9=        4+8=        5+9=
4+7=        3+9=        3+8=        6+9=        5+8=
同桌看算式说得数。

b079dd70cd13d3863bc45c3ba2606340.jpg
1.教材第92页“做一做”的第1~3题。
2.练习二十一的第4题。
3.练习二十一的第7题。
4.练习二十一的第9题。

282473b2adf6a26e3d66b7f11e99dec8.jpg
1. 2+2+2+7=+7
2.□和○分别代表什么数?
▲=2 □+▲=11 □=(   )
        ○+▲=12        ○=(   )
3.任选1~19各数填进
d541dd1671fe679cd5e62612536441e8.jpg 中,使每条直线上的数相加得18。

8e6b94746f3c4f66c9b9931f437947df.jpg

8f9a34d70c6774502b2d4825b73e6569.jpg
课堂作业新设计
1.教材第92页“做一做”的第1题:15 15
教材第92页“做一做”的第2题:13 14 16  13 14 16
教材第92页“做一做”的第3题:8+3=11 7+8=15
2. < < > = > =
3. 15 12 18  5 3 0
4. 4 9 4  9 3 7
思维训练
1. 6
2. 9 10
3.(答案不唯一)可以是

db1a5a9a68a5fd5c9b6ef379c61d0ca9.jpg
教材习题
练习二十一
5. 16 3 14 11 14 8 16 10 15 0 14 13 14 11 10
6. 7
8.略
10.略
思考题
答案不唯一,如:
7e16ed5fc5df195bfc4bea4fa0ac4ccd.jpg

757c908263158c3222a8377149169dc6.jpg
8、7、6加几
  
a3c91200e9645090214484b76d3392e3.jpg       8+9=?想:9+8=17        8+9=17
   
a396d76a92fa65ffa48e9f5603f64fd5.jpg
1.首先引导学生在具体的情境中提出问题,寻找解决问题的方法,初步感知“凑十法”。然后借助动手操作,使学生在头脑中形成凑十的表象,把具体形象的操作过程与抽象的计算过程一一对应起来,从而理解并掌握“凑十法”。最后脱离实物,让学生利用知识的迁移,思考算法,算出得数。
2.通过相互交流,学生不仅能相互启发,体验算法多样化,而且锻炼了口语表达能力与倾听能力。让同桌互相交流,这是学生合作学习的起始环节,学生在相互交流中逐渐形成合作意识。
   
036260df42461c0ecb5e745e5a153936.jpg

6fc0306f212cbd254350687df0bfe6bf.jpg
教材第92页,以计算8+9为例呈现了三种计算方法:“拆小数,凑大数”“拆大数,凑小数”和“交换加数的位置,和不变”的方法,这具体体现了算法多样化的理念。

4b39a7e4da7bc6b22e01060aef6d855f.jpg
8、7、6加几是在学生掌握了“9加几”的基础上学习的,计算方法与“9加几”相同。因此,在教学中通过让学生观察感悟、动手操作和比较概括,用已掌握的思维方法采取迁移与拓展的方式来学习。使学生掌握8、7、6加几的计算方法,能应用“交换加数的位置,得数不变”的规律来计算8、7、6加几。为了提高学生的计算能力,还应设计形式多样的练习活动,提高学生的学习兴趣。

03c46c1bc00fe4a4b076f51cc6858ce8.jpg

43993e4217627ea85f58063ccb57d7ee.jpg
   
2f2db504cf804974c452557feaa1e944.jpg
5432加几
教材第95页的内容及“做一做”。

104ac7490a3d87e5380001f4ceaffa52.jpg
1.学习5、4、3、2加几的题目,掌握“口算小数加大数,可以用想大数加小数”的计算方法。
2.培养学生的推理能力及思维的灵活性。

f0c662282980d8f268f429b6c4af206e.jpg
掌握用“想大数加小数”的方法口算小数加大数。

fcb3f28b81931f8922c1d951a8002c61.jpg
口算卡片,视频投影等。

035820233f11dfa76328ca3df8e6b6b4.jpg

4bde4c77e7ab3ad7b0822693e98c641d.jpg
1.看卡片口算。
9+5=   8+5=   7+5=   6+5=   9+4=   8+4=
7+4=        8+9=        9+3=        8+3=        6+7=        7+9=
9+2=        7+8=        6+8=        9+6=
2.说说你是怎样算8+9的。

d8d404611954a24141aa61e31399ebf0.jpg
1.教学例4。
出示:5+7=
(1)想一想,怎样算?试算,写出结果。
(2)汇报。
学生汇报,老师板书:

c0cd3e00c5ddfa57abae508c126836b7.jpg     想:5+7=?
(3)看板书讨论。
怎样能很快说出得数?
老师强调:这几种方法都对,但在计算小数加大数时,我们一般用“交换小数和大数的位置,想大数加小数”的方法,用这种方法计算比较快。
(4)试用这种方法计算5+8=。
①独立算。
②互相说过程。
③请一两名学生说过程。(因为8+5=13,所以5+8=13)
出示:4+8=    3+9=
(1)先说一说怎样计算。
(2)独立完成。
(3)学生汇报、订正,对于出现问题的学生再给机会说过程,以巩固方法。
2.小结,揭示课题。
今天,我们学习了5、4、3、2加几,你知道怎样计算能很快地算出得数吗?自己说一遍。(不强求说“想大数加小数”的方法)

b079dd70cd13d3863bc45c3ba2606340.jpg
1.教材第95页“做一做”的第1题。
2.教材第95页“做一做”的第2题。
3. 教材第95页“做一做”的第3题。

282473b2adf6a26e3d66b7f11e99dec8.jpg
找规律,填出空格里的数。

4224b49b56d86da8eb650d146215ae83.jpg
2dcd36eed68c3b69db14d2079228f192.jpg

8f9a34d70c6774502b2d4825b73e6569.jpg
课堂作业新设计
1.瓢虫图根据学生提的问题列式:
①左边比右边少几只?6-5=1,右边比左边多几只?6-5=1。②一共有多少只?6+5=11或5+6=11。企鹅图也一样,答案不唯一,只要说出道理即可。
2. (按列算)14 14 13 13  11 11 11 11
3.11 12 13 14  11 12 13  11 12
思维训练

ea7e4fc9be05c8797de9d0d6b2bb9377.jpg
58706ff1fc8fffe047200b722973e65f.jpg
(2)(3)(4)(5)答案不唯一。

757c908263158c3222a8377149169dc6.jpg
                         5、4、3、2加几
计算小数加大数的题可以用交换加数位置的方法,想大数加小数得多少,推出得数。

c0cd3e00c5ddfa57abae508c126836b7.jpg     想:5+7=?
   
a396d76a92fa65ffa48e9f5603f64fd5.jpg
1.在出示5+7=后,让学生先自己想一想,再小组说一说。这样,既创立了一个合作讨论的氛围,又充分考虑了学生的主体意识,让每一个学生都在小组中发表自己的看法,互相交流、补充和完善,使每一个小组成员都取长补短,同时也养成倾听别人发言的好习惯。
2.学生在开放自主的环境里,思维也会开阔、活跃起来。在学习完例题后,引导学生想:5加几、4加几、3加几和2加几的题还有哪些?并适时地给出个别提示,这样学生就能迅速、准确地想出来,使学生积极主动参与知识形成的全过程。
3.尊重学生的思维多样性,在出示5+7=后,学生想出很多种方法,老师应适时引导,鼓励创新,提倡学生算法多样化。学生看到自己的方法得到老师的认可,学习的兴趣会更高,真正感到自己是学习的主人。
   
036260df42461c0ecb5e745e5a153936.jpg

6fc0306f212cbd254350687df0bfe6bf.jpg
本节课的重点是让学生通过实践探索、合作交流,自己得出5、4、3、2加几的计算方法。这部分内容的计算,学生已有一定的基础,因此主要通过学生自己探索来掌握。本节课的加法基本上都是较小数加较大数,让学生用自己喜欢的方法计算,特别是除了用“凑十法”外,还可以联系学过的相应的加法算式,直接算出得数,鼓励算法多样化。注意算式之间的对比,感悟知识间的联系,便于实现算法的迁移,然后安排解决实际问题,引导学生巩固和应用所学知识。

4b39a7e4da7bc6b22e01060aef6d855f.jpg
本节课的内容是在学生学习了“9、8、7、6加几”的基础上进行的,因为学生已有了一定的知识基础,所以在教学设计上应大胆放手让学生在尝试的过程中,通过类推、迁移来解决相关的数学问题。同时老师也应注意在学生自学过程中的点评作用,使学生的自学有层次、有深度,收到良好的教学效果。

ccba47254166758191ab696837a89104.jpg
   
2f2db504cf804974c452557feaa1e944.jpg
5432加几的练习
练习二十二。

104ac7490a3d87e5380001f4ceaffa52.jpg
1.练习5、4、3、2加几的题目,能正确、熟练地计算。
2.培养学生思维的灵活性。

f0c662282980d8f268f429b6c4af206e.jpg
正确、熟练地计算5、4、3、2加几的题目。

fcb3f28b81931f8922c1d951a8002c61.jpg
口算卡片,口算小转盘。

035820233f11dfa76328ca3df8e6b6b4.jpg

6a6fbafe5dc594820aac8b13352afc40.jpg
1.练习二十二的第1题。
2.练习二十二的第2题。
3.练习二十二的第3题。
4.练习二十二的第4题。
5.练习二十二的第5题。

049e544401c4cddb66954dbd4ad6f9d9.jpg
1. 把得数是15、13、12的算式写在相应的框里。
4+5    9+6    5+7    7+6    4+9
9+3        8+7        4+8        5+8

0123228609802e41ff1a49c4f93fcdd9.jpg
2.看图列式计算。

8a63790f30bc9ea9bbee8997a409c437.jpg       = (只)
3.在括号里填上适当的数。

c7344a49c49926eb0c4a815236b0fb70.jpg

8f9a34d70c6774502b2d4825b73e6569.jpg
课堂作业新设计
1.略 
2. 13 11
3. 12 3 12 13 10 14 1 12
4. 7+5=12 学生自由发挥提出问题并解答。答案对即可。
5. 8 9 9 6 8 9
思维训练
1. 15:9+6 8+7
13:7+6 4+9 5+8
12:5+7 9+3 4+8
2. 6+5=11(答案不唯一)
3.
c25cc971747cbbb6e6defaf56387270d.jpg
   
a396d76a92fa65ffa48e9f5603f64fd5.jpg
练习课是数学教学的重要组成部分。它是学生掌握知识、形成技能、发展智力的重要手段和必要途径。因此,老师精心设计的练习,是完成教学任务、减轻学生负担、提高教学质量的重要手段,必须引起足够重视。练习设计既要使学生巩固所学知识,形成技能技巧,又要发展学生的思维能力,培养学生解决实际问题的能力。因此,老师编题要讲究科学性、有效性,做到每次练习都要有重点、有目的,体现由浅入深、逐步递进、构造合理的层次,使学生保持浓厚的学习兴趣。

872e03544dd7f86674bb4e9662189311.jpg

43993e4217627ea85f58063ccb57d7ee.jpg
   
2f2db504cf804974c452557feaa1e944.jpg
20以内进位加法的应用
教材第97页内容及练习二十三的第1~3题。

104ac7490a3d87e5380001f4ceaffa52.jpg
1.会用学过的数学知识解决简单的实际问题。
2.训练学生用不同的方法解决同一个问题,培养思维的灵活性和创新性。
3.感受数学在日常生活中的作用,激发学生学习数学的兴趣。

f0c662282980d8f268f429b6c4af206e.jpg
1. 运用所学知识解决问题。
2. 对同一个问题寻求不同的解决方法。

fcb3f28b81931f8922c1d951a8002c61.jpg
主题图的课件,视频投影,算式卡片。

035820233f11dfa76328ca3df8e6b6b4.jpg

4bde4c77e7ab3ad7b0822693e98c641d.jpg
1.口算。
8+2=   9+4=   9+5=   7+3=
9+6=        8+7=        6+4=        10+8=
2.看卡片口算。
8+3=   7+6=   6+5=   8+6=   8+8=
7+5=           8+4=        7+7=        6+6=   7+4=
3.口算小试卷,看谁算得又对又快。
9+2=   5+6=   9+3=   8+7=   6+7=
2+9=        6+5=        3+9=        7+8=        7+6=
4.看图列式计算。

6f894585b6a6f814f72e7c5da01e1254.jpg
  =  

d8d404611954a24141aa61e31399ebf0.jpg
出示例5。(电脑出示)
1.怎样解决这个问题呢?(小组讨论)
2.汇报,交流。
老师根据学生回答板书:
(1)后排有8人,前排有7人,一共15人。7+8=15(人)
(2)男生有9人,女生有6人,一共15人。9+6=15(人)

b079dd70cd13d3863bc45c3ba2606340.jpg
1. 教材第97页的“做一做”。(视频投影出示)
2.练习二十三的第1题。
3.练习二十三的第3题。

282473b2adf6a26e3d66b7f11e99dec8.jpg
1.听老师读题,学生试做。
在学校甬路两旁种树,左边种8棵,右边种的和左边同样多,一共种了多少棵树?
2.填空。
(1)8+(  )=7+(  )
(2)9+(  )=8+(  )
(3)6+(  )=8+(  )
(4)10+(  )=8+(  )=9+(  )

8f9a34d70c6774502b2d4825b73e6569.jpg
课堂作业新设计
1.7+7=14或8+6=14
2. 8+6=14或9+5=14
3. 7+7=14或8+6=14
思维训练
1. 8+8=16(棵)
2.(1)8+(7)=7+(8),8+(5)=7+(6)等;     (2)9+(8)=8+(9),9+(4)=8+(5)等;
(3)6+(8)=8+(6),6+(4)=8+(2)等;        (4)10+(8)=8+(10)=9+(9)等。
教材习题
练习二十三
2. 13 13 6 11 12 14 15 3 11 12 15 10

757c908263158c3222a8377149169dc6.jpg
20以内进位加法的应用
  (1)后排有8人,前排有7人,一共15人。8+7=15(人)
  (2)男生有9人,女生有6人,一共15人。9+6=15(人)
   
a396d76a92fa65ffa48e9f5603f64fd5.jpg
    1.把探索知识的主动权充分地交给学生,让他们通过自己思考、小组讨论、集体交流、汇报的形式,自己提出问题并学会用数学知识解决问题。引导学生从创设的情境中走出来,回到生活实际中,去发现身边的问题并用数学知识解决。学生在用数学的过程中,感受了用数学解决问题的乐趣。
2.让学生主动去探索新知,引导学生通过动手操作、组内合作学习、组间相互汇报交流、提问和评价等形式,促进学生积极地参与学习活动。在活动中培养学生初步学会利用已有知识经验提出问题,并采用多种方法解决问题。在巩固练习时,充分利用书上的“做一做”,让学生进一步“用数学”解决问题,并通过学生互评,培养学生初步的评价能力,收到了很好的教学效果。
   
036260df42461c0ecb5e745e5a153936.jpg

6fc0306f212cbd254350687df0bfe6bf.jpg
教材第97页的例5,是“用数学”的内容,引导学生用所学的知识解决实际问题。呈现男生、女生跳舞的情境,让学生看图,说图意,找条件,再列算式解决问题。围绕“一共有多少人”的问题,教材中显示了两种不同的解决方法。一种是按前排和后排分成两部分做加法的,另一种是按男生和女生分成两部分做加法的。只要学生能采用他自己喜欢的方法解决问题就可以了。
教材第97页的做一做和例5的解决办法相同。

4b39a7e4da7bc6b22e01060aef6d855f.jpg
本节课是在学习了20以内进位加法的基础上进行教学的。教材中围绕“一共有多少人”的问题,显示出不同的解决方法。让学生学会从不同的角度分析思考问题,探寻不同的解答问题的方法。

ccba47254166758191ab696837a89104.jpg
   
2f2db504cf804974c452557feaa1e944.jpg
20以内进位加法的应用
教材第98页内容及练习二十三的第4~8题及思考题。

104ac7490a3d87e5380001f4ceaffa52.jpg
1.能运用学过的知识解决“已知用的部分和剩下的部分,求原来的”实际问题,培养学生思维的灵活性。
2.培养学生学数学、用数学的意识,激发学生的学习兴趣。

f0c662282980d8f268f429b6c4af206e.jpg
利用20以内的进位加法解决实际问题。

fcb3f28b81931f8922c1d951a8002c61.jpg
主题图,圆片。

035820233f11dfa76328ca3df8e6b6b4.jpg

4bde4c77e7ab3ad7b0822693e98c641d.jpg
1.填一填。

d8796303e412360ef7e2ddb481039463.jpg
2.看图列式。

666c5f94fc8cdf7f9deac70ad0c1df33.jpg
      = 
3.口算。
6+3=   9+5=   2+5=   9+8=
9+7=        5+5=        9+6=        9+4=

d8d404611954a24141aa61e31399ebf0.jpg
出示例6主题图。
1.看图列式。
(1)认真观察,说图意。
(2)怎样列式能解决“原来有多少个”的问题?
学生答,老师板书:7+5=(个)
2.探讨算法。
小组合作利用圆片讨论怎样计算。
老师在听汇报时板书:7+5=12(个)
3.老师说解题过程。

b079dd70cd13d3863bc45c3ba2606340.jpg
1.教材第98页的“做一做”。
2.练习二十三的第5题。
3.练习二十三的第8题。

282473b2adf6a26e3d66b7f11e99dec8.jpg
1.一(1)班有老师1名,男生9名,女生8名,一(1)班一共有多少名学生?
       = (名)
2. 在()里填上合适的数。
9+1+5=9+()    9+5=9+()+()
3. 练习二十三的思考题。

8f9a34d70c6774502b2d4825b73e6569.jpg
课堂作业新设计
1. 8+6=14
2. 7+6=13
3. 6+8=14
思维训练
1. 9+8=17
2. 9+1+5=9+6  9+5=9+1+4(答案不唯一)
3. 9+5+1=15(人)
教材习题
练习二十三
4. < < > > < = 
6. 8+8=16
7. 16 10 11 13 12 4

757c908263158c3222a8377149169dc6.jpg
20以内进位加法的应用
  7+5=12
应用题中的已知条件和未知条件:已知条件就是题中给的内容,未知条件就是所
求问题。
  半文半图的应用题的解决方法:先通过看图收集图画中的信息,再根据已知条件
和问题确定计算方法。
   
a396d76a92fa65ffa48e9f5603f64fd5.jpg
1.对学习有困难的学生,老师要保护并激发其学习愿望和兴趣,学生回答的结果是否正确,语言是否完整,老师可以延缓评价,要多鼓励。特别要注意的是,不要用统一规范的语言来训练学生。
2.让学生通过观察、操作、试验、思考和交流等活动来完成学习任务,提高学生听、说、想的能力,体现学生学习的主体性、差异性和活动性,培养学生小组合作的能力。
3.算法多样化是《数学课程标准》中的一个重要思想,是指尊重学生独立思考、鼓励学生探索不同的方法。在本节课,老师对教材中出现的几种方法不一定要逐一讲解。老师在教学中应尊重学生自己的方法,允许学生用自己喜欢的方法解决问题。
   
036260df42461c0ecb5e745e5a153936.jpg

6fc0306f212cbd254350687df0bfe6bf.jpg
教材第98页例6,是“用数学”的内容,引导学生用20以内的进位加法解决实际问题,培养学生思维的灵活性。

4b39a7e4da7bc6b22e01060aef6d855f.jpg
让学生体会数学知识来源于生活,学习数学知识又能为生活服务,感受数学与生活之间的紧密联系;追求算法多样化,充分发挥学生的自主性,尊重学生已有的知识水平。
整理和复习

d6d5588980832032e7ca411ae3097eac.jpg
   
2f2db504cf804974c452557feaa1e944.jpg
整理和复习
教材第101页的内容及练习二十四。

104ac7490a3d87e5380001f4ceaffa52.jpg
1.复习并能系统地掌握20以内的进位加法,更加准确、熟练地口算。
2.培养学生的分析概括能力和运用知识解决问题的能力。

f0c662282980d8f268f429b6c4af206e.jpg
系统整理20以内的进位加法,正确、迅速地计算。

fcb3f28b81931f8922c1d951a8002c61.jpg
20以内的进位加法算式卡片,视频投影,主题图,加法表。

035820233f11dfa76328ca3df8e6b6b4.jpg

113c94c8c1c3f81740bdb11a9abf3017.jpg
1.小组合作:先算出20以内进位加法的算式,(各组有一套算式卡片)再分类。
2.汇报。
老师随学生汇报整理补全20以内的进位加法表。
3.看加法表回答。
(1)9加几的题目怎样算?
(2)8加几的题目怎样算?
(3)根据9加几,8加几,7加几,6加几的算法,你能试着概括吗?(讨论,再汇报)
(4)老师强调:运用“凑十法”做这些题目比较好。见9想1,见8想2,见7想3,见6想4,想几就把第二个加数分出几,剩几就是十几。比如9+4,把4分成1和3,得13;8+4把4分成2和2,得12……
(5)5、4、3、2加几的题怎样算简便?
老师强调:运用“想大数加小数”的方法比较好,比如5+7,想7+5=12就行了。
4.继续观察加法表。
(1)竖着看,能发现什么?(学生讨论、汇报)
第一列是9加几,第二列是8加几,第三列是7加几,第四列是6加几……
每一列后一个算式结果比前一个多1。
……
(2)横着看,又能发现什么?(学生讨论、汇报)
每一行结果相同,第一行都得11,第二行都得12……
(3)自己观察,还有什么发现?(7+7,8+8……)
5.只要记住哪些题目就能把加法表全记住了?
老师强调,只要熟练掌握9、8、7、6加几的题目就可以了。

3b9d75475ba440fcc14f29e75edb4a16.jpg
1.出示小兔吃萝卜图。
2.怎样解决这个问题。
老师:从图中知道哪些信息?要解决什么问题?
根据学生回答,老师板书:6 7
老师:求原来有多少个萝卜,怎样算?
根据学生回答,老师板书:6+7=13(个)

b079dd70cd13d3863bc45c3ba2606340.jpg
1.练习二十四的第1题。
2.练习二十四的第2题。
3.练习二十四的第3题。
4.练习二十四的第4题。
5.练习二十四的第5题。
6.练习二十四的第6题。

282473b2adf6a26e3d66b7f11e99dec8.jpg
1.把得数是15的泡泡涂成红色,把得数是13的涂成蓝色,把得数是11的涂成黄色。

48f2a87f1dea498d10371ef780354250.jpg
2.看谁说得多。

d541dd1671fe679cd5e62612536441e8.jpg +
d541dd1671fe679cd5e62612536441e8.jpg =11  
d541dd1671fe679cd5e62612536441e8.jpg +
d541dd1671fe679cd5e62612536441e8.jpg =14  10-
d541dd1671fe679cd5e62612536441e8.jpg =
d541dd1671fe679cd5e62612536441e8.jpg
3.看图列式。
△△△△ ▲▲▲▲▲
  = 
4.填统计表。

5abe1d9bdfb9c60af406b3416a03a17e.jpg

e2e0d788866380d04e6793abec537ff9.jpg

4aaaa83aaf9ceef9f31c7963bb9125a9.jpg
小芳得
8
5
(  )
小强得
9
(  )
9
一共得
(  )
15
19

8f9a34d70c6774502b2d4825b73e6569.jpg
课堂作业新设计
1~3.略
4. 14 12 13 13  11 11 13 10  12 14 5 17  11 12 6 5
5.13 15 11  11 11 16  13 2 10
6. 9+7=16或8+8=16
思维训练
1.略
2.5+6=11   4+7=11   3+8=11   2+9=11
0+11=11        6+5=11        7+4=11等
9+5=14        8+6=14        7+7=14等
10-6=4        10-7=3        10-8=2等
3. 4+5=9(答案不唯一)
4. 17 10 10
教材习题
练习二十四
7. 7-5=2 9+9=18 9-2=7 6+7=13 10-4=6 8+9=17 8-2=6 5+8=13
8. 8+5=13
9. 9 3 8 8 7 10

757c908263158c3222a8377149169dc6.jpg
整理和复习
运用“凑十法”做9加几、8加几、7加几、6加几的计算:见9想1,见8想2,见7想3,见6想4,想几就把第二个加数分出几,剩几就是十几。
5、4、3、2加几的题运用“想大数,加小数”的方法比较好。
6+7=13(个)
   
a396d76a92fa65ffa48e9f5603f64fd5.jpg
1.通过10以内加减法算式的整理和复习,可知学生整理加法算式的方法多种多样。大部分学生喜欢采用一个加数相同,另一个加数按从小到大的顺序排列的方法。本节课可放手让学生自己确定算式排列的规律,给每位学生创造一个思考的空间,鼓励他们用自己发现的方法、喜欢的方法来整理20以内的进位加法表。
2.本节课是对已经学习过的知识进行回顾,而且又是对抽象算式的整理。学生在探索知识时很容易产生浮躁感或失去学习的兴趣。可通过创设情境,调动学生的学习兴趣,避免了枯燥的计算、抽象的整理给学生带来的情感上的不悦。
   
036260df42461c0ecb5e745e5a153936.jpg

6fc0306f212cbd254350687df0bfe6bf.jpg
这部分内容是对20以内进位加法进行系统性的整理,教材列出一个不完全的20以内进位加法表,让学生根据已有知识填充完整。表下的问题引导学生观察20以内进位加法的排列规律,强化对20以内进位加法题的记忆,提高计算的熟练程度。

4b39a7e4da7bc6b22e01060aef6d855f.jpg
本节课教材的设计理念主要突出了以下三个层次:第一,系统整理20以内进位加法,渗透对知识整理和复习的方法。第二,在观察分析表格、发现规律的学习活动中,培养学生的分析概括能力。第三,充分利用20以内进位加法表进行练习。本节课的内容因为学生已有一定的认识基础,所以老师在让学生探索20以内进位加法表的过程中,要不断提出问题,让学生在解决问题的过程中巩固所学的知识,使学生的思维在思考与探索问题中得到促进和发展。

99e9826d8dfca4d08acaadfc47334987.jpg
您需要登录后才可以回帖 登录 | 立即注册

本版积分规则

Archiver|手机版|小黑屋|5432教案网 ( 蜀ICP备2022024372号-1 |川公网安备51152402000101号 )|网站地图

GMT+8, 2026-5-4 06:55 , Processed in 0.969338 second(s), 30 queries .

Powered by Discuz! X3.5

© 2001-2026 Discuz! Team.

快速回复 返回顶部 返回列表