找回密码
 立即注册
搜索
查看: 166|回复: 0

[人音版] 18《口哨与小狗》教案二

[复制链接]

2万

主题

224

回帖

13万

积分

管理员

积分
130718
发表于 2026-1-1 06:06:23 | 显示全部楼层 |阅读模式
      《口哨与小狗》   《口哨与小狗》,又译《吹口哨的少年和小狗》。它是美国作曲家普莱亚(1870-1943)于1905年创作的一首通俗管弦乐小曲。它描绘了小主人吹着口哨,和心爱的小狗在林荫道上散步的情景。曲调轻松、活泼、形象逼真、可爱。乐曲用单三部曲式写成,C大调,2/4拍,乐曲前面有一个短小的前奏:

85d56f34597637b47d7c4bcb88998ab2.png
它取自A段的第一乐句,后半部稍有变化。前奏之后,口哨以主奏乐器的身份加入其它高音乐器为之衬托。由于这里用了许多附点音符和三连音,显得十分活泼而富于弹跳性生动而形象地表现了小主人轻松、愉快的心情:

213fc937a48d0a3d1615d6ef47683546.png
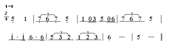
过一段过门,是乐曲的B段。它转到F大调上,这时,口哨停止,主旋律转给低音乐器演奏。因此在音色上与A段形成鲜明的对比。它描绘了小狗跟随小主人在马路上跑跑跳跳的可爱动作,同时,也描绘了街头喧闹的景象。

a406184037e9684fc9054b645ed07355.png
在经过一段过门,A段出现。这支曲子,有的乐队把它改成其它调性来演奏。例如奥斯卡乐队 8  是用G调演奏的,这样,乐曲的B段成了C大调,在广播剧《布克的奇遇》里,由于有一段是写一个少年和心爱的小狗上街散步,因此选了这段音乐配乐,并填上了歌词,使之成为一首歌曲。
您需要登录后才可以回帖 登录 | 立即注册

本版积分规则

Archiver|手机版|小黑屋|5432教案网 ( 蜀ICP备2022024372号-1 |川公网安备51152402000101号 )|网站地图

GMT+8, 2026-3-19 07:02 , Processed in 2.161508 second(s), 31 queries .

Powered by Discuz! X3.5

© 2001-2026 Discuz! Team.

快速回复 返回顶部 返回列表